Mechanical Properties and Microstructural Characterization of Metakaolin Geopolymers Based on Orthogonal Tests
Abstract
:1. Introduction
2. Experimental Materials and Methods
2.1. Materials
2.1.1. Metakonlin (MK)
2.1.2. Alkali Activator
2.2. Orthogonal Experimental Design
2.3. Specimen Preparation
2.4. Test Methods
2.4.1. Mechanical Properties Testing
2.4.2. Microscopic Mechanism Analysis
2.5. Polar Difference Methodology
3. Results and Discussion
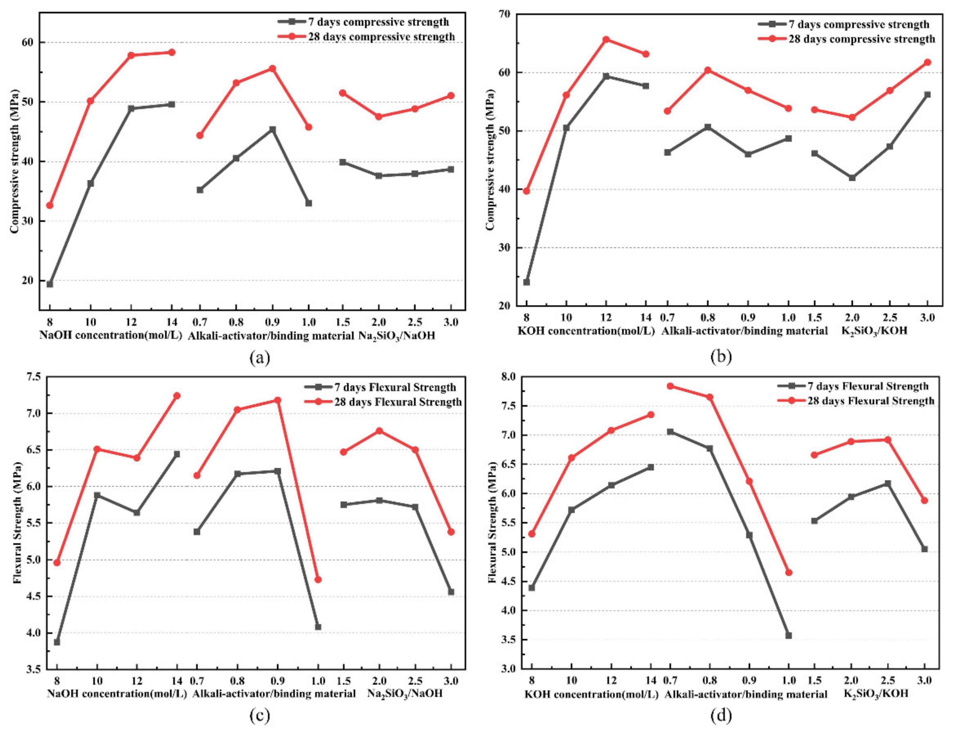
3.1. Mechanical Properties Analysis
3.2. Analysis of Influencing Factors
3.3. Microscopic Mechanism Analysis
3.3.1. XRD Analysis
3.3.2. SEM Analysis
3.3.3. FTIR Analysis
4. Conclusions
- (1)
- Both the Na-based and K-based geopolymers could achieve high compressive and flexural strengths. They all had early-strength properties, with mechanical strengths of up to 80% of the 28-day strength at 7 days, but the mechanical properties of the K-based geopolymers were better than those of the Na-based geopolymers.
- (2)
- For the compressive strength, the increase in alkaline solution concentration increased the compressive strength of the geopolymers, and the Na-based geopolymers always maintained a positive relationship, while the K-based showed an increasing and then decreasing trend. For the mass ratio of alkali activator to metakaolin and Na2SiO3/MOH, the compressive strength of both geopolymers showed an increasing and then decreasing trend.
- (3)
- For the flexural strength, the increase in the concentration of alkali solution had a positive correlation with the promotion effect on both Na-based and K-based geopolymers. With the increase in the Na2SiO3/MOH mass ratio, the flexural strength of both site geopolymers showed a trend of increasing and then decreasing. Increasing the mass of the alkali activator negatively affected the flexural strength of the K-based geopolymers, while it showed a trend of increasing and then decreasing for the Na-based geopolymers.
- (4)
- Microscopic analysis showed that increasing the concentration of the alkaline solution could promote the dissolution of silicon–aluminum raw materials and make the reaction more complete. Properly adjusting the ratio of Na2SiO3 to MOH and the mass ratio of alkali activator to metakaolin could produce more hydrated silicoaluminate gels and C-A-S-H, reduce unreacted metakaolin and microcracks, and cause the structure of the geopolymer to be denser.
Author Contributions
Funding
Institutional Review Board Statement
Informed Consent Statement
Data Availability Statement
Conflicts of Interest
References
- Singh, K. Experimental study on metakolin and baggashe ash based geopolymer concrete. Mater. Today Proc. 2021, 37, 3289–3295. [Google Scholar] [CrossRef]
- Lemougna, P.N.; Adediran, A.; Yliniemi, J.; Ismailov, A.; Levanen, E.; Tanskanen, P.; Kinnunen, P.; Roning, J.; Illikainen, M. Thermal stability of one-part metakaolin geopolymer composites containing high volume of spodumene tailings and glass wool. Cem. Concr. Compos. 2020, 114, 103792. [Google Scholar] [CrossRef]
- Yuan, Y.; Zhao, R.; Li, R.; Wang, Y.; Cheng, Z.; Li, F.; Ma, Z.J. Frost resistance of fiber-reinforced blended slag and Class F fly ash-based geopolymer concrete under the coupling effect of freeze-thaw cycling and axial compressive loading. Constr. Build. Mater. 2020, 250, 118831. [Google Scholar] [CrossRef]
- Behfarnia, K.; Rostami, M. An assessment on parameters affecting the carbonation of alkali-activated slag concrete. J. Clean. Prod. 2017, 157, 1–9. [Google Scholar] [CrossRef]
- Vafaei, M.; Allahverdi, A.; Dong, P.; Bassim, N. Acid attack on geopolymer cement mortar based on waste-glass powder and calcium aluminate cement at mild concentration. Constr. Build. Mater. 2018, 193, 363–372. [Google Scholar] [CrossRef]
- Balo, A.M.; Rahier, H.; Mobili, A.; Katsiki, A.; Fagel, N.; Chinje, U.M.; Njopwouo, D. Metakaolin-based inorganic polymer synthesis using cotton shell ash as sole alkaline activator. Constr. Build. Mater. 2018, 191, 1011–1022. [Google Scholar] [CrossRef]
- Wan, Q.; Zhang, Y.; Zhang, R. Using mechanical activation of quartz to enhance the compressive strength of metakaolin based geopolymers. Cem. Concr. Compos. 2020, 111, 103635. [Google Scholar] [CrossRef]
- Ortega-Zavala, D.E.; Burciaga-Díaz, O.; Escalante-García, J.I. Chemically bonded ceramic/cementitious materials of alkali activated metakaolin processed by cold pressing. Constr. Build. Mater. 2021, 279, 121365. [Google Scholar] [CrossRef]
- Lemougna, P.N.; Nzeukou, A.; Aziwo, B.; Tchamba, A.B.; Wang, K.T.; Melo, U.C.; Cui, X.M. Effect of slag on the improvement of setting time and compressive strength of low reactive volcanic ash geopolymers synthetized at room temperature. Mater. Chem. Phys. 2020, 239, 122077. [Google Scholar] [CrossRef]
- Sarkar, M.; Dana, K.; Das, S. Microstructural and phase evolution in metakaolin geopolymers with different activators and added aluminosilicate fillers. J. Mol. Struct. 2015, 1098, 110–118. [Google Scholar] [CrossRef]
- Lahoti, M.; Narang, P.; Tan, K.H.; Yang, E.-H. Mix design factors and strength prediction of metakaolin-based geopolymer. Ceram. Int. 2017, 43, 11433–11441. [Google Scholar] [CrossRef]
- Ouyang, G.; Wu, L.; Ye, C.; Wang, J.; Dong, T. Effect of silane coupling agent on the rheological and mechanical properties of alkali-activated ultrafine metakaolin based geopolymers. Constr. Build. Mater. 2021, 290, 123223. [Google Scholar] [CrossRef]
- He, J.; Jie, Y.; Zhang, J.; Yu, Y.; Zhang, G. Synthesis and characterization of red mud and rice husk ash-based geopolymer composites. Cem. Concr. Compos. 2013, 37, 108–118. [Google Scholar] [CrossRef]
- Samantasinghar, S.; Singh, S.P. Effect of synthesis parameters on compressive strength of fly ash-slag blended geopolymer. Constr. Build. Mater. 2018, 170, 225–234. [Google Scholar] [CrossRef]
- Song, W.; Zhu, Z.; Pu, S.; Wan, Y.; Xu, X.; Song, S.; Zhang, J.; Yao, K.; Hu, L. Multi-technical characterization and correlations between properties of standard cured alkali-activated high-calcium FA binders with GGBS as additive. Constr. Build. Mater. 2020, 241, 117996. [Google Scholar] [CrossRef]
- Bakthavatchalam, K.; Rajendran, M. An experimental investigation on potassium activator based geopolymer concrete incorporated with hybrid fibers. Mater. Today Proc. 2021, 46, 8494–8501. [Google Scholar] [CrossRef]
- Provis, J.; Bernal, S. Geopolymers and Related Alkali-Activated Materials. Annu. Rev. Mater. Res. 2014, 44, 299–327. [Google Scholar] [CrossRef]
- Aouan, B.; Alehyen, S.; Fadil, M.; Alouani, M.E.; Khabbazi, A.; Atbir, A.; Taibi, M.H. Compressive strength optimization of metakaolin-based geopolymer by central composite design. Chem. Data Collect. 2021, 31, 100636. [Google Scholar] [CrossRef]
- Leong, H.Y.; Ong, D.E.L.; Sanjayan, J.G.; Nazari, A. The effect of different Na2O and K2O ratios of alkali activator on compressive strength of fly ash based-geopolymer. Constr. Build. Mater. 2016, 106, 500–511. [Google Scholar] [CrossRef] [Green Version]
- GB/T 17671-1999; Cement Sand Strength Test Method (ISO Method). Architecture & Building Press: Beijing, China, 1999.
- He, Z.; Zou, J.; Liu, A.; Wang, H. Effects of Sodium Silicate Modulus on Physical and Mechanical Properties of Metakaolin based Geopolymer. Guangdong Highw. Commun. 2017, 43, 6–10+19. [Google Scholar]
- Liang, G.; Zhu, H.; Li, H.; Liu, T.; Guo, H. Comparative study on the effects of rice husk ash and silica fume on the freezing resistance of metakaolin-based geopolymer. Constr. Build. Mater. 2021, 293, 123486. [Google Scholar] [CrossRef]
- Ayeni, O.; Onwualu, A.P.; Boakye, E. Characterization and mechanical performance of metakaolin-based geopolymer for sustainable building applications. Constr. Build. Mater. 2021, 272, 121938. [Google Scholar] [CrossRef]
- Okoye, F.N.; Durgaprasad, J.; Singh, N.B. Mechanical properties of alkali activated flyash/Kaolin based geopolymer concrete. Constr. Build. Mater. 2015, 98, 685–691. [Google Scholar] [CrossRef]
- Chen, X.; Sutrisno, A.; Zhu, L.; Struble, L. Setting and nanostructural evolution of metakaolin geopolymer. J. Am. Ceram. Soc. 2017, 100, 2285–2295. [Google Scholar] [CrossRef] [Green Version]
- Li, N.; Shi, C.; Zhang, Z.; Zhu, D.; Hwang, H.J.; Zhu, Y.; Sun, T. A mixture proportioning method for the development of performance-based alkali-activated slag-based concrete. Cem. Concr. Compos. 2018, 93, 163–174. [Google Scholar] [CrossRef]
- Shuangyue, S. Orthogonal experiment research on geopolymer synthesis by utilizing slag and fly ash as raw material. China Min. Mag. 2019, 28, 118–122+127. [Google Scholar]
- Wei, W.; Yanbin, G.; Zhongqing, C.; Wentao, Z.; Zewei, Z. Experimental Study on Proportion of Room Temperature Alkali-Activated Low-Calcium Fly Ash Geopolymer. Bull. Chin. Ceram. Soc. 2020, 39, 3889–3896. [Google Scholar]
- Bature, A.S.; Khorami, M.; Ganjian, E.; Tyrer, M. Influence of alkali activator type and proportion on strength performance of calcined clay geopolymer mortar. Constr. Build. Mater. 2021, 267, 120446. [Google Scholar] [CrossRef]
- Huo, W.; Zhu, Z.; Zhang, J.; Kang, Z.; Pu, S.; Wan, Y. Utilization of OPC and FA to enhance reclaimed lime-fly ash macadam based geopolymers cured at ambient temperature. Constr. Build. Mater. 2021, 303, 124378. [Google Scholar] [CrossRef]
- Heah, C.Y.; Kamarudin, H.; Al Bakri, A.M.; Bnhussain, M.; Luqman, M.; Nizar, I.K.; Ruzaidi, C.M.; Liew, Y.M. Study on solids-to-liquid and alkaline activator ratios on kaolin-based geopolymers. Constr. Build. Mater. 2012, 35, 912–922. [Google Scholar] [CrossRef]
- Li, Y.; Li, J.; Cui, J.; Shan, Y.; Niu, Y. Experimental study on calcium carbide residue as a combined activator for coal gangue geopolymer and feasibility for soil stabilization. Constr. Build. Mater. 2021, 312, 125465. [Google Scholar] [CrossRef]
- Zhou, H.; Wang, X.; Wu, Y.; Zhang, X. Mechanical properties and micro-mechanisms of marine soft soil stabilized by different calcium content precursors based geopolymers. Constr. Build. Mater. 2021, 305, 124722. [Google Scholar] [CrossRef]
- Li, C.; Sun, H.; Li, L. A review: The comparison between alkali-activated slag (Si + Ca) and metakaolin (Si + Al) cements. Cem. Concr. Res. 2010, 40, 1341–1349. [Google Scholar] [CrossRef]
- Song, W.; Zhu, Z.; Peng, Y.; Wan, Y.; Xu, X.; Pu, S.; Song, S.; Wei, Y. Effect of steel slag on fresh, hardened and microstructural properties of high-calcium fly ash based geopolymers at standard curing condition. Constr. Build. Mater. 2019, 229, 116933. [Google Scholar] [CrossRef]
- Da Silva Rocha, T.; Dias, D.P.; França, F.C.C.; de Salles Guerra, R.R.; de Oliveira, L.R.D.C. Metakaolin-based geopolymer mortars with different alkaline activators (Na+ and K+). Constr. Build. Mater. 2018, 178, 453–461. [Google Scholar] [CrossRef]
- Lemougna, P.N.; Wang, K.T.; Tang, Q.; Nzeukou, A.N.; Billong, N.; Melo, U.C.; Cui, X.M. Review on the use of volcanic ashes for engineering applications. Resour. Conserv. Recycl. 2018, 137, 177–190. [Google Scholar] [CrossRef]
- Sun, K.; Peng, X.; Chu, S.H.; Wang, S.; Zeng, L.; Ji, G. Utilization of BOF steel slag aggregate in metakaolin-based geopolymer. Constr. Build. Mater. 2021, 300, 124024. [Google Scholar] [CrossRef]
- Yuan, J.; Li, L.; He, P.; Chen, Z.; Lao, C.; Jia, D.; Zhou, Y. Effects of kinds of alkali-activated ions on geopolymerization process of geopolymer cement pastes. Constr. Build. Mater. 2021, 293, 123536. [Google Scholar] [CrossRef]
- Gómez-Casero, M.A.; Moral-Moral, F.J.; Pérez-Villarejo, L.; Sánchez-Soto, P.J.; Eliche-Quesada, D. Synthesis of clay geopolymers using olive pomace fly ash as an alternative activator. Influence of the additional commercial alkaline activator used. J. Mater. Res. Technol. 2021, 12, 1762–1776. [Google Scholar] [CrossRef]
- Zhang, Z.; Wang, H.; Provis, J.L. Quantitative study of the reactivity of fly ash in geopolymerization by FTIR. J. Sustain. Cem.-Based Mater. 2012, 1, 154–166. [Google Scholar] [CrossRef] [Green Version]
- Ahmari, S.; Ren, X.; Toufigh, V.; Zhang, L. Production of geopolymeric binder from blended waste concrete powder and fly ash. Constr. Build. Mater. 2012, 35, 718–729. [Google Scholar] [CrossRef]
- Lu, P.; Li, Q.; Zhai, J. Mineralogical Characterizations and Reaction Path Modeling of the Pozzolanic Reaction of Fly Ash–Lime Systems. J. Am. Ceram. Soc. 2008, 91, 955–964. [Google Scholar] [CrossRef]
- Vasić, M.V.; Terzić, A.; Radovanović, Ž.; Radojević, Z.; Warr, L. Alkali-activated geopolymerization of a low illitic raw clay and waste brick mixture. An alternative to traditional ceramics. Appl. Clay Sci. 2022, 218, 106410. [Google Scholar] [CrossRef]
- Peng, H.; Cui, C.; Cai, C.; Li, S.; Zhao, J. Mechanism of activator concentration influencing properties of metakaolin-based geopolymer. J. Compos. Mater. 2016, 33, 2952–2960. [Google Scholar]
- Lecomte, I.; Henrist, C.; Liégeois, M.; Maseri, F.; Rulmont, A.; Cloots, R. (Micro)-structural comparison between geopolymers, alkali-activated slag cement and Portland cement. J. Eur. Ceram. Soc. 2006, 26, 3789–3797. [Google Scholar] [CrossRef]
- Sore, S.O.; Messan, A.; Prud’homme, E.; Escadeillas, G.; Tsobnang, F. Synthesis and characterization of geopolymer binders based on local materials from Burkina Faso—Metakaolin and rice husk ash. Constr. Build. Mater. 2016, 124, 301–311. [Google Scholar] [CrossRef]







| Content | SiO2 | Al2O3 | CaO | K2O | SO3 | P2O5 | MgO | Na2O | Fe2O3 | Total |
|---|---|---|---|---|---|---|---|---|---|---|
| MK | 53.70 | 35.30 | 3.88 | 1.45 | 1.16 | 0.40 | 1.12 | 1.45 | 0.25 | 99.51 |
| Levels | A: Alkaline Solution Concentration (mol/L) | B: Alkali Activator/Binding Material (Mass Ratio) | C: M2SiO3/MOH (Mass Ratio) |
|---|---|---|---|
| 1 | 8 | 0.7 | 1.5 |
| 2 | 10 | 0.8 | 2 |
| 3 | 12 | 0.9 | 2.5 |
| 4 | 14 | 1.0 | 3 |
| No. | Factors | Compressive Strength (MPa) | Flexural Strength (MPa) | ||||
|---|---|---|---|---|---|---|---|
| A | B | C | 7 Days | 28 Days | 7 Days | 28 Days | |
| N1 | 8 M | 0.7 | 1.5 | 10.20 | 26.67 | 4.75 | 5.65 |
| N2 | 8 M | 0.8 | 2 | 15.27 | 32.53 | 4.41 | 5.81 |
| N3 | 8 M | 0.9 | 2.5 | 30.72 | 36.75 | 5.21 | 6.54 |
| N4 | 8 M | 1 | 3 | 21.32 | 34.58 | 1.10 | 1.85 |
| N5 | 10 M | 0.7 | 2 | 36.66 | 42.53 | 5.84 | 6.46 |
| N6 | 10 M | 0.8 | 1.5 | 47.55 | 59.18 | 7.03 | 7.65 |
| N7 | 10 M | 0.9 | 3 | 38.42 | 57.81 | 6.56 | 7.29 |
| N8 | 10 M | 1 | 2.5 | 22.57 | 41.14 | 4.08 | 4.62 |
| N9 | 12 M | 0.7 | 2.5 | 48.96 | 56.56 | 6.09 | 6.72 |
| N10 | 12 M | 0.8 | 3 | 49.89 | 60.16 | 5.72 | 6.62 |
| N11 | 12 M | 0.9 | 1.5 | 55.25 | 63.7 | 5.42 | 6.17 |
| N12 | 12 M | 1 | 2 | 41.40 | 50.88 | 5.34 | 6.05 |
| N13 | 14 M | 0.7 | 3 | 45.17 | 51.73 | 4.85 | 5.76 |
| N14 | 14 M | 0.8 | 2.5 | 49.48 | 60.91 | 7.51 | 8.10 |
| N15 | 14 M | 0.9 | 2 | 57.09 | 64.18 | 7.63 | 8.28 |
| N16 | 14 M | 1 | 1.5 | 46.59 | 56.49 | 5.78 | 6.39 |
| No. | Factors | Compressive Strength (MPa) | Flexural Strength (MPa) | ||||
|---|---|---|---|---|---|---|---|
| A | B | C | 7 Days | 28 Days | 7 Days | 28 Days | |
| K1 | 8 M | 0.7 | 1.5 | 15.09 | 29.81 | 5.55 | 6.65 |
| K2 | 8 M | 0.8 | 2 | 15.45 | 38.41 | 5.12 | 6.05 |
| K3 | 8 M | 0.9 | 2.5 | 19.69 | 40.19 | 5.50 | 6.4 |
| K4 | 8 M | 1 | 3 | 46.10 | 50.26 | 1.40 | 2.13 |
| K5 | 10 M | 0.7 | 2 | 46.33 | 50.50 | 7.66 | 8.41 |
| K6 | 10 M | 0.8 | 1.5 | 59.11 | 63.13 | 7.10 | 8.09 |
| K7 | 10 M | 0.9 | 3 | 49.36 | 57.20 | 3.83 | 4.81 |
| K8 | 10 M | 1 | 2.5 | 47.28 | 53.69 | 4.27 | 5.12 |
| K9 | 12 M | 0.7 | 2.5 | 62.21 | 67.70 | 7.04 | 7.62 |
| K10 | 12 M | 0.8 | 3 | 67.79 | 72.72 | 6.98 | 7.92 |
| K11 | 12 M | 0.9 | 1.5 | 58.12 | 65.53 | 5.68 | 6.65 |
| K12 | 12 M | 1 | 2 | 49.25 | 55.42 | 4.84 | 6.12 |
| K13 | 14 M | 0.7 | 3 | 61.61 | 65.56 | 7.98 | 8.66 |
| K14 | 14 M | 0.8 | 2.5 | 60.19 | 66.11 | 7.88 | 8.53 |
| K15 | 14 M | 0.9 | 2 | 56.76 | 64.85 | 6.14 | 6.97 |
| K16 | 14 M | 1 | 1.5 | 52.18 | 56.03 | 3.78 | 5.24 |
| Factors | No. | Compressive Strength (MPa) | Flexural Strength (MPa) | ||||
|---|---|---|---|---|---|---|---|
| A | B | C | A | B | C | ||
| K value | K1 | 77.51 | 140.99 | 159.59 | 15.47 | 21.53 | 22.98 |
| K2 | 145.20 | 162.19 | 150.42 | 23.51 | 24.67 | 23.22 | |
| K3 | 195.50 | 181.48 | 151.73 | 22.57 | 24.82 | 22.89 | |
| K4 | 198.33 | 131.88 | 154.80 | 25.77 | 16.30 | 18.23 | |
| k1 | 19.38 | 35.25 | 39.90 | 3.87 | 5.38 | 5.75 | |
| k2 | 36.30 | 40.55 | 37.61 | 5.88 | 6.17 | 5.81 | |
| k3 | 48.88 | 45.37 | 37.93 | 5.64 | 6.21 | 5.72 | |
| k4 | 49.58 | 32.97 | 38.70 | 6.44 | 4.08 | 4.56 | |
| R | 30.21 | 12.40 | 2.29 | 2.58 | 2.13 | 1.25 | |
| Sequence | A > B > C | A > B > C | |||||
| Preferred scheme | A4B3C1 | A4B3C2 | |||||
| Factors | No. | Compressive Strength (MPa) | Flexural Strength (MPa) | ||||
|---|---|---|---|---|---|---|---|
| A | B | C | A | B | C | ||
| K value | K1 | 130.53 | 177.49 | 206.04 | 19.85 | 24.59 | 25.86 |
| K2 | 200.66 | 212.78 | 190.12 | 26.02 | 28.18 | 27.03 | |
| K3 | 231.30 | 222.44 | 195.36 | 25.56 | 28.71 | 25.98 | |
| K4 | 233.31 | 183.09 | 204.28 | 28.96 | 18.91 | 21.52 | |
| k1 | 32.63 | 44.37 | 51.51 | 4.96 | 6.15 | 6.47 | |
| k2 | 50.17 | 53.20 | 47.53 | 6.51 | 7.05 | 6.76 | |
| k3 | 57.83 | 55.61 | 48.84 | 6.39 | 7.18 | 6.50 | |
| k4 | 58.33 | 45.77 | 51.07 | 7.24 | 4.73 | 5.38 | |
| R | 25.70 | 11.24 | 3.98 | 2.28 | 2.45 | 1.38 | |
| Sequence | A > B > C | B > A > C | |||||
| Preferred scheme | A4B3C1 | A4B3C2 | |||||
| Factors | No. | Compressive Strength (MPa) | Flexural Strength (MPa) | ||||
|---|---|---|---|---|---|---|---|
| A | B | C | A | B | C | ||
| K value | K1 | 96.33 | 185.24 | 184.50 | 17.57 | 28.23 | 22.11 |
| K2 | 202.08 | 202.54 | 167.79 | 22.86 | 27.08 | 23.76 | |
| K3 | 237.37 | 183.93 | 189.37 | 24.54 | 21.15 | 24.69 | |
| K4 | 230.74 | 194.81 | 224.86 | 25.78 | 14.29 | 20.19 | |
| k1 | 24.08 | 46.31 | 46.13 | 4.39 | 7.06 | 5.53 | |
| k2 | 50.52 | 50.64 | 41.95 | 5.72 | 6.77 | 5.94 | |
| k3 | 59.34 | 45.98 | 47.34 | 6.14 | 5.29 | 6.17 | |
| k4 | 57.69 | 48.70 | 56.22 | 6.45 | 3.57 | 5.05 | |
| R | 35.26 | 4.65 | 14.27 | 2.05 | 3.49 | 1.13 | |
| Sequence | A > C > B | B > A > C | |||||
| Preferred scheme | A3B2C4 | A4B1C3 | |||||
| Factors | No. | Compressive Strength (MPa) | Flexural Strength (MPa) | ||||
|---|---|---|---|---|---|---|---|
| A | B | C | A | B | C | ||
| K value | K1 | 158.67 | 213.57 | 214.50 | 21.23 | 31.34 | 26.63 |
| K2 | 224.52 | 241.58 | 209.18 | 26.43 | 30.59 | 27.55 | |
| K3 | 262.58 | 227.77 | 227.69 | 28.31 | 24.83 | 27.67 | |
| K4 | 252.55 | 215.40 | 246.95 | 29.4 | 18.61 | 23.52 | |
| k1 | 39.67 | 53.39 | 53.63 | 5.31 | 7.84 | 6.66 | |
| k2 | 56.13 | 60.40 | 52.30 | 6.61 | 7.65 | 6.89 | |
| k3 | 65.65 | 56.94 | 56.92 | 7.08 | 6.21 | 6.92 | |
| k4 | 63.14 | 53.85 | 61.74 | 7.35 | 4.65 | 5.88 | |
| R | 25.98 | 7.01 | 9.44 | 2.04 | 3.18 | 1.04 | |
| Sequence | A > C > B | B > A > C | |||||
| Preferred scheme | A3B2C4 | A4B1C3 | |||||
Publisher’s Note: MDPI stays neutral with regard to jurisdictional claims in published maps and institutional affiliations. |
© 2022 by the authors. Licensee MDPI, Basel, Switzerland. This article is an open access article distributed under the terms and conditions of the Creative Commons Attribution (CC BY) license (https://creativecommons.org/licenses/by/4.0/).
Share and Cite
Dai, S.; Wang, H.; An, S.; Yuan, L. Mechanical Properties and Microstructural Characterization of Metakaolin Geopolymers Based on Orthogonal Tests. Materials 2022, 15, 2957. https://doi.org/10.3390/ma15082957
Dai S, Wang H, An S, Yuan L. Mechanical Properties and Microstructural Characterization of Metakaolin Geopolymers Based on Orthogonal Tests. Materials. 2022; 15(8):2957. https://doi.org/10.3390/ma15082957
Chicago/Turabian StyleDai, Shoushuai, Hongguang Wang, Shuai An, and Long Yuan. 2022. "Mechanical Properties and Microstructural Characterization of Metakaolin Geopolymers Based on Orthogonal Tests" Materials 15, no. 8: 2957. https://doi.org/10.3390/ma15082957
APA StyleDai, S., Wang, H., An, S., & Yuan, L. (2022). Mechanical Properties and Microstructural Characterization of Metakaolin Geopolymers Based on Orthogonal Tests. Materials, 15(8), 2957. https://doi.org/10.3390/ma15082957

