Next Article in Journal
Routes for Metallization of Perovskite Solar Cells
Previous Article in Journal
Preparation of Poly Aluminum-Ferric Chloride (PAFC) Coagulant by Extracting Aluminum and Iron Ions from High Iron Content Coal Gangue
Previous Article in Special Issue
Developing and Comparing 2,6-Anthracene Derivatives: Optical, Electrochemical, Thermal, and Their Use in Organic Thin Film Transistors
 
 
Font Type:
Arial Georgia Verdana
Font Size:
Aa Aa Aa
Line Spacing:
Column Width:
Background:
Article

Low-Temperature-Processed High-Performance Pentacene OTFTs with Optimal Nd-Ti Oxynitride Mixture as Gate Dielectric

1
School of Integrated Circuits and Electronics, MIIT Key Laboratory for Low-Dimensional Quantum Structure and Devices, Beijing Institute of Technology, Beijing 100081, China
2
Department of Electrical and Electronic Engineering, The University of Hong Kong, Pokfulam Road, Hong Kong Island, Hong Kong 999077, China
*
Authors to whom correspondence should be addressed.
Materials 2022, 15(6), 2255; https://doi.org/10.3390/ma15062255
Submission received: 7 February 2022 / Revised: 9 March 2022 / Accepted: 15 March 2022 / Published: 18 March 2022
(This article belongs to the Special Issue Research on Materials and Properties of Organic Thin Film Transistors)

Abstract

:
When processed at a low temperature of 200 °C, organic thin-film transistors (OTFTs) with pentacene channel adopting high-k Neodymium-Titanium oxynitride mixtures (NdTiON) with various Ti contents as gate dielectrics are fabricated. The Ti content in the NdTiON is varied by co-sputtering a Ti target at 0 W, 10 W, 20 W and 30 W, respectively, while fixing the sputtering power of an Nd target at 45 W. High-performance OTFT is obtained for the 20 W-sputtered Ti, including a small threshold voltage of −0.71 V and high carrier mobility of 1.70 cm2/V·s. The mobility improvement for the optimal Ti content can be attributed to smoother dielectric surface and resultant larger overlying pentacene grains as reflected by Atomic Force Microscopy measurements. Moreover, this sample with the optimal Ti content shows much higher mobility than its counterpart processed at a higher temperature of 400 °C (0.8 cm2/V·s) because it has a thinner gate-dielectric/gate-electrode interlayer for stronger screening on the remote phonon scattering by the gate electrode. In addition, a high dielectric constant of around 10 is obtained for the NdTiON gate dielectric that contributes to a threshold voltage smaller than 1 V for the pentacene OTFT, implying the high potential of the Nd-Ti oxynitride in future high-performance organic devices.

1. Introduction

Since the discovery of semiconducting organic materials, much effort has been made to extensively explore organic thin-film transistors (OTFTs) due to their promising advantages of large–area application, low cost, flexibility and compatibility with the Si-based technology [1,2]. Thanks to continual development, the key parameter, the carrier mobility of OTFTs, has been improved to over 10 cm2/V·s for single-crystal organics [3] and over 2 cm2/V·s for amorphous thin films [4]. OTFTs have demonstrated electrical characteristics comparable to those of amorphous-silicon TFTs, and as a result, are integrated on a chip in novel applications [5]. One important application of OTFTs is to drive organic-light-emitting-diodes (OLEDs), which promotes flexible flat-panel displays. Another application is for various sensors to monitor gas, pressure, and deformation. Additionally, OTFTs have also served applications including radio-frequency identification (RFID) tap, electronic skin, and flexible circuits [6]. Although some OTFTs have demonstrated good performance, their threshold voltages are usually larger than 3 V, thus limiting their applications in portable electronic products powered by a battery at a few volts [7]. One way to lower the operating voltage of OTFTs with the traditional Si dioxide as the gate dielectric is thinning the dielectric, but at the expense of increased gate leakage. Other efforts, such as using organic-inorganic dielectrics and cross-linking passivation agents, have also been made to reduce power consumption while complicating the fabrication process [8]. As a result, attention has been paid to high-k materials adopted as gate dielectrics in field-effect transistors (FET). One famous example is Intel’s 45-nm technology node, where high-k hafnium oxide (HfO2) was used as the gate dielectric for Si-based metal-oxide-semiconductor field-effect transistors (MOSFETs) [9]. On the other hand, pentacene OTFT with HfO2 gate dielectric demonstrated a carrier mobility lower than 0.1 cm2/V·s because HfO2 had oxide defects such as oxygen vacancies and dangling bonds, producing a low-quality interface with the overlying organic channel [10]. Furthermore, other high-k materials, for example, pure tantalum oxide (Ta2O5) and titanium oxide (TiO2), have also been utilized as gate dielectrics for threshold-voltage reduction, but the carrier mobility was around 1 cm2/V·s [11].
As a lanthanide oxide, neodymium oxide (Nd2O3) has shown a high potential to act as a high-k gate dielectric for FETs. Nd2O3 has a dielectric constant of around 20, which is much higher than that of the traditional silicon dioxide (SiO2) (3.9), but severely suffers from high hygroscopicity, meaning stability problem when exposed to air [12,13]. With a high k value up to 80 for Ti oxide, titanium (Ti) doping in gate dielectric has been explored to raise its dielectric constant and moisture resistance [14]. However, Ti oxide is always associated with a high trap density and a smaller bandgap (~3.2 eV) than Nd2O3 (~5 eV), both increasing oxide leakage [15,16]. Therefore, it can be expected that for an Nd-Ti oxide mixture, Nd could passivate the oxide defects to suppress the leakage problem induced by Ti, while Ti could reduce the hygroscopic concern caused by Nd. As a result, high-performance OTFTs with high carrier mobility and a low threshold voltage can be obtained by using the mixture as a gate dielectric. This work aims to exploit Nd-Ti oxynitrides with various contents as gate dielectrics for pentacene OTFTs, with the goal of obtaining high device performances in terms of high carrier mobility and small threshold voltage.

2. Materials and Methods

Initially, silicon wafers (n-type, <100>, 0.005 Ω·cm) were cleaned by the standard RCA (Radio Corporation of America) method: (step 1) dipped in 5% hydrofluoric acid for 15 s, (step 2) boiled in deionized water:NH4OH:H2O2 (5:1:1) at 80 °C for 10 min, and (step 3) boiled in deionized water:HCl:H2O2 (5:1:1) at 80 °C for 10 min. Then, the wafers were dipped in 5% HF acid again for removal of native oxide. As a gate dielectric, pure Nd oxynitride and Nd-Ti oxynitride films with thicknesses of around 50 nm were then deposited by a sputterer (Denton Vacuum LLC Discovery 635, Moorestown, NJ, USA) on the wafers in an ambient of 30/6/3-sccm Ar/O2/N2. During the sputtering, the DC/RF powers for the Ti/Nd targets were set as 0 W/45 W, 10 W/45 W, 20 W/45 W and 30 W/45 W, respectively, denoted as samples A, B, C and D. Next step was annealing all the samples at 200 °C in N2 for 20 min. This was followed by deposition of 45-nm pentacene (99% purity, purchased from Luminescence Technology Corp, New Taipei City, Taiwan.) on the dielectrics by a thermal evaporator (Angstrom Engineering Nexdep, Kitchener, ON, Canada), where the deposition rate and pressure were fixed at around 1.2 nm/min and 5.3 × 10−6 torr, respectively. Finally, 100-nm source and drain electrodes were formed by thermally evaporating gold through a shadow mask on the pentacene film, obtaining a 100-μm-width and 40-μm-length channel. To investigate the capacitance-voltage characteristics of the gate dielectrics, dummy samples for capacitors were also cleaned by the RCA method and then received the dielectric deposition simultaneously with the TFT samples. Then, the Al electrode was thermally evaporated on these dummy samples to form capacitors with an Al/dielectric/n + Si structure, where UV lithography and lift-off method were used. An HP 4284A precision LCR meter was used for capacitor measurement, and the current-voltage curves of the OTFTs were characterized by an HP 4145B semiconductor parameter analyzer. A Wvase 32 ellipsometer was used to measure the dielectric thickness. The schematics of device structures are shown in Figure 1, and all the samples were measured in the air at room temperature.

3. Results and Discussion

Figure 2 shows the surface morphology of the gate dielectric films, which can greatly influence the performance of the OTFTs. As reflected by the root-mean-squared (RMS) values of surface roughness, the pure Nd oxynitride of sample A has the roughest surface (RMS = 7.98 nm). This rough dielectric surface should be attributed to the strong moisture absorption of Nd oxynitride as proved by X-ray photoelectron spectroscopy (XPS) for O1s spectrum in previous work [17], where the peak intensity of Nd-OH bonds was strong for pure Nd oxide but was reduced by doping the oxide with another element. Localized moisture absorption on the oxide surface causes its non-uniform expansion and thus its roughness. By fixing the sputtering power of the Nd target at 45 W and raising that of the Ti target to increase the Ti content in the dielectric, the dielectric surface roughness is obviously reduced with rising Ti content from sample A to sample D, indicating the suppressed hygroscopicity of the dielectric by the Ti incorporation, which is similar to the past works based on La oxide and Nd oxide [17,18]. The surface morphology of the pentacene films grown on the dielectrics is shown in Figure 3. Raising the Ti content in the gate dielectric, the pentacene grains become more uniform and larger due to fewer nucleation sites on smoother dielectric for pentacene growth, thus increasing the sizes of the overlying pentacene grains [19].
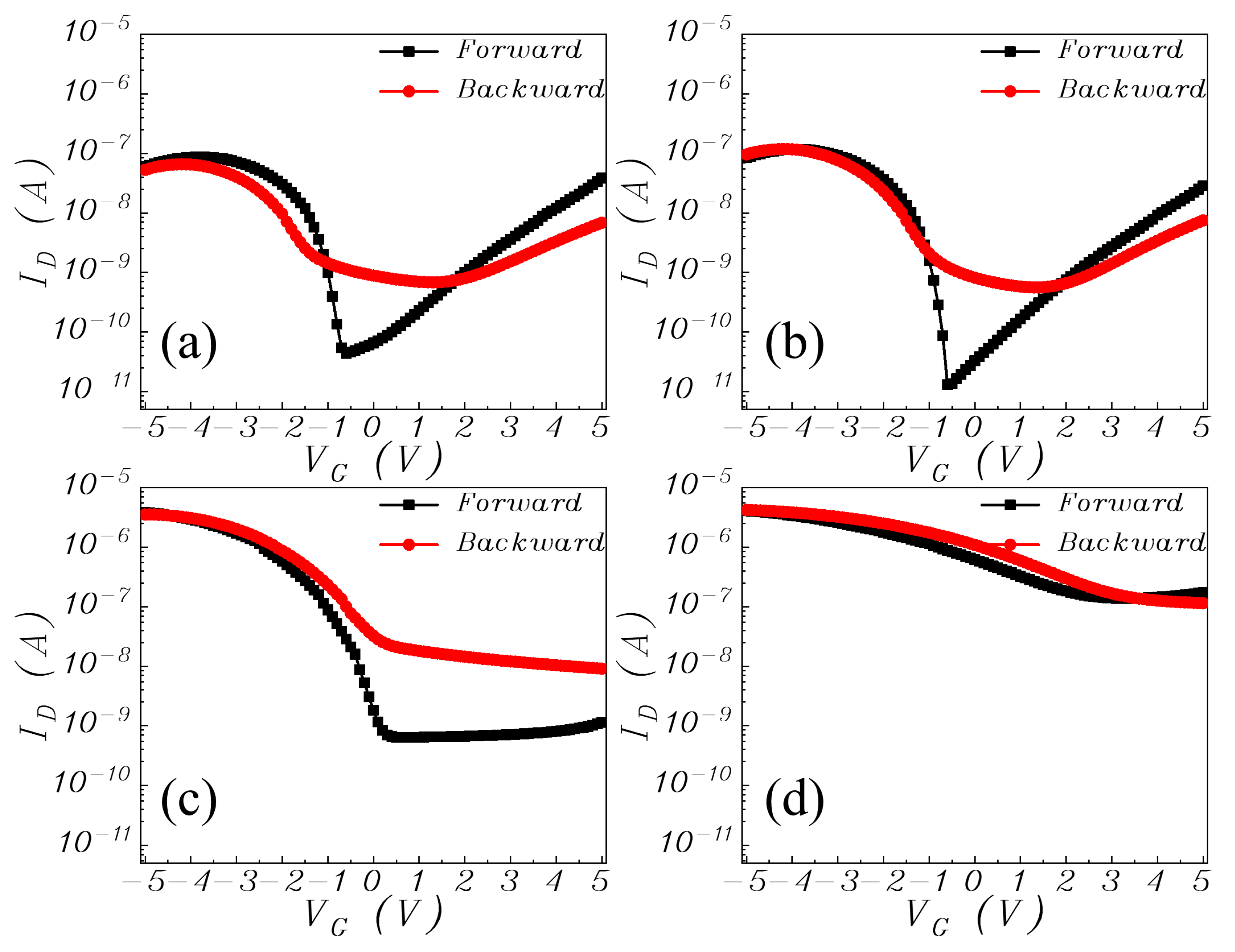
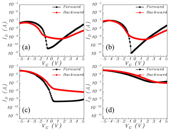
Figure 4 displays the transfer characteristics of the samples measured at a drain-to-source voltage (VDS) of −5 V. The transfer hysteresis is obtained by sweeping the gate voltage from +5 V to −5 V (forward) and then reversely (backward). The difference between the threshold voltage VT of the backward sweep and that of the forward sweep is used to define hysteresis ΔVT, which is ascribed to charge trapping at/near the channel and dielectric interfaces. In Figure 4, negative ΔVT is observed for sample A, resulting from OH ions formed by the high hygroscopicity of Nd2O3 at/near the pentacene/dielectric interface [20]. These OH ions can act as donor-like traps, and during the forward sweep, capture the holes in the pentacene layer to become positively, thus producing an electric field opposite to the applied gate field [21]. Therefore, the VT negatively shifts in the ensuing backward sweep. The hysteresis is reduced for sample B, which should be due to suppressed moisture absorption of the dielectric by the Ti doping. Furthermore, the hysteresis decreases for sample B and further becomes positive for sample C and sample D, which can be ascribed to the fact that Ti doping can improve the moisture resistance of the gate dielectric and so suppress the generation of donor-like traps while inducing acceptor-like traps [16]. As previously investigated by XPS, one origin of acceptor-like traps should be the Ti-induced oxygen vacancies, which can raise the binding energy of Ti2p in the XPS spectrum because they are usually considered positively-charged [22,23]. When injected from the gate electrode, electrons can be captured by these acceptor-like traps, which become negatively charged to produce an electric field parallel to the applied gate field. Therefore, the charged traps can enhance the gate-oxide field to produce a positive shift for VT.
The carrier mobility (µ) can be extracted from the saturation regime of p-type OTFT [24,25]:
I d = W C o x μ 2 L ( V G V T ) 2
μ = 2 L W C o x ( I d V G ) 2
where VG is the applied gate voltage; Cox is the dielectric capacitance per unit area; W and L are the channel width and channel length, respectively.
The subthreshold swing (SS) and corresponding trap density (Nt) can be expressed as the following formulas [26,27]:
S S = V G ( l o g 10 I D )
N t = C o x e ( e × S S k T × l n 10 1 )
Extracted from their transfer characteristics, the key parameters of the samples are listed in Table 1, which are based on the averages of around 10 devices for each sample. The mobility is firstly improved with rising Ti content in the gate dielectric from sample A to sample C. This improvement should be due to the suppressed dielectric hygroscopicity and thus reduced dielectric surface roughness induced by the Ti doping (see Figure 2), which weakens the surface-roughness scattering [28,29]. Moreover, carriers can also be scattered when moving across pentacene grain boundaries, named grain-boundary scattering [24,30]. With a smoother dielectric surface, the size of overlying pentacene grains increases obviously, as depicted in Figure 3, contributing to less grain-boundary scattering from sample A to sample C. Owing to the suppressed scatterings from both surface roughness and grain boundary, sample C has the highest mobility although its SS and Nt are slightly higher. However, the mobility is then reduced for sample D with excessive Ti content. As reflected by the trap density calculated from the extracted subthreshold swing in Table 1, excessive Ti can induce more undesirable oxide defects (possibly including oxygen vacancies and dangling bonds) to act as traps and ions at/near the interface between pentacene and gate dielectric, generating severe Coulomb scattering [31]. In summary, the carrier mobility can be degraded by larger dielectric roughness and more oxide defects generated from excessive Nd and Ti contents, respectively. Therefore, the highest mobility is achieved for sample C with appropriate Ti content. Figure 5 shows the carrier-mobility distribution where bar color and bar height represent mobility range and device quantity, respectively, thus statistically supporting the mobility trend with Ti content.
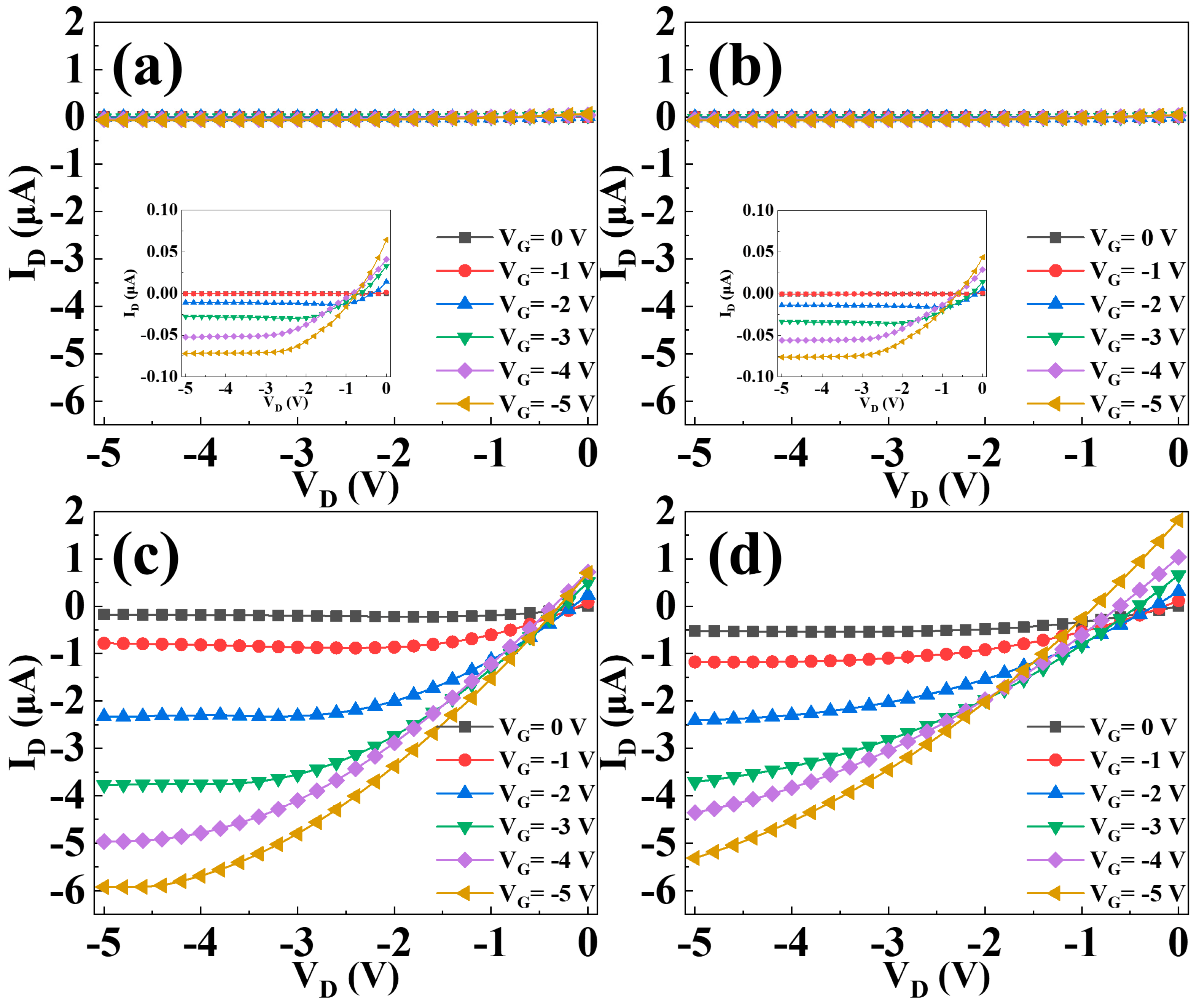
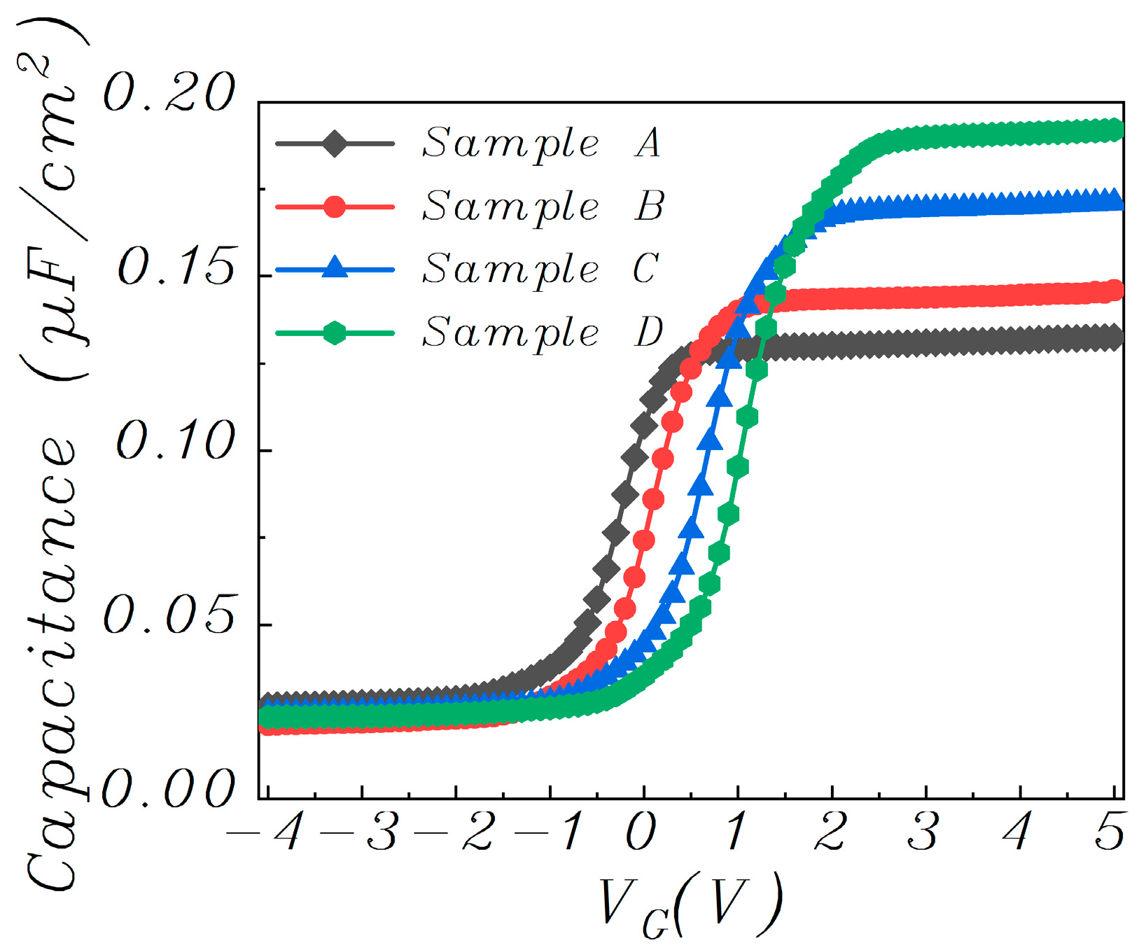
As shown in Figure 6, the capacitance-voltage (C-V) characteristics are obtained by sweeping the gate voltages of the capacitors with a structure of Al/dielectric/n + Si from ‒4 V to 5 V. The C-V curve shifts positively from sample A to sample D, which corresponds to a transition of dominance from donor-like trap to acceptor-like trap in the gate dielectric due to its increasing Ti content. Moreover, the Cox and resultant k values of the gate dielectric rise with increasing Ti content due to the higher k value of TiO than NdO. As a result, the magnitude of the threshold voltage is reduced from sample A to sample C. Strangely, sample D shows a positive threshold voltage for p-type pentacene channel, which should be the result of more negative charges induced by excessive Ti, as supported by the dielectric–charge density extracted from the CV characteristics listed in Table 1. The negative oxide charges can turn on the device even without an externally applied voltage. The leakage current of the gate dielectric can be reflected by the drain current (under VD = VS = 0 V) in the output characteristics shown in Figure 7. The largest gate-dielectric leakage of sample D should originate from the highest Ti content in its dielectric because (1) Ti incorporation can generate traps in the dielectric as supported by the highest Nt of sample D in Table 1; and (2) Ti oxide has a smaller band gap (~3.4 eV) than Nd oxide (~5.0 eV). In [32], the Nd-Ti oxynitrides were deposited simultaneously with those in this work, but were annealed at a higher temperature of 400 °C. The pentacene OTFTs with these Nd-Ti oxynitrides as gate dielectrics also showed the highest mobility for the sample with Ti sputtered at 20 W (see Figure 8). Interestingly, though higher annealing temperature normally improves the quality of the gate-dielectric/semiconductor interface to result in higher mobility, NdTiON annealed at 400 °C gives the OTFT lower carrier mobility (0.8 cm2/V·s) than that annealed at 200 °C (1.7 cm2/V·s). This should originate from the chemical reaction at the remote Si-gate/gate-dielectric interface, which is affected by the annealing temperature. Higher annealing temperature increases the chemical reaction rate to produce a thicker interlayer, which reduces the gate screening effect on the remote phonon scattering to degrade the carrier mobility, which has been investigated for various lanthanide-based high-k gate dielectrics (including LaTiON and NdTaON) for OTFTs [33,34].

4. Conclusions

Using Nd-Ti oxynitrides with different Ti contents as gate dielectrics, pentacene OTFTs have been fabricated at a low temperature of 200 °C. The oxynitrides are obtained by co-sputtering Ti and Nd targets at variable DC power and fixed RF power, respectively. The surface roughness of the NdTiON film is reduced with increasing Ti content to produce larger overlying pentacene grains, which should be due to the reduced hygroscopicity of the gate dielectric. The improved qualities of NdTiON and pentacene contribute to the smallest threshold voltage (−0.71 V), and the highest carrier mobility (1.70 cm2/V·s) for the sample with the Ti target sputtered at 20 W for the gate dielectric. This sample also shows much higher mobility than its counterpart processed at a higher temperature of 400 °C (0.8 cm2/V·s) because its thinner gate-dielectric/gate-electrode interlayer can provide stronger screening on the remote phonon scattering by the gate electrode. However, numerous acceptor-like traps are induced by excessive Ti sputtered at 30 W, thus reducing the carrier mobility and increasing the VT hysteresis. Moreover, owing to the high-k value of the gate dielectric, the threshold voltage of the sample can be smaller than 0.8 V, implying its high potential to lower the power consumption of future OTFTs.

Author Contributions

P.-T.L. and W.-M.T. initialized, conceived and supervised the project. Y.-X.M. fabricated and measured all OTFTs and wrote the manuscript. All authors discussed the results and implications. All authors have read and agreed to the published version of the manuscript.

Funding

This research was funded by National Natural Science Foundation of China, grant number 62101044.

Institutional Review Board Statement

Not applicable.

Informed Consent Statement

Not applicable.

Data Availability Statement

Data available in a publicly accessible repository.

Acknowledgments

The authors would like to thank D. Ma for his help. The authors would like to also thank Nanotechnology Research Laboratory of the University of Hong Kong.

Conflicts of Interest

The authors declare no conflict of interest.

References

  1. Gelinck, G.; Heremans, P.; Nomoto, K.; Anthopoulos, T.D. Organic transistors in optical displays and microelectronic applications. Adv. Mater. 2010, 22, 3778–3798. [Google Scholar] [CrossRef] [PubMed]
  2. Kraft, U.; Sejfic, M.; Kang, M.J.; Takimiya, K.; Zaki, T.; Letzkus, F.; Burghartz, J.N.; Weber, E.; Klauk, H. Flexible low-voltage organic complementary circuits: Finding the optimum combination of semiconductors and monolayer gate dielectrics. Adv. Mater. 2015, 27, 207–214. [Google Scholar] [CrossRef] [PubMed]
  3. Lee, K.S.; Smith, T.J.; Dickey, K.C.; Yoo, J.E.; Stevenson, K.J.; Loo, Y.L. High resolution characterization of pentacene/polyaniline interfaces in thin-film transistors. Adv. Funct. Mater. 2006, 16, 2409–2414. [Google Scholar] [CrossRef]
  4. Schon, J.H.; Batlogg, B. Trapping in organic field-effect transistors. J. Appl. Phys. 2001, 89, 336–341. [Google Scholar] [CrossRef]
  5. Klauk, H.; Halik, M.; Zschieschang, U.; Schmid, G.; Radik, W. High-mobility polymer gate dielectric pentacene thin film transistors. J. Appl. Phys. 2002, 92, 5259–5263. [Google Scholar] [CrossRef]
  6. Kumar, B.; Kaushik, B.K.; Negi, Y.S. Organic thin film transistors: Structures, models, materials, fabrication, and applications: A review. Polym. Rev. 2014, 54, 33–111. [Google Scholar] [CrossRef]
  7. Roh, J.; Kang, C.M.; Kwak, J.; Lee, C.; Jung, B.J. Overcoming tradeoff between mobility and bias stability in organic field-effect transistors according to the self-assembled monolayer chain lengths. Appl. Phys. Lett. 2014, 104, 173301. [Google Scholar] [CrossRef]
  8. Lu, Y.X.; Lee, W.H.; Lee, H.S.; Jang, Y.; Cho, K. Low-voltage organic transistors with titanium oxide/polystyrene bilayer dielectrics. Appl. Phys. Lett. 2009, 94, 113303. [Google Scholar] [CrossRef] [Green Version]
  9. Mistry, K.; Allen, C.; Auth, C.; Beattie, B.; Bergstrom, D.; Bost, M.; Brazier, M.; Buehler, M.; Cappellani, A.; Chau, R.; et al. A 45nm logic technology with high-k+metal gate transistors, strained silicon, 9 Cu interconnect layers, 193nm dry patterning, and 100% Pb-free packaging. In Proceedings of the 2007 International Electron Device Meeting (IEDM), Washington, DC, USA, 10–12 December 2007; pp. 247–250. [Google Scholar]
  10. Xiong, K.; Robertson, J. Point defects in HfO2 high k gate oxide. Microelectron. Eng. 2005, 80, 408–411. [Google Scholar] [CrossRef]
  11. Kim, J.; Lim, S.H.; Kim, Y.S. Solution-based TiO2-polymer composite dielectric for low operating voltage OTFTs. J. Am. Chem. Soc. 2010, 132, 14721–14723. [Google Scholar] [CrossRef]
  12. Barbora, L.; Singh, R.; Shroti, N.; Verma, A. Synthesis and characterization of neodymium oxide modified nafion membrane for direct alcohol fuel cells. Mater. Chem. Phys. 2010, 122, 211–216. [Google Scholar] [CrossRef]
  13. Chun, J.; Reuvekamp, P.G.; Chen, D.; Lin, C.; Kremer, R.K. Promising high-k dielectric permittivity of pyrochlore-type crystals of Nd2Hf2O7. J. Mater. Chem. C 2015, 3, 491–494. [Google Scholar] [CrossRef]
  14. Lu, N.; Li, H.J.; Peterson, J.J.; Kwong, D.L. HfTiAlO dielectric as an alternative high-k gate dielectric for the next generation of complementary metal-oxide-semiconductor devices. Appl. Phys. Lett. 2007, 90, 082911. [Google Scholar] [CrossRef]
  15. Reddy, K.M.; Manorama, S.V.; Reddy, A.R. Bandgap studies on anatase titanium dioxide nanoparticles. Mater. Chem. Phys. 2002, 78, 239–245. [Google Scholar] [CrossRef]
  16. Xu, H.X.; Xu, J.P.; Li, C.X.; Chan, C.J.; Lai, P.T. Impacts of Ti on electrical properties of Ge metal-oxide-semiconductor capacitors with ultrathin high-K LaTiON gate dielectric. Appl. Phys. A 2010, 99, 903–906. [Google Scholar] [CrossRef] [Green Version]
  17. Ma, Y.X.; Tang, W.M.; Han, C.Y.; Lai, P.T. High-performance pentacene organic thin-film transistor by using Nd2O3 gate dielectric doped with Nb. Phys. Status Solidi A 2018, 215, 1700609. [Google Scholar] [CrossRef]
  18. Han, C.Y.; Tang, W.M.; Lai, P.T. High-mobility pentacene organic thin-film transistor with LaxNb(1-x)Oy gate dielectric fabricated on vacuum tape. IEEE Trans. Electron. Devices 2017, 64, 1716–1722. [Google Scholar] [CrossRef]
  19. Voigt, M.; Pflaum, J.; Sokolowski, M. Growth morphologies and charge carrier mobilities of pentacene organic field effect transistors with RF sputterred aluminium oxide gate insulators on ITO glass. Phys. Status Solidi A 2008, 205, 449–460. [Google Scholar] [CrossRef]
  20. Al-Sehemi, A.G.; Al-Melfi, M.A.M.; Irfan, A. Electronic, optical, and charge transfer properties of donor–bridge–acceptor hydrazone sensitizers. J. Struct. Chem. 2013, 24, 499–506. [Google Scholar] [CrossRef]
  21. Lim, K.H.; Lee, J.; Huh, J.E.; Park, J.; Lee, J.H.; Lee, S.E.; Kim, Y.S. A systematic study on effects of precursors and solvents for optimization of solution-processed oxide semiconductor thin-film transistors. J. Mater. Chem. C 2017, 5, 7768–7776. [Google Scholar] [CrossRef]
  22. Ma, Y.X.; Han, C.Y.; Tang, W.M.; Lai, P.T. High-performance pentacene OTFT by incorporating Ti in LaON gate dielectric. Appl. Phys. Lett. 2017, 111, 3501. [Google Scholar] [CrossRef]
  23. Bajus, P.S.; Illas, F.; Pacchioni, G.; Parmigiani, F. Mechanisms responsible for chemical shifts of core-level binding energies and their relationship to chemical bonding. J. Electron. Spectrosc. Relat. Phenom. 1999, 100, 215–236. [Google Scholar] [CrossRef]
  24. Verlaak, S.; Arkhipov, V.; Heremans, P. Modeling of Transport In Polycrystalline Organic Semiconductor Films. Appl. Phys. Lett. 2003, 82, 745. [Google Scholar] [CrossRef]
  25. Horowitz, G. Organic Field-Effect Transistors. Adv. Mater. 1998, 10, 365–377. [Google Scholar] [CrossRef]
  26. Salahuddin, S.; Datta, S. Can the subthreshold swing in a classical FET be lowered below 60 mV/decade. In Proceedings of the 2018 IEEE International Electron Devices Meeting, San Francisco, CA, USA, 1–5 December 2018; pp. 1–4. [Google Scholar]
  27. Kalb, W.L.; Batlogg, B. Calculating the trap density of states in organic field-effect transistors from experiment: A comparison of different methods. Phys. Rev. B 2010, 81, 035327. [Google Scholar] [CrossRef] [Green Version]
  28. Fritz, S.E.; Kelley, T.W.; Frisbie, C.D. Effect of dielectric roughness on performance of pentacene TFTs and restoration of performance with a polymeric smoothing layer. J. Phys. Chem. B 2005, 109, 10574–10577. [Google Scholar] [CrossRef]
  29. Shtein, M.; Mapel, J.; Benziger, J.B.; Forrest, S.R. Effects of film morphology and gate dielectric surface preparation on the electrical characteristics of organic-vapor-phase-deposited pentacene thin film transistors. App. Phys. Lett. 2002, 81, 268–270. [Google Scholar] [CrossRef]
  30. Chen, J.; Tee, C.K.; Shtein, M.; Anthony, J.; Martin, D.C. Grain-boundary-limited charge transport in solution-processed 6, 13 bis(tri-isopropylsilylethynyl) pentacene thin film transistors. J. Appl. Phys. 2008, 103, 114513. [Google Scholar] [CrossRef]
  31. Godlewski, S.; Szymonski, M. Adsorption and self-assembly of large polycyclic molecules on the surfaces of TiO2 single crystals. Int. J. Mol. Sci. 2013, 14, 2946–2966. [Google Scholar] [CrossRef] [Green Version]
  32. Ma, Y.X.; Liu, L.N.; Tang, W.M.; Lai, P.T. Improved performance of pentacene OTFT by incorporating Ti in NdON gate dielectric. In Proceedings of the 2017 International Conference on Electron Devices and Solid-State Circuits (EDSSC), Hsinchu, Taiwan, 18–20 October 2017. [Google Scholar]
  33. Ma, Y.X.; Tang, W.M.; Lai, P.T. Reduced screening of remote phonon scattering in thin-film transistors caused by gate-electrode/gate-dielectric interlayer. Appl. Phys. Lett. 2020, 117, 141601. [Google Scholar] [CrossRef]
  34. Ma, Y.X.; Tang, W.M.; Lai, P.T. Effects of a gate-electrode/gate-dielectric interlayer on carrier mobility for pentacene organic thin-film transistors. IEEE Electron. Device Lett. 2018, 39, 1516–1519. [Google Scholar] [CrossRef]
Figure 1. Device cross-section: (a) OTFT, and (b) capacitor.
Figure 1. Device cross-section: (a) OTFT, and (b) capacitor.
Materials 15 02255 g001
Figure 2. 3D Atomic Force Microscopy (AFM) height-profile images of gate dielectric films with increasing Ti content: (a) sample A, (b) sample B, (c) sample C, and (d) sample D.
Figure 2. 3D Atomic Force Microscopy (AFM) height-profile images of gate dielectric films with increasing Ti content: (a) sample A, (b) sample B, (c) sample C, and (d) sample D.
Materials 15 02255 g002
Figure 3. 2D AFM images (3 μm × 3 μm) of pentacene films evaporated on the gate dielectrics with rising Ti content: (a) sample A, (b) sample B, (c) sample C, and (d) sample D.
Figure 3. 2D AFM images (3 μm × 3 μm) of pentacene films evaporated on the gate dielectrics with rising Ti content: (a) sample A, (b) sample B, (c) sample C, and (d) sample D.
Materials 15 02255 g003
Figure 4. Transfer characteristics of the OTFTs with increasing Ti content in gate dielectric: (a) sample A, (b) sample B, (c) sample C, and (d) sample D.
Figure 4. Transfer characteristics of the OTFTs with increasing Ti content in gate dielectric: (a) sample A, (b) sample B, (c) sample C, and (d) sample D.
Materials 15 02255 g004
Figure 5. Carrier-mobility distribution for pentacene OTFTs with increasing Ti content in gate dielectric.
Figure 5. Carrier-mobility distribution for pentacene OTFTs with increasing Ti content in gate dielectric.
Materials 15 02255 g005
Figure 6. Capacitance-voltage characteristics of the capacitors with increasing Ti content in dielectric from Sample A to Sample D.
Figure 6. Capacitance-voltage characteristics of the capacitors with increasing Ti content in dielectric from Sample A to Sample D.
Materials 15 02255 g006
Figure 7. Output characteristics of the OTFTs with increasing Ti content in gate dielectric: (a) sample A, (b) sample B, (c) sample C, and (d) sample D.
Figure 7. Output characteristics of the OTFTs with increasing Ti content in gate dielectric: (a) sample A, (b) sample B, (c) sample C, and (d) sample D.
Materials 15 02255 g007
Figure 8. Carrier-mobility comparison for OTFTs with gate dielectrics annealed at two temperatures.
Figure 8. Carrier-mobility comparison for OTFTs with gate dielectrics annealed at two temperatures.
Materials 15 02255 g008
Table 1. Main electrical parameters of OTFTs with increasing Ti content in gate dielectric.
Table 1. Main electrical parameters of OTFTs with increasing Ti content in gate dielectric.
SampleABCD
RF Sputtering Power of Nd45 W
DC Sputtering Power of Ti0 W10 W20 W30 W
μ (cm2/V·s)0.150.201.700.40
VT (V)−0.81−0.75−0.712.1
hysteresis (V)−0.36−0.230.331.0
SS (V/dec)0.250.160.303.1
Nt (cm−2eV−1)2.6 × 10121.5 × 10124.1 × 10126.1 × 1013
on/off ratio2.0 × 1031.0 × 1046.5 × 1033.7 × 101
Vfb (V)−0.65−0.280.190.58
Qox2.7 × 1011−3.7 × 1010−5.5 × 1011−1.1 × 1012
Cox (μF/cm2)0.1320.1460.1710.191
k value7.78.69.710.2
tox (nm)51.452.150.347.5
RMS dielectric roughness (nm)7.982.210.360.35
Publisher’s Note: MDPI stays neutral with regard to jurisdictional claims in published maps and institutional affiliations.

Share and Cite

MDPI and ACS Style

Ma, Y.-X.; Lai, P.-T.; Tang, W.-M. Low-Temperature-Processed High-Performance Pentacene OTFTs with Optimal Nd-Ti Oxynitride Mixture as Gate Dielectric. Materials 2022, 15, 2255. https://doi.org/10.3390/ma15062255

AMA Style

Ma Y-X, Lai P-T, Tang W-M. Low-Temperature-Processed High-Performance Pentacene OTFTs with Optimal Nd-Ti Oxynitride Mixture as Gate Dielectric. Materials. 2022; 15(6):2255. https://doi.org/10.3390/ma15062255

Chicago/Turabian Style

Ma, Yuan-Xiao, Pui-To Lai, and Wing-Man Tang. 2022. "Low-Temperature-Processed High-Performance Pentacene OTFTs with Optimal Nd-Ti Oxynitride Mixture as Gate Dielectric" Materials 15, no. 6: 2255. https://doi.org/10.3390/ma15062255

APA Style

Ma, Y.-X., Lai, P.-T., & Tang, W.-M. (2022). Low-Temperature-Processed High-Performance Pentacene OTFTs with Optimal Nd-Ti Oxynitride Mixture as Gate Dielectric. Materials, 15(6), 2255. https://doi.org/10.3390/ma15062255

Note that from the first issue of 2016, this journal uses article numbers instead of page numbers. See further details here.

Article Metrics

Back to TopTop