Ferromagnetism and Superconductivity in CaRuO3/YBa2Cu3O7-δ Heterostructures
Abstract
1. Introduction
2. Materials and Methods
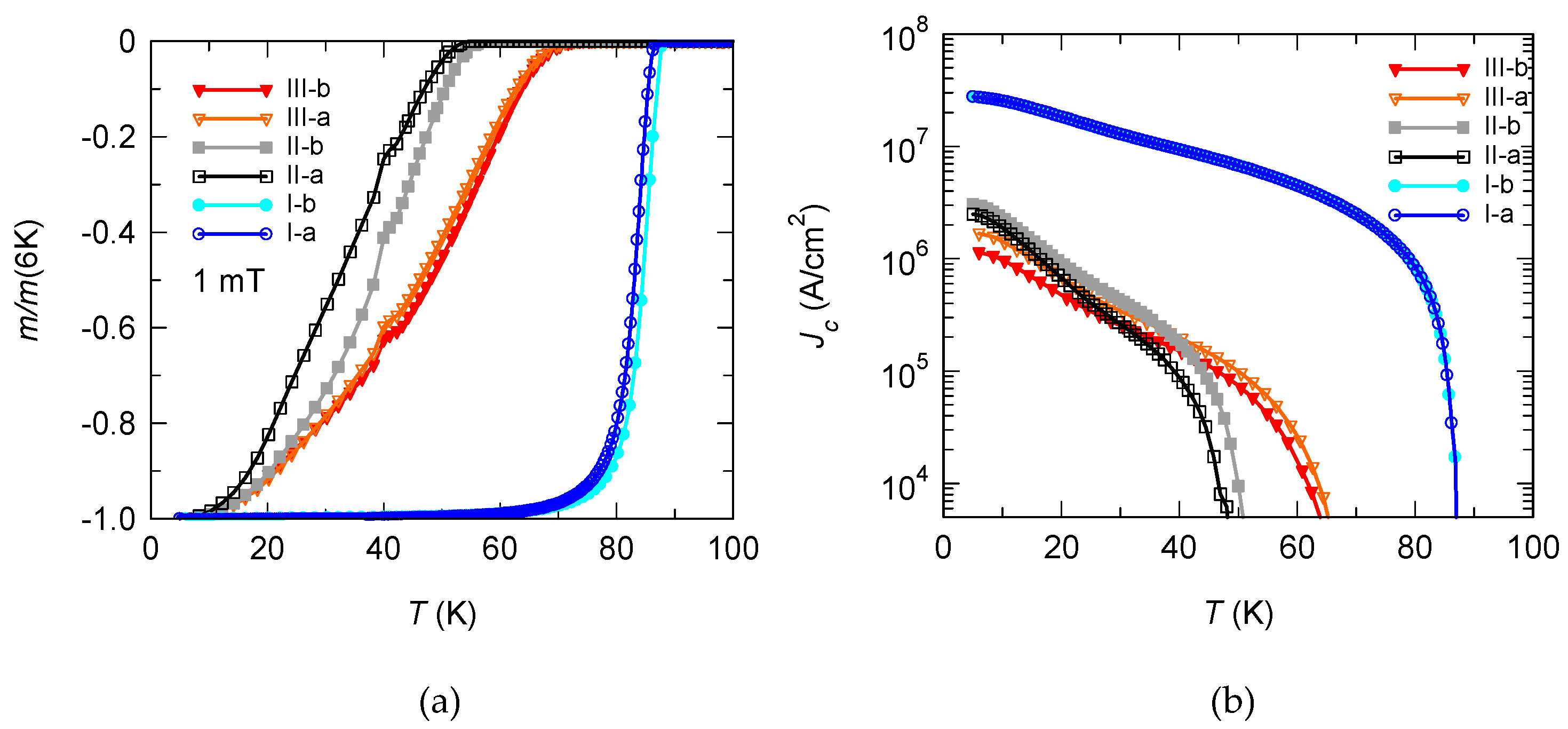
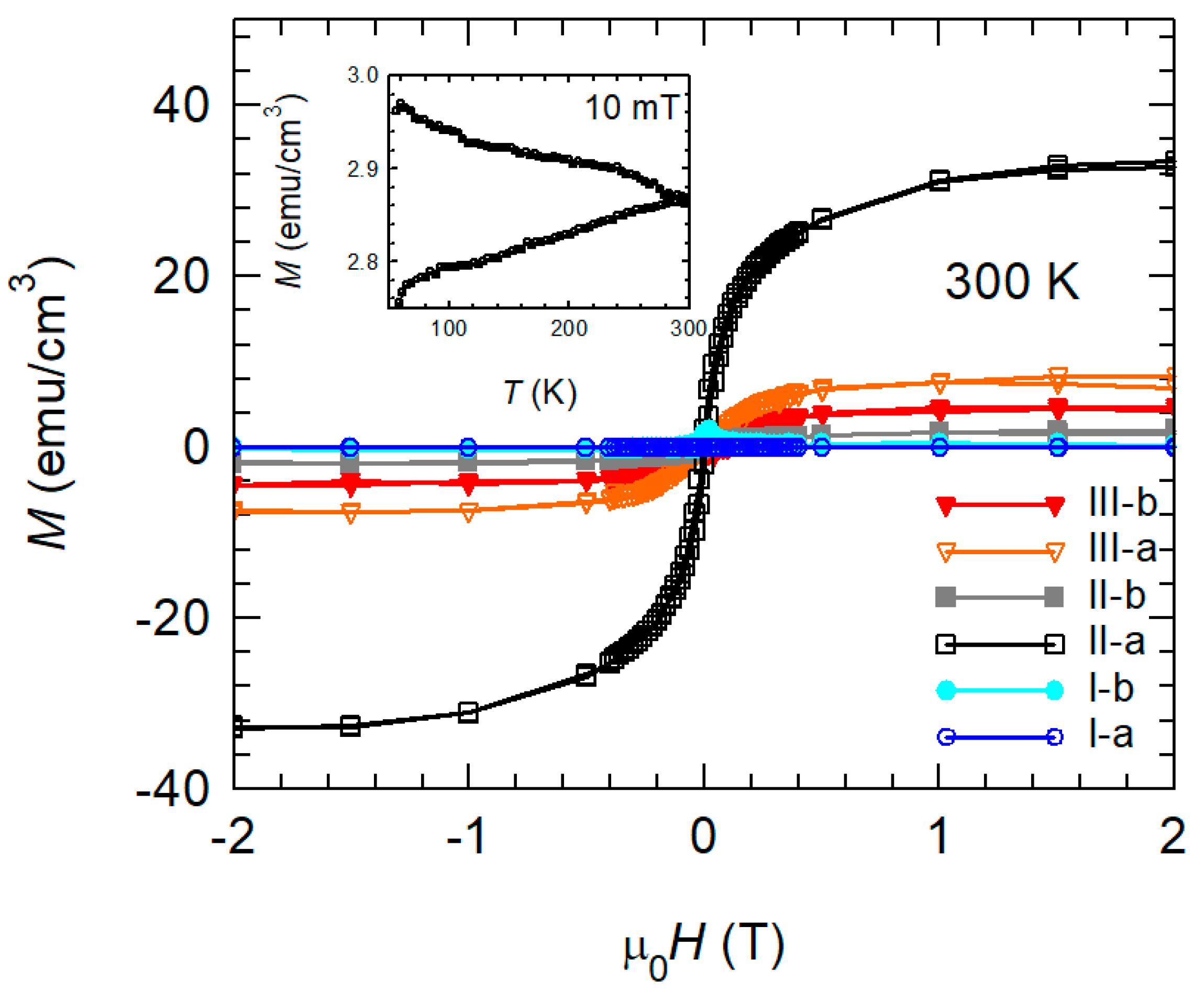
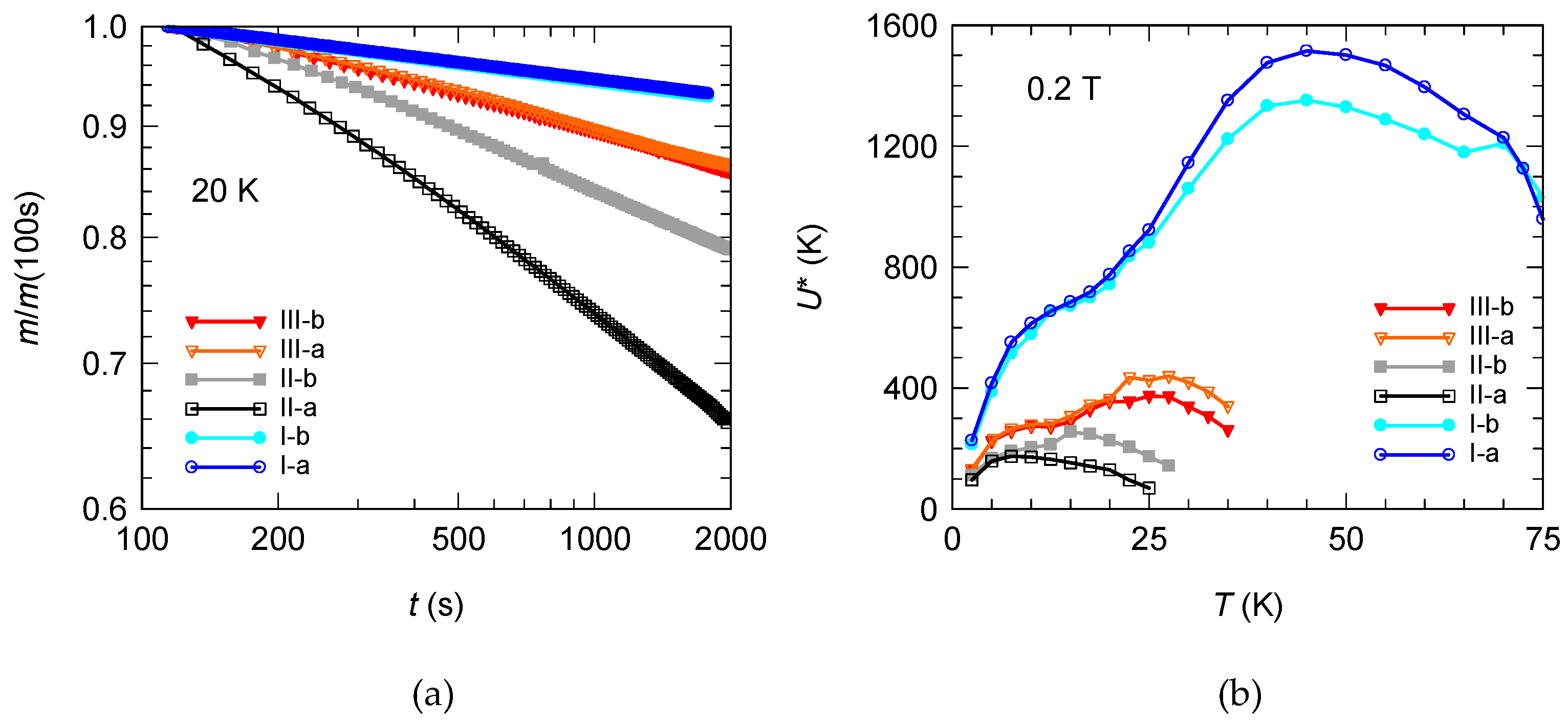
3. Results and Discussion
4. Conclusions
Author Contributions
Funding
Institutional Review Board Statement
Informed Consent Statement
Data Availability Statement
Acknowledgments
Conflicts of Interest
References
- Wu, M.K.; Ashburn, J.R.; Torng, C.J.; Hor, P.H.; Meng, R.L.; Gao, L.; Huang, Z.J.; Wang, Y.Q.; Chu, C.W. Superconductivity at 93 K in a new mixed-phase Yb-Ba-Cu-O compound system at ambient pressure. Phys. Rev. Lett. 1987, 58, 908–910. [Google Scholar] [CrossRef] [PubMed]
- Foltyn, S.R.; Civale, L.; Macmanus-Driscoll, J.L.; Jia, Q.X.; Maiorov, B.; Wang, H.; Maley, M. Materials science challenges for high-temperature superconducting wire. Nat. Mater. 2007, 6, 631–642. [Google Scholar] [CrossRef]
- Larbalestier, D.; Gurevich, A.; Feldmann, D.M.; Polyanskii, A. High-Tc superconducting materials for electric power applications. Nature 2001, 414, 368–377. [Google Scholar] [CrossRef] [PubMed]
- Seidel, P. Applied Superconductivity: Handbook on Devices and Applications; Seidel, P., Ed.; Wiley: Hoboken, NJ, USA, 2015. [Google Scholar]
- Conder, K. Oxygen diffusion in the superconductors of the YBaCuO family: Isotope exchange measurements and models. Mater. Sci. Eng. R Rep. 2001, 32, 41–102. [Google Scholar] [CrossRef]
- Jha, A.K.; Matsumoto, K. Superconductive REBCO thin films and their nanocomposites: The role of rare-earth oxides in promoting sustainable energy. Front. Phys. 2019, 7, 82. [Google Scholar] [CrossRef]
- Yan, H.; Abdelhadi, M.M.; Jung, J.A.; Willemsen, B.A.; Kihlstrom, K.E. Exponential dependence of the vortex pinning potential on current density in high-Tc superconductors. Phys. Rev. B 2005, 72, 064522. [Google Scholar] [CrossRef]
- Jooss, C.; Warthmann, R.; Kronmüller, H.; Haage, T.; Habermeier, H.U.; Zegenhagen, J. Vortex pinning due to strong quasiparticle scattering at antiphase boundaries in YBa2Cu3O7-δ. Phys. Rev. Lett. 1999, 82, 632–635. [Google Scholar] [CrossRef]
- Theuss, H.; Kronmüller, H. The influence of a point defect structure on the magnetic properties of YBa2Cu3O7-δ polycrystals. Phys. C 1991, 177, 253–261. [Google Scholar] [CrossRef]
- Opherden, L.; Sieger, M.; Pahlke, P.; Hühne, R.; Schultz, L.; Meled, A.; Van Tendeloo, G.; Nast, R.; Holzapfel, B.; Marco, B.; et al. Large pinning forces and matching effects in YBa2Cu3O7-δ thin films with Ba2Y(Nb/Ta)O6 nano-precipitates. Sci. Rep. 2016, 6, 21188. [Google Scholar] [CrossRef]
- Crisan, A.; Dang, V.S.; Mikheenko, P.; Ionescu, A.M.; Ivan, I.; Miu, L. Synergetic pinning centres in BaZrO3-doped YBa2Cu3O7-x films induced by SrTiO3 nano-layers. Supercond. Sci. Technol. 2017, 30, 045012. [Google Scholar] [CrossRef]
- Rouco, V.; Córdoba, R.; De Teresa, J.M.; Rodríguez, L.A.; Navau, C.; Del-Valle, N.; Via, G.; Sánchez, A.; Monton, C.; Kronast, F.; et al. Competition between Superconductor—Ferromagnetic stray magnetic fields in YBa2Cu3O7-x films pierced with Co nano-rods. Sci. Rep. 2017, 7, 5663. [Google Scholar] [CrossRef] [PubMed]
- Stahl, C.; Walker, P.; Treiber, S.; Christiani, G.; Schütz, G.; Albrecht, J. Using magnetic coupling in bilayers of superconducting YBCO and soft-magnetic CoFeB to map supercurrent flow. EPL 2014, 106, 27002. [Google Scholar] [CrossRef]
- De Andrés Prada, R.; Gaina, R.; Biškup, N.; Varela, M.; Stahn, J.; Bernhard, C. Controlling the strength of ferromagnetic order in YBa2Cu3O7/La2/3Ca1/3MnO3 multilayers. Phys. Rev. B 2019, 100, 115129. [Google Scholar] [CrossRef]
- Huang, S.W.; Wray, L.A.; Jeng, H.T.; Tra, V.T.; Lee, J.M.; Langner, M.C.; Chen, J.M.; Roy, S.; Chu, Y.H.; Schoenlein, R.W.; et al. Selective interlayer ferromagnetic coupling between the Cu spins in YBa2Cu3O7-x grown on top of La0.7Ca0.3MnO3. Sci. Rep. 2015, 5, 16690. [Google Scholar] [CrossRef]
- Soltan, S.; Albrecht, J.; Habermeier, H.U. Ferromagnetic/superconducting bilayer structure: A model system for spin diffusion length estimation. Phys. Rev. B 2004, 70, 144517. [Google Scholar] [CrossRef]
- Samal, D.; Anil Kumar, P.S. Evidence for decoupled two-dimensional vortex behavior of YBa2Cu3O7-δ in La0.7Sr0.3MnO3/YBa2Cu3O7-δ/La0.7Sr0.3MnO3 trilayer. J. Appl. Phys. 2010, 108, 123909. [Google Scholar] [CrossRef]
- Sander, A.; Orfila, G.; Sanchez-Manzano, D.; Reyren, N.; Mawass, M.A.; Gallego, F.; Collin, S.; Bouzehouane, K.; Höflich, K.; Kronast, F.; et al. Superconducting imprint of magnetic textures in ferromagnets with perpendicular magnetic anisotropy. Sci. Rep. 2021, 11, 20788. [Google Scholar] [CrossRef]
- Buzdin, A.I.; Ryazanov, V.V. Proximity effect in superconductor-ferromagnet heterostructures. Comptes Rendus Phys. 2006, 7, 107–115. [Google Scholar] [CrossRef]
- Paull, O.H.C.; Pan, A.V.; Causer, G.L.; Fedoseev, S.A.; Jones, A.; Liu, X.; Rosenfeld, A.; Klose, F. Field dependence of the ferromagnetic/superconducting proximity effect in a YBCO/STO/LCMO multilayer. Nanoscale 2018, 10, 18995–19003. [Google Scholar] [CrossRef] [PubMed]
- Satapathy, D.K.; Uribe-Laverde, M.A.; Marozau, I.; Malik, V.K.; Das, S.; Wagner, T.; Marcelot, C.; Stahn, J.; Brück, S.; Rühm, A.; et al. Magnetic Proximity Effect in YBa2Cu3O7/La2/3Ca1/3MnO3 and YBa2Cu3O7/LaMnO3+δ Superlattices. Phys. Rev. Lett. 2012, 108, 197201. [Google Scholar] [CrossRef]
- Frano, A.; Blanco-Canosa, S.; Schierle, E.; Lu, Y.; Wu, M.; Bluschke, M.; Minola, M.; Christiani, G.; Habermeier, H.U.; Logvenov, G.; et al. Long-range charge-density-wave proximity effect at cuprate/manganate interfaces. Nat. Mater. 2016, 15, 831–834. [Google Scholar] [CrossRef]
- Kalcheim, Y.; Millo, O.; Di Bernardo, A.; Pal, A.; Robinson, J.W.A. Inverse proximity effect at superconductor-ferromagnet interfaces: Evidence for induced triplet pairing in the superconductor. Phys. Rev. B—Condens. Matter Mater. Phys. 2015, 92, 060504(R). [Google Scholar] [CrossRef]
- Banerjee, N.; Ouassou, J.A.; Zhu, Y.; Stelmashenko, N.A.; Linder, J.; Blamire, M.G. Controlling the superconducting transition by spin-orbit coupling. Phys. Rev. B 2018, 97, 184521. [Google Scholar] [CrossRef]
- Brisbois, J.; Motta, M.; Avila, J.I.; Shaw, G.; Devillers, T.; Dempsey, N.M.; Veerapandian, S.K.P.; Colson, P.; Vanderheyden, B.; Vanderbemden, P.; et al. Imprinting superconducting vortex footsteps in a magnetic layer. Sci. Rep. 2016, 6, 27159. [Google Scholar] [CrossRef] [PubMed]
- Aladyshkin, A.Y.; Silhanek, A.V.; Gillijns, W.; Moshchalkov, V.V. Nucleation of superconductivity and vortex matter in superconductor- ferromagnet hybrids. Supercond. Sci. Technol. 2009, 22, 053001. [Google Scholar] [CrossRef]
- Chien, T.Y.; Kourkoutis, L.F.; Chakhalian, J.; Gray, B.; Kareev, M.; Guisinger, N.P.; Muller, D.A.; Freeland, J.W. Visualizing short-range charge transfer at the interfaces between ferromagnetic and superconducting oxides. Nat. Commun. 2013, 4, 1–7. [Google Scholar] [CrossRef] [PubMed]
- Albrecht, J.; Soltan, S.; Habermeier, H.U. Magnetic pinning of flux lines in heterostructures of cuprates and manganites. Phys. Rev. B 2005, 72, 092502. [Google Scholar] [CrossRef]
- Di Bernardo, A.; Komori, S.; Livanas, G.; Divitini, G.; Gentile, P.; Cuoco, M.; Robinson, J.W.A. Nodal superconducting exchange coupling. Nat. Mater. 2019, 18, 1194–1200. [Google Scholar] [CrossRef]
- Soltan, S.; Albrecht, J.; Goering, E.; Schütz, G.; Mustafa, L.; Keimer, B.; Habermeier, H.U. Preparation of a ferromagnetic barrier in YBa2Cu3O7-δ thinner than the coherence length. J. Appl. Phys. 2015, 118, 223902. [Google Scholar] [CrossRef]
- Ionescu, A.M.; Simmendinger, J.; Bihler, M.; Miksch, C.; Fischer, P.; Soltan, S.; Schütz, G.; Albrecht, J. Soft-magnetic coatings as possible sensors for magnetic imaging of superconductors. Supercond. Sci. Technol. 2020, 33, 015002. [Google Scholar] [CrossRef]
- Alidoust, M.; Halterman, K. Half-metallic superconducting triplet spin multivalves. Phys. Rev. B 2018, 97, 064517. [Google Scholar] [CrossRef]
- Schultz, M.; Klein, L.; Reiner, J.W.; Beasley, M.R. Low-temperature magnetoresistance in untwinned CaRuO3 films. Phys. B Condens. Matter 2006, 378–380, 490–491. [Google Scholar] [CrossRef]
- Tian, H.Y.; Wang, J.; Wang, Y.; Qi, J.Q.; Wong, K.H.; Chan, H.L.W.; Choy, C.L. Highly c-axis oriented CaRuO3 thin films on LaAlO3 buffered Si(100) substrates by pulsed laser deposition. Phys. Status Solidi Appl. Res. 2004, 201, 101–104. [Google Scholar] [CrossRef]
- Ito, A.; Matsumoto, H.; Goto, T. Microstructure and Electrical Conductivity of Epitaxial CaRuO3 Thin Films Prepared on (001), (110) and (111) SrTiO3 Substrates by Laser Ablation. J. Ceram. Soc. Jpn. 2007, 115, 683–687. [Google Scholar] [CrossRef][Green Version]
- Tripathi, S.; Rana, R.; Kumar, S.; Pandey, P.; Singh, R.S.; Rana, D.S. Ferromagnetic CaRuO3. Sci. Rep. 2014, 4, 3877. [Google Scholar] [CrossRef]
- Nair, H.P.; Liu, Y.; Ruf, J.P.; Schreiber, N.J.; Shang, S.L.; Baek, D.J.; Goodge, B.H.; Kourkoutis, L.F.; Liu, Z.K.; Shen, K.M.; et al. Synthesis science of SrRuO3 and CaRuO3 epitaxial films with high residual resistivity ratios. APL Mater. 2018, 6, 046101. [Google Scholar] [CrossRef]
- Geiger, D.; Scheffler, M.; Dressel, M.; Schneider, M.; Gegenwart, P. Broadband microwave study of SrRuO3 and CaRuO3 thin films. J. Phys. Conf. Ser. 2012, 391, 012091. [Google Scholar] [CrossRef]
- Myers, K.E.; Char, K.; Colclough, M.S.; Geballe, T.H. Noise characteristics of YBa2Cu3O7-δ/CaRuO3/YBa2Cu3O7-δ Josephson junctions. Appl. Phys. Lett. 1994, 64, 788. [Google Scholar] [CrossRef]
- Lee, S.G.; Park, K.; Park, Y.K.; Park, J.C. High Tc superconductor-normal-superconductor step-edge junction dc SQUIDs with CaRuO3 as the normal metal. Appl. Phys. Lett. 1994, 64, 2028. [Google Scholar] [CrossRef]
- Shirako, Y.; Satsukawa, H.; Kojitani, H.; Katsumata, T.; Yoshida, M.; Inaguma, Y.; Hiraki, K.; Takahashi, T.; Yamaura, K.; Takayama-Muromachi, E.; et al. Magnetic properties of high-pressure phase of CaRuO3 with post-perovskite structure. J. Phys. Conf. Ser. 2010, 215, 012038. [Google Scholar] [CrossRef]
- Shirako, Y.; Satsukawa, H.; Wang, X.X.; Li, J.J.; Guo, Y.F.; Arai, M.; Yamaura, K.; Yoshida, M.; Kojitani, H.; Katsumata, T.; et al. Integer spin-chain antiferromagnetism of the 4d oxide CaRuO3 with post-perovskite structure. Phys. Rev. B 2011, 83, 174411. [Google Scholar] [CrossRef]
- Shen, S.; Li, Z.; Tian, Z.; Luo, W.; Okamoto, S.; Yu, P. Emergent Ferromagnetism with Fermi-Liquid Behavior in Proton Intercalated CaRuO3. Phys. Rev. X 2021, 11, 021018. [Google Scholar] [CrossRef]
- Bradarić, I.M.; Matić, V.M.; Savić, I.; Rakočević, Z.; Popović, M.; Destraz, D.; Keller, H. Anomalous magnetic properties of CaRuO3 probed by AC and DC magnetic measurements and by low Ti impurity doping. Phys. Rev. B 2018, 98, 134436. [Google Scholar] [CrossRef]
- Longo, J.M.; Raccah, P.M.; Goodenough, J.B. Magnetic properties of SrRuO3 and CaRuO3. J. Appl. Phys. 1968, 39, 1327. [Google Scholar] [CrossRef]
- Chen, Y.B.; Zhou, J.; Wu, F.X.; Ji, W.J.; Zhang, S.T.; Chen, Y.F.; Zhu, Y.Y. Microstructure and ferromagnetic property in CaRuO3 thin films with pseudoheterostructure. Appl. Phys. Lett. 2010, 96, 182502. [Google Scholar] [CrossRef]
- Chen, P.F.; Chen, B.B.; Tan, X.L.; Xu, H.R.; Xuan, X.F.; Guo, Z.; Jin, F.; Wu, W.B. High-Tc ferromagnetic order in CaRuO3/La2/3Ca1/3MnO3 superlattices. Appl. Phys. Lett. 2013, 103, 262402. [Google Scholar] [CrossRef]
- He, T.; Cava, R.J. Disorder-induced ferromagnetism in CaRuO3. Phys. Rev. B—Condens. Matter Mater. Phys. 2001, 63, 172403. [Google Scholar] [CrossRef]
- Ivan, I.; Pasuk, I.; Crisan, A.; Sandu, V.; Onea, M.; Leca, A.; Cosar, C.; Burdusel, M. New superconductor/ferromagnet heterostructure formed by YBa2Cu3O7-x and CaRuO3. Supercond. Sci. Technol. 2021, 34, 115009. [Google Scholar] [CrossRef]
- Bean, C.P. Magnetization of hard superconductors. Phys. Rev. Lett. 1962, 8, 250–253. [Google Scholar] [CrossRef]
- Gyorgy, E.M.; Van Dover, R.B.; Jackson, K.A.; Schneemeyer, L.F.; Waszczak, J.V. Anisotropic critical currents in Ba2YCuO7 analyzed using an extended Bean model. Appl. Phys. Lett. 1989, 55, 283–285. [Google Scholar] [CrossRef]
- Yeshurun, Y.; Malozemoff, A.P.; Shaulov, A. Magnetic relaxation in high-temperature superconductors. Rev. Mod. Phys. 1996, 68, 911–949. [Google Scholar] [CrossRef]
- Feigelman, M.V.; Geshkenbein, V.B.; Larkin, A.I.; Vinokur, V.M. Theory of collective flux creep. Phys. Rev. Lett. 1989, 63, 2303–2306. [Google Scholar] [CrossRef] [PubMed]
- Abulafia, Y.; Shaulov, A.; Wolfus, Y.; Prozorov, R.; Burlachkov, L.; Yeshurun, Y.; Majer, D.; Zeldov, E.; Wühl, H.; Geshkenbein, V.B.; et al. Plastic vortex creep in YBa2Cu3O7-x crystals. Phys. Rev. Lett. 1996, 77, 1596–1599. [Google Scholar] [CrossRef] [PubMed]
- Ito, W.; Mahajan, S.; Yoshida, Y.; Morishita, T.; Kumagai, M.; Yabuta, K. Influence of Crystal Strain on Superconductivity of a-Axis Oriented YBa2Cu3Ox Films. Jpn. J. Appl. Phys. 1994, 33, 5701. [Google Scholar] [CrossRef]
- Miu, L.; Mele, P.; Crisan, A.; Ionescu, A.; Miu, D. Evolution of vortex dynamics in YBa2Cu3O7 films with nanorods by adding nanoparticles. Phys. C Supercond. Appl. 2014, 500, 40–43. [Google Scholar] [CrossRef]
- Kuncser, V.; Miu, L. Size Effects in Nanostructures; Springer: Berlin/Heidelberg, Germany, 2014; ISBN 9783662444788. [Google Scholar]
- Blatter, G.; Feigel’Man, M.V.; Geshkenbein, V.B.; Larkin, A.I.; Vinokur, V.M. Vortices in high-temperature superconductors. Rev. Mod. Phys. 1994, 66, 1125–1388. [Google Scholar] [CrossRef]
- Ionescu, A.M.; Bihler, M.; Simmendinger, J.; Miksch, C.; Fischer, P.; Cristiani, G.; Rabinovich, K.S.; Schütz, G.; Albrecht, J. Transient increase of Tc and Jc in superconducting/metallic heterostructures. Mater. Chem. Phys. 2021, 263, 124390. [Google Scholar] [CrossRef]
- Albrecht, J.; Djupmyr, M.; Brück, S. Universal temperature scaling of flux line pinning in high-temperature superconducting thin films. J. Phys. Condens. Matter 2007, 19, 216211. [Google Scholar] [CrossRef]
- Djupmyr, M.; Soltan, S.; Habermeier, H.U.; Albrecht, J. Temperature-dependent critical currents in superconducting YBa2Cu3O7-δ and ferromagnetic La2/3Ca1/3MnO3 hybrid structures. Phys. Rev. B—Condens. Matter Mater. Phys. 2009, 80, 184507. [Google Scholar] [CrossRef]
- Stangl, A.; Palau, A.; Deutscher, G.; Obradors, X.; Puig, T. Ultra-high critical current densities of superconducting YBa2Cu3O7-δ thin films in the overdoped state. Sci. Rep. 2021, 11, 8176. [Google Scholar] [CrossRef]
- Prajapat, C.L.; Singh, S.; Bhattacharya, D.; Ravikumar, G.; Basu, S.; Mattauch, S.; Zheng, J.G.; Aoki, T.; Paul, A. Proximity effects across oxide-interfaces of superconductor-insulator-ferromagnet hybrid heterostructure. Sci. Rep. 2018, 8, 3732. [Google Scholar] [CrossRef] [PubMed]






| YBCO-Layer | ||||
| Sample | a (Å) Strain | b (Å) Strain | c (Å) Strain | |
| YBCO Bulk a = 3.817 Å b = 3.883 Å c = 11.682 Å | I-a | 3.793 −0.63% | 3.834 −1.26% | 11.69 0.07% |
| I-b | 3.845 0.74% | 3.905 0.57% | 11.657 −0.21% | |
| II-a | 3.834 0.45% | 3.88 −0.08% | 11.73 0.41% | |
| II-b | 3.857 1.04% | 3.88 −0.08% | 11.705 0.2% | |
| III-a | 3.88 1.64% | 3.88 −0.08% | 11.697 0.13% | |
| III-b | 3.861 1.14% | 3.88 −0.08% | 11.69 0.07% | |
| CRO-Layer | ||||
| Sample | a (Å) Strain | b (Å) Strain | c (Å) Strain | |
| CROpc Bulk pc a = 3.840 Å | II-a | 3.826 −0.35% | 3.883 1.13% | 3.818 −0.57% |
| II-b | 3.861 0.53% | 3.887 1.24% | 3.813 −0.7% | |
| III-a | 3.88 1.03% | 3.876 0.93% | 3.813 −0.7% | |
| III-b | 3.864 0.63% | 3.887 1.24% | 3.812 −0.73% | |
Publisher’s Note: MDPI stays neutral with regard to jurisdictional claims in published maps and institutional affiliations. |
© 2022 by the authors. Licensee MDPI, Basel, Switzerland. This article is an open access article distributed under the terms and conditions of the Creative Commons Attribution (CC BY) license (https://creativecommons.org/licenses/by/4.0/).
Share and Cite
Ionescu, A.M.; Ivan, I.; Locovei, C.; Onea, M.; Crisan, A.; Soltan, S.; Schütz, G.; Albrecht, J. Ferromagnetism and Superconductivity in CaRuO3/YBa2Cu3O7-δ Heterostructures. Materials 2022, 15, 2345. https://doi.org/10.3390/ma15072345
Ionescu AM, Ivan I, Locovei C, Onea M, Crisan A, Soltan S, Schütz G, Albrecht J. Ferromagnetism and Superconductivity in CaRuO3/YBa2Cu3O7-δ Heterostructures. Materials. 2022; 15(7):2345. https://doi.org/10.3390/ma15072345
Chicago/Turabian StyleIonescu, Alina Marinela, Ion Ivan, Claudiu Locovei, Melania Onea, Adrian Crisan, Soltan Soltan, Gisela Schütz, and Joachim Albrecht. 2022. "Ferromagnetism and Superconductivity in CaRuO3/YBa2Cu3O7-δ Heterostructures" Materials 15, no. 7: 2345. https://doi.org/10.3390/ma15072345
APA StyleIonescu, A. M., Ivan, I., Locovei, C., Onea, M., Crisan, A., Soltan, S., Schütz, G., & Albrecht, J. (2022). Ferromagnetism and Superconductivity in CaRuO3/YBa2Cu3O7-δ Heterostructures. Materials, 15(7), 2345. https://doi.org/10.3390/ma15072345

