Effect of Graphene Addition on the Thermal and Persistent Luminescence Properties of Gd2.994Ce0.006Ga3Al2O12 and Gd2.964Ce0.006Dy0.03Ga3Al2O12 Ceramics
Abstract
:1. Introduction
2. Materials and Methods
2.1. Materials
2.2. Preparation
2.3. Characterization
3. Results and Discussion
3.1. Structure and Morphology Characterization
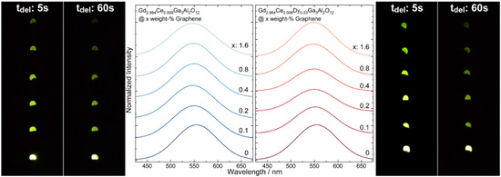
3.2. The Excitation and Photoluminescence Spectra of Gd2.994Ce0.006Ga3Al2O12 and Gd2.964Ce0.006Dy0.03Ga3Al2O12 Ceramics with Different Graphene Content
3.3. Persistent Luminescence of Gd2.994Ce0.006Ga3Al2O12 and Gd2.964Ce0.006Dy0.03Ga3Al2O12 Ceramics with Different Graphene Content
3.4. Impact of the Graphene Addition on the Thermoluminescence (TL) of Gd2.994Ce0.006Ga3Al2O12 and Gd2.964Ce0.006Dy0.03Ga3Al2O12 Ceramics
3.5. Thermal Conductivity of Gd2.994Ce0.006Ga3Al2O12 and Gd2.964Ce0.006Dy0.03Ga3Al2O12 Ceramics with Different Graphene Content
3.6. Impact of the Graphene Addition on the Persistent Luminescence Mechanism of Gd2.994Ce0.006Ga3Al2O12 and Gd2.964Ce0.006Dy0.03Ga3Al2O12 Ceramics
4. Conclusions
Supplementary Materials
Author Contributions
Funding
Institutional Review Board Statement
Informed Consent Statement
Data Availability Statement
Conflicts of Interest
References
- Holsa, J. Persistent Luminescence Beats the Afterglow: 400 Years of Persistent Luminescence. Electrochem. Soc. Interface 2009, 18, 42. [Google Scholar]
- Aitasalo, T.; Dereń, P.; Hölsä, J.; Jungner, H.; Krupa, J.-C.; Lastusaari, M.; Legendziewicz, J.; Niittykoski, J.; Stręk, W. Persistent luminescence phenomena in materials doped with rare earth ions. J. Solid State Chem. 2003, 171, 114–122. [Google Scholar] [CrossRef]
- Balandin, A.A.; Ghosh, S.; Bao, W.; Calizo, I.; Teweldebrhan, D.; Miao, F.; Lau, C.N. Superior thermal conductivity of single-layer graphene. Nano Lett. 2008, 8, 902–907. [Google Scholar] [CrossRef] [PubMed]
- Li, A.; Zhang, C.; Zhang, Y.-F. Thermal Conductivity of Graphene-Polymer Composites: Mechanisms, Properties, and Applications. Polymers 2017, 9, 437. [Google Scholar] [CrossRef] [Green Version]
- Kim, H.S.; Bae, H.S.; Yu, J.; Kim, S.Y. Thermal conductivity of polymer composites with the geometrical characteristics of graphene nanoplatelets. Sci. Rep. 2016, 6, 26825. [Google Scholar] [CrossRef] [Green Version]
- Goyal, V.; Balandin, A.A. Thermal properties of the hybrid graphene-metal nano-micro-composites: Applications in thermal interface materials. Appl. Phys. Lett. 2012, 100, 073113. [Google Scholar] [CrossRef] [Green Version]
- Pradhan, S.K.; Sahoo, M.R.; Ratha, S.; Polai, B.; Mitra, A.; Sathpathy, B.; Sahu, A.; Kar, S.; Satyam, P.V.; Ajayan, P.M.; et al. Graphene-incorporated aluminum with enhanced thermal and mechanical properties for solar heat collectors. AIP Adv. 2020, 10, 065016. [Google Scholar] [CrossRef]
- Wang, S.-F.; Rao, K.K.; Wu, Y.-C.; Wang, Y.-R.; Hsu, Y.-F.; Huang, C.-Y. Synthesis and Characterization of Ce3+: YAG Phosphors by Heterogeneous Precipitation Using Different Alumina Sources. Int. J. Appl. Ceram. Technol. 2009, 6, 470–478. [Google Scholar] [CrossRef]
- Gundacker, S.; Acerbi, F.; Auffray, E.; Ferri, A.; Gola, A.; Nemallapudi, M.V.; Paternoster, G.; Piemonte, C.; Lecoq, P. State of the art timing in TOF-PET detectors with Lu, AG, GAGG and L(Y)SO scintillators of various sizes coupled to FBK-Si, PMs. J. Instrum. 2016, 11, P08008. [Google Scholar] [CrossRef]
- Chewpraditkul, W.; Moszynski, M. Scintillation Properties of Lu3Al5O12, Lu2Si, O5 and La, Br3 Crystals Activated with Cerium. Phys. Procedia 2011, 22, 218–226. [Google Scholar] [CrossRef] [Green Version]
- Chewpraditkul, W.; Swiderski, L.; Moszyński, M.; Szczesniak, T.; Syntfeld-Kazuch, A.; Wanarak, C.; Limsuwan, P. Scintillation Properties of Lu, AG:Ce, YAG:Ce and LYSO:Ce Crystals for Gamma-Ray Detection. IEEE Trans. Nucl. Sci. 2009, 56, 3800–3805. [Google Scholar] [CrossRef]
- Nikl, M.; Yoshikawa, A. Recent R&D Trends in Inorganic Single-Crystal Scintillator Materials for Radiation Detection. Adv. Opt. Mater. 2015, 3, 463–481. [Google Scholar] [CrossRef]
- Lucchini, M.T.; Pauwels, K.; Blazek, K.; Ochesanu, S.; Auffray, E. Radiation Tolerance of Lu, AG: Ce and YAG: Ce Crystals Under High Levels of Gamma- and proton-irradiation. IEEE Trans. Nucl. Sci. 2016, 63, 586–590. [Google Scholar] [CrossRef] [Green Version]
- Lucchini, M.; Buganov, O.; Auffray, E.; Boháček, P.; Korjik, M.; Kozlov, D.; Nargelas, S.; Nikl, M.; Tikhomirov, S.; Tamulaitis, G.; et al. Measurement of non-equilibrium carriers dynamics in Ce-doped YAG, Lu, AG and GAGG crystals with and without Mg-codoping. J. Lumin. 2018, 194, 1–7. [Google Scholar] [CrossRef]
- Ogino, H.; Yoshikawa, A.; Nikl, M.; Kamada, K.; Fukuda, T. Scintillation characteristics of Pr-doped Lu3Al5O12 single crystals. J. Cryst. Growth 2006, 292, 239–242. [Google Scholar] [CrossRef]
- Tomala, R.; Hreniak, D.; Strek, W. Influence concentration of Nd3+ ion on the laser induced white emission of Y2Si2O7: Nd3+. Opt. Mater. 2017, 74, 135–138. [Google Scholar] [CrossRef]
- Hreniak, D.; Strek, W.; Dereń, P.; Bednarkiewicz, A.; Łukowiak, A. Synthesis and luminescence properties of Eu3+-doped LaAlO3 nanocrystals. J. Alloys Compd. 2006, 408–412, 828–830. [Google Scholar] [CrossRef]
- Dereń, P.; Weglarowicz, M.; Mazur, P.; Strek, W. Spectroscopic properties of LaAlO3 nanocrystals doped with Tb3+ ions. J. Lumin. 2007, 122–123, 780–783. [Google Scholar] [CrossRef]
- Mishra, K.; Singh, S.K.; Singh, A.K.; Rai, M.; Gupta, B.K.; Rai, S.B. New Perspective in Garnet Phosphor: Low Temperature Synthesis, Nanostructures, and Observation of Multimodal Luminescence. Inorg. Chem. 2014, 53, 9561–9569. [Google Scholar] [CrossRef]
- Wako, A.; Dejene, F.B.; Swart, H.C. Effect of Ga3+ and Gd3+ ions substitution on the structural and optical properties of Ce3+-doped yttrium aluminium garnet phosphor nanopowders. Luminescence 2016, 31, 1313–1320. [Google Scholar] [CrossRef]
- Zhang, J.-Y.; Luo, Z.-H.; Jiang, H.-C.; Jiang, J.; Chen, C.-H.; Zhang, J.-X.; Gui, Z.-Z.; Xiao, N. Highly transparent cerium doped gadolinium gallium aluminum garnet ceramic prepared with precursors fabricated by ultrasonic enhanced chemical co-precipitation. Ultrason. Sonochem. 2017, 39, 792–797. [Google Scholar] [CrossRef] [PubMed]
- Liu, S.; Sun, P.; Liu, Y.; Zhou, T.; Li, S.; Xie, R.J.; Xu, X.; Dong, R.; Jiang, J.; Jiang, H. Warm White Light with a High Col-or-Rendering Index from a Single Gd3Al4GaO12:Ce3+ Transparent Ceramic for High-Power LEDs and LDs. ACS Appl. Mater. Interfaces 2019, 11, 2130–2139. [Google Scholar] [CrossRef] [PubMed]
- Dimesso, L. Pechini Processes: An Alternate Approach of the Sol–Gel Method, Preparation, Properties, and Applications. In Handbook of Sol-Gel Science and Technology; Springer: Cham, Switzerland, 2016; Volume 2, pp. 1–22. [Google Scholar] [CrossRef]
- Fedyk, R.; Hreniak, D.; Łojkowski, W.; Strek, W.; Matysiak, H.; Grzanka, E.; Gierlotka, S.; Mazur, P. Method of preparation and structural properties of transparent YAG nanoceramics. Opt. Mater. 2007, 29, 1252–1257. [Google Scholar] [CrossRef]
- Głuchowski, P.; Tomala, R.; Jeżowski, A.; Szewczyk, D.; Macalik, B.; Smolina, I.; Kurzynowski, T.; Stręk, W. Preparation and physical characteristics of graphene ceramics. Sci. Rep. 2020, 10, 11121. [Google Scholar] [CrossRef] [PubMed]
- Lafuente, B.; Downs, R.T.; Yang, H.; Stone, N. The power of databases: The RRUFF project. In Highlights in Mineralogical Crystallography; Armbruster, T., Danisi, R.M., Eds.; De Gruyter: Berlin, Germany, 2016; pp. 1–29. [Google Scholar]
- Ueda, J.; Tanabe, S. (INVITED) Review of luminescent properties of Ce3+-doped garnet phosphors: New insight into the effect of crystal and electronic structure. Opt. Mater. X 2019, 1, 100018. [Google Scholar] [CrossRef]
- Dorenbos, P. Electronic structure and optical properties of the lanthanide activated RE3(Al1−x, Gax)5O12 (RE=Gd, Y, Lu) garnet compounds. J. Lumin. 2013, 134, 310–318. [Google Scholar] [CrossRef]
- Solarz, P.; Głowacki, M.; Berkowski, M.; Ryba-Romanowski, W. Growth and spectroscopy of Gd3Ga3Al2O12 (GGAG) and evidence of multisite positions of Sm3+ ions in solid solution matrix. J. Alloys Compd. 2016, 689, 359–365. [Google Scholar] [CrossRef]
- Ueda, J.; Miyano, S.; Tanabe, S. Formation of Deep Electron Traps by Yb3+ Codoping Leads to Super-Long Persistent Lumi-nescence in Ce3+-Doped Yttrium Aluminum Gallium Garnet Phosphors. ACS Appl. Mater. Interfaces 2018, 10, 20652–20660. [Google Scholar] [CrossRef]
- Xia, Z.; Meijerink, A. Ce3+-Doped garnet phosphors: Composition modification, luminescence properties and applications. Chem. Soc. Rev. 2017, 46, 275–299. [Google Scholar] [CrossRef] [Green Version]
- Głuchowski, P.; Rajfur, K. Impact of the Synthesis Method on the Conventional and Persistent Luminescence in Gd3–xCexGa3Al2O12. Inorg. Chem. 2021, 60, 18777–18788. [Google Scholar] [CrossRef]
- Herrmann, A.; Othman, H.A.; Assadi, A.A.; Tiegel, M.; Kuhn, S.; Rüssel, C. Spectroscopic properties of cerium-doped aluminosilicate glasses. Opt. Mater. Express 2015, 5, 720. [Google Scholar] [CrossRef]
- Urbach, F. Zur lumineszenz der alkalihalogenide. Sitzungsber. Kais. Akad. Wiss. 1930, 139, 363–372. [Google Scholar]
- Van Den Eeckhout, K.; Bos, A.J.J.; Poelman, D.; Smet, P.F. Revealing trap depth distributions in persistent phosphors. Phys. Rev. B Condens. Matter Mater. Phys. 2013, 87, 045126. [Google Scholar] [CrossRef] [Green Version]
- Zhydachevskyy, Y.; Kamińska, I.; Głowacki, M.; Kilian, A.; Ubizskii, S.; Bilski, P.; Berkowski, M.; Fronc, K.; Elbaum, D.; Suchocki, A. Photoluminescence and Thermoluminescence of the Oxygen-Deficient YAG, YAP, and YAM Phosphors. Acta Phys. Pol. A 2018, 133, 977–980. [Google Scholar] [CrossRef]
- Böer, K.W.; Pohl, U.W. Phonon-Induced Thermal Properties. Fundam. Semicond. Phys. 2014, 3, 1–25. [Google Scholar] [CrossRef]
- Jia, D.; Yen, W.M. Trapping Mechanism Associated with Electron Delocalization and Tunneling of CaAl2O4:Ce3+, A Persistent Phosphor. J. Electrochem. Soc. 2003, 150, H61. [Google Scholar] [CrossRef]
- Babin, V.; Buryi, M.; Chlan, V.; Fomichov, Y.; Kamada, K.; Laguta, V.V.; Nikl, M.; Pejchal, J.; Štěpánková, H.; Yoshikawa, A.; et al. Influence of gallium content on Ga3+ position and photo- and thermally stimulated luminescence in Ce3+-doped multi-component (Y,Lu)3GaxAl5-xO12 garnets. J. Lumin. 2018, 200, 141–150. [Google Scholar] [CrossRef] [Green Version]










| Graphene Content | 5d2 Maximum | FWHM (5d2) | 5d1 Maximum | FWHM (5d1) | Δ21 |
|---|---|---|---|---|---|
| Weight-% | cm−1 | ||||
| Gd2.994Ce0.006Ga3Al2O12 | |||||
| 0 | 28,184 | 1874 | 22,490 | 2848 | 5694 |
| 0.1 | 29,137 | 1939 | 22,662 | 2229 | 6475 |
| 0.2 | 29,129 | 1948 | 22,656 | 2226 | 6473 |
| 0.4 | 29,165 | 1978 | 22,679 | 2180 | 6486 |
| 0.8 | 29,205 | 2049 | 22,702 | 2183 | 6503 |
| 1.6 | 29,247 | 2096 | 22,735 | 2207 | 6512 |
| Gd2.964Ce0.006Dy0.03Ga3Al2O12 | |||||
| 0 | 28,292 | 1595 | 22,500 | 2973 | 5792 |
| 0.1 | 29,115 | 1873 | 22,674 | 2218 | 6441 |
| 0.2 | 29,129 | 1853 | 22,674 | 2193 | 6455 |
| 0.4 | 29,159 | 1866 | 22,691 | 2152 | 6468 |
| 0.8 | 29,260 | 2042 | 22,750 | 2116 | 6510 |
| 1.6 | 29,582 | 2830 | 22,653 | 2761 | 6929 |
| Graphene Content | lmax | FWHM |
|---|---|---|
| Weight-% | cm−1 | |
| Gd2.994Ce0.006Ga3Al2O12 | ||
| 0 | 18,156 | 2965 |
| 0.1 | 18,337 | 2766 |
| 0.2 | 18,397 | 2721 |
| 0.4 | 18,353 | 2789 |
| 0.8 | 18,385 | 2717 |
| 1.6 | 18,407 | 2788 |
| Gd2.964Ce0.006Dy0.03Ga3Al2O12 | ||
| 0 | 18,243 | 2699 |
| 0.1 | 18,294 | 2828 |
| 0.2 | 18,363 | 2855 |
| 0.4 | 18,393 | 2825 |
| 0.8 | 18,396 | 2759 |
| 1.6 | 18,382 | 2717 |
| Graphene Content | τ1 | τ2 |
|---|---|---|
| Weight-% | s | |
| Gd2.994Ce0.006Ga3Al2O12 | ||
| 0 | 49 | 212 |
| 0.1 | 38 | 148 |
| 0.2 | 40 | 126 |
| 0.4 | 42 | 159 |
| 0.8 | 52 | 107 |
| 1.6 | 60 | 89 |
| Gd2.964Ce0.006Dy0.03Ga3Al2O12 | ||
| 0 | 49 | 221 |
| 0.1 | 54 | 222 |
| 0.2 | 52 | 211 |
| 0.4 | 60 | 60 |
| 0.8 | 58 | 57 |
| 1.6 | 62 | 60 |
| Graphene Content | Tmax | E | Share |
|---|---|---|---|
| Weight-% | K | eV | % |
| Gd2.994Ce0.006Ga3Al2O12 | |||
| 0 | 369 | 0.74 | 44.9 |
| 379 | 0.76 | 55.1 | |
| 0.1 | 372 | 0.74 | 40.0 |
| 379 | 0.76 | 60.0 | |
| 0.2 | 370 | 0.74 | 41.3 |
| 381 | 0.76 | 58.7 | |
| 0.4 | 373 | 0.75 | 51.5 |
| 381 | 0.76 | 48.5 | |
| 0.8 | 373 | 0.75 | 43.9 |
| 378 | 0.76 | 56.1 | |
| 1.6 | 372 | 0.74 | 48.6 |
| 381 | 0.76 | 51.4 | |
| Gd2.964Ce0.006Dy0.03Ga3Al2O12 | |||
| 0 | 372 | 0.74 | 44.6 |
| 381 | 0.76 | 55.4 | |
| 0.1 | 376 | 0.75 | 46.9 |
| 392 | 0.78 | 53.1 | |
| 0.2 | 372 | 0.74 | 44.1 |
| 384 | 0.77 | 55.9 | |
| 0.4 | 375 | 0.75 | 45.4 |
| 388 | 0.78 | 54.6 | |
| 0.8 | 371 | 0.74 | 50.8 |
| 382 | 0.76 | 49.2 | |
| 1.6 | 376 | 0.75 | 52.8 |
| 385 | 0.77 | 47.2 | |
Publisher’s Note: MDPI stays neutral with regard to jurisdictional claims in published maps and institutional affiliations. |
© 2022 by the authors. Licensee MDPI, Basel, Switzerland. This article is an open access article distributed under the terms and conditions of the Creative Commons Attribution (CC BY) license (https://creativecommons.org/licenses/by/4.0/).
Share and Cite
Kujawa, D.; Szewczyk, D.; Boiko, V.; Bęben, D.; Głuchowski, P. Effect of Graphene Addition on the Thermal and Persistent Luminescence Properties of Gd2.994Ce0.006Ga3Al2O12 and Gd2.964Ce0.006Dy0.03Ga3Al2O12 Ceramics. Materials 2022, 15, 2606. https://doi.org/10.3390/ma15072606
Kujawa D, Szewczyk D, Boiko V, Bęben D, Głuchowski P. Effect of Graphene Addition on the Thermal and Persistent Luminescence Properties of Gd2.994Ce0.006Ga3Al2O12 and Gd2.964Ce0.006Dy0.03Ga3Al2O12 Ceramics. Materials. 2022; 15(7):2606. https://doi.org/10.3390/ma15072606
Chicago/Turabian StyleKujawa, Daniela, Daria Szewczyk, Vitalii Boiko, Damian Bęben, and Paweł Głuchowski. 2022. "Effect of Graphene Addition on the Thermal and Persistent Luminescence Properties of Gd2.994Ce0.006Ga3Al2O12 and Gd2.964Ce0.006Dy0.03Ga3Al2O12 Ceramics" Materials 15, no. 7: 2606. https://doi.org/10.3390/ma15072606
APA StyleKujawa, D., Szewczyk, D., Boiko, V., Bęben, D., & Głuchowski, P. (2022). Effect of Graphene Addition on the Thermal and Persistent Luminescence Properties of Gd2.994Ce0.006Ga3Al2O12 and Gd2.964Ce0.006Dy0.03Ga3Al2O12 Ceramics. Materials, 15(7), 2606. https://doi.org/10.3390/ma15072606

