Enhanced Magnetostrain in a <0 0 1>A-Textured Ni44.5Co4.9Mn37.5In13.1 Alloy through Superelastic Training
Abstract
:1. Introduction
2. Materials and Methods
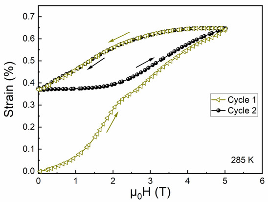
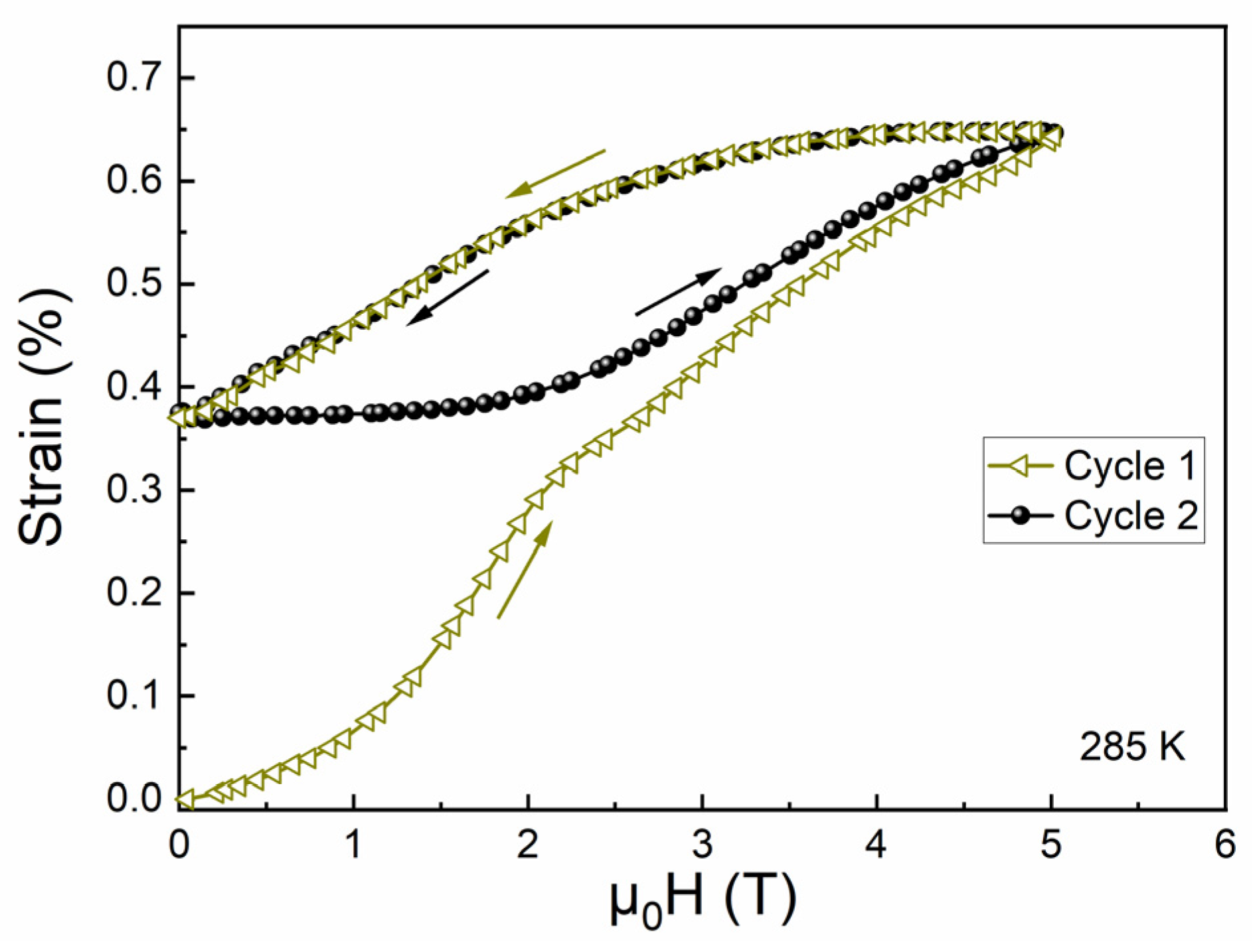
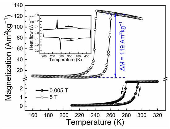
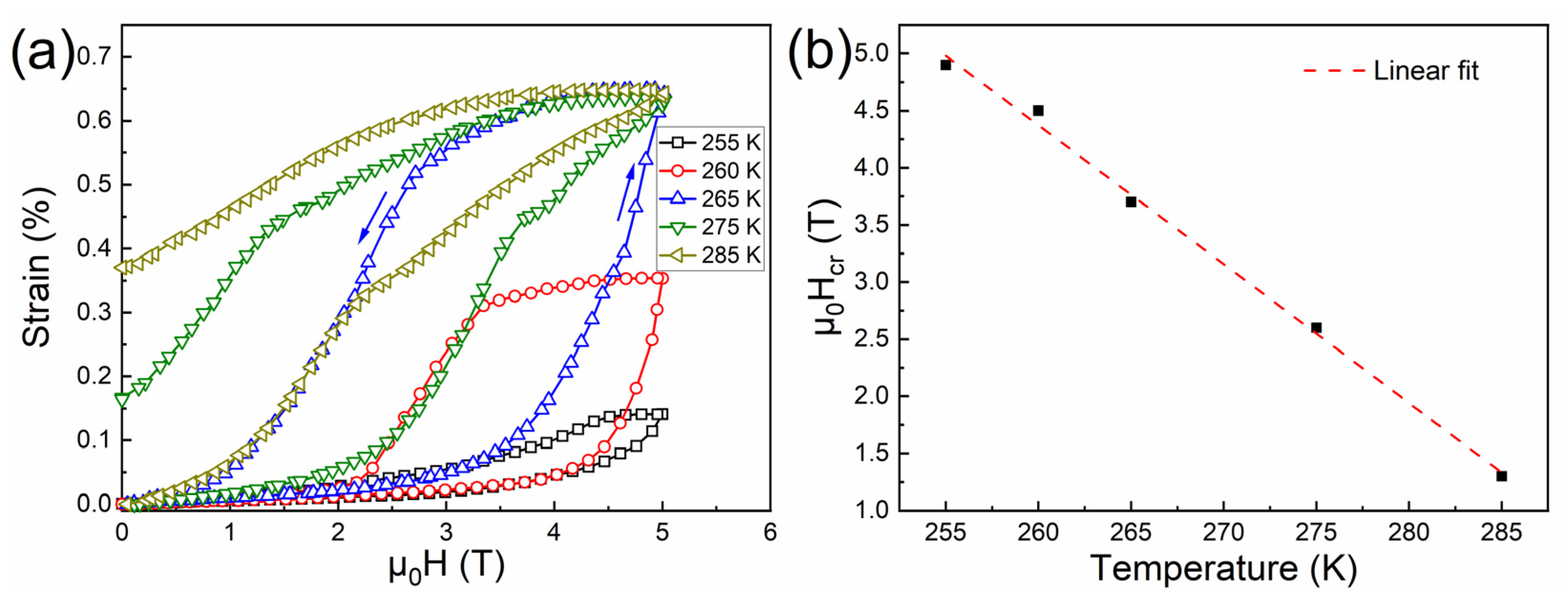
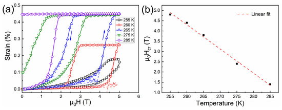
3. Results and Discussion
4. Conclusions
Author Contributions
Funding
Institutional Review Board Statement
Informed Consent Statement
Data Availability Statement
Conflicts of Interest
References
- Kainuma, R.; Imano, Y.; Ito, W.; Sutou, Y.; Morito, H.; Okamoto, S.; Kitakami, O.; Oikawa, K.; Fujita, A.; Kanomata, T.; et al. Magnetic-field-induced shape recovery by reverse phase transformation. Nature 2006, 439, 957–960. [Google Scholar] [CrossRef] [PubMed]
- Liu, J.; Aksoy, S.; Scheerbaum, N.; Acet, M.; Gutfleisch, O. Large magnetostrain in polycrystalline Ni–Mn–In–Co. Appl. Phys. Lett. 2009, 95, 232515. [Google Scholar] [CrossRef]
- Karaca, H.E.; Karaman, I.; Basaran, B.; Ren, Y.; Chumlyakov, Y.I.; Maier, H.J. Magnetic field-induced phase transformation in NiMnCoIn magnetic shape-memory alloys—A new actuation mechanism with large work output. Adv. Funct. Mater. 2009, 19, 983–998. [Google Scholar] [CrossRef]
- Monroe, J.A.; Karaman, I.; Basaran, B.; Ito, W.; Umetsu, R.Y.; Kainuma, R.; Koyama, K.; Chumlyakov, Y.I. Direct measurement of large reversible magnetic-field-induced strain in Ni–Co–Mn–In metamagnetic shape memory alloys. Acta Mater. 2012, 60, 6883–6891. [Google Scholar] [CrossRef]
- Li, Z.; Jing, C.; Zhang, H.L.; Yu, D.H.; Chen, L.; Kang, B.J.; Cao, S.X.; Zhang, J.C. A large and reproducible metamagnetic shape memory effect in polycrystalline Ni45Co5Mn37In13 Heusler alloy. J. Appl. Phys. 2010, 108, 113908. [Google Scholar] [CrossRef]
- Krenke, T.; Duman, E.; Acet, M.; Wassermann, E.F.; Moya, X.; Mañosa, L.; Planes, A.; Suard, E.; Ouladdiaf, B. Magnetic superelasticity and inverse magnetocaloric effect in Ni-Mn-In. Phys. Rev. B 2007, 75, 104414. [Google Scholar] [CrossRef] [Green Version]
- Krenke, T.; Duman, E.; Acet, M.; Wassermann, E.F.; Moya, X.; Mañosa, L.; Planes, A. Inverse magnetocaloric effect in ferromagnetic Ni–Mn–Sn alloys. Nat. Mater. 2005, 4, 450–454. [Google Scholar] [CrossRef] [Green Version]
- Li, Z.B.; Li, Z.Z.; Yang, J.J.; Yang, B.; Zhao, X.; Zuo, L. Large room temperature adiabatic temperature variation in a Ni40Co8Mn42Sn10 polycrystalline alloy. Intermetallics 2018, 100, 57–62. [Google Scholar] [CrossRef]
- Li, Z.B.; Jiang, Y.W.; Li, Z.Z.; Sánchez Valdés, C.F.; Sánchez Llamazares, J.L.; Yang, B.; Zhang, Y.D.; Esling, C.; Zhao, X.; Zuo, L. Phase transition and magnetocaloric properties of Mn50Ni42−xCoxSn8 (0 ≤ x ≤ 10) melt-spun ribbons. IUCrJ 2018, 5, 54–66. [Google Scholar] [CrossRef] [Green Version]
- Li, Z.B.; Dong, S.Y.; Li, Z.Z.; Yang, B.; Liu, F.; Sánchez Valdés, C.F.; Sánchez Llamazares, J.L.; Zhang, Y.D.; Esling, C.; Zhao, X.; et al. Giant low-field magnetocaloric effect in Si alloyed Ni-Co-Mn-In alloys. Scr. Mater. 2019, 159, 113–118. [Google Scholar] [CrossRef]
- Cong, D.Y.; Huang, L.; Hardy, V.; Bourgault, D.; Sun, X.M.; Nie, Z.H.; Wang, M.G.; Ren, Y.; Entel, P.; Wang, Y.D. Low-field-actuated giant magnetocaloric effect and excellent mechanical properties in a NiMn-based multiferroic alloy. Acta Mater. 2018, 146, 142–151. [Google Scholar] [CrossRef]
- Wang, L.M.; Li, Z.B.; Yang, J.J.; Yang, B.; Zhao, X.; Zuo, L. Large refrigeration capacity in a Ni48Co1Mn37In14 polycrystalline alloy with low thermal hysteresis. Intermetallics 2020, 125, 106888. [Google Scholar] [CrossRef]
- Zuo, L.; Li, Z.B.; Yan, H.L.; Yang, B.; Zhao, X. Texturation and functional behaviors of polycrystalline Ni-Mn-X phase transformation alloys. Acta Metall. Sin. 2021, 57, 1396–1415. [Google Scholar] [CrossRef]
- Li, Z.Z.; Li, Z.B.; Li, D.; Yang, J.J.; Yang, B.; Hu, Y.; Wang, D.H.; Zhang, Y.D.; Esling, C.; Zhao, X.; et al. Achieving a broad refrigeration temperature region through the combination of successive caloric effects in a multiferroic Ni50Mn35In15 alloy. Acta Mater. 2020, 192, 52–59. [Google Scholar] [CrossRef]
- Qu, Y.H.; Cong, D.Y.; Li, S.H.; Gui, W.Y.; Nie, Z.H.; Zhang, M.H.; Ren, Y.; Wang, Y.D. Simultaneously achieved large reversible elastocaloric and magnetocaloric effects and their coupling in a magnetic shape memory alloy. Acta Mater. 2018, 151, 41–55. [Google Scholar] [CrossRef]
- Huang, Y.J.; Hu, Q.D.; Bruno, N.M.; Chen, J.H.; Karaman, I.; Ross, J.H., Jr.; Li, J.G. Giant elastocaloric effect in directionally solidified Ni-Mn-In magnetic shape memory alloy. Scr. Mater. 2015, 105, 42–45. [Google Scholar] [CrossRef]
- Shen, Y.; Sun, W.; Wei, Z.Y.; Shen, Q.; Zhang, Y.F.; Liu, J. Orientation dependent elastocaloric effect in directionally solidified Ni-Mn-Sn alloys. Scr. Mater. 2019, 163, 14–18. [Google Scholar] [CrossRef]
- Zhang, G.Y.; Li, D.; Liu, C.; Li, Z.B.; Yang, B.; Yan, H.L.; Zhao, X.; Zuo, L. Giant low-field actuated caloric effects in a textured Ni43Mn47Sn10 alloy. Scr. Mater. 2021, 201, 113947. [Google Scholar] [CrossRef]
- Yu, S.Y.; Ma, L.; Liu, G.D.; Liu, Z.H.; Chen, J.L.; Cao, Z.X.; Wu, G.H.; Zhang, B.; Zhang, X.X. Magnetic field-induced martensitic transformation and large magnetoresistance in NiCoMnSb alloys. Appl. Phys. Lett. 2007, 90, 242501. [Google Scholar] [CrossRef]
- Li, Z.B.; Hu, W.; Chen, F.H.; Zhang, M.G.; Li, Z.Z.; Yang, B.; Zhao, X.; Zuo, L. Large magnetoresistance in a directionally solidified Ni44.5Co5.1Mn37.1In13.3 magnetic shape memory alloy. J. Magn. Magn. Mater. 2018, 452, 249–252. [Google Scholar] [CrossRef]
- Li, Z.B.; Yang, J.J.; Li, D.; Li, Z.Z.; Yang, B.; Yan, H.L.; Sánchez Valdés, C.F.; Sánchez Llamazares, J.L.; Zhang, Y.D.; Esling, C.; et al. Tuning the reversible magnetocaloric effect in Ni–Mn–In-based alloys through Co and Cu co-doping. Adv. Electron. Mater. 2019, 5, 1800845. [Google Scholar] [CrossRef]
- Yang, J.J.; Li, Z.B.; Yang, B.; Yan, H.L.; Cong, D.Y.; Zhao, X.; Zuo, L. Effects of Co and Si co-doping on magnetostructural transformation and magnetocaloric effect in Ni-Mn-Sn based alloys. J. Alloys Compd. 2021, 892, 162190. [Google Scholar] [CrossRef]
- Li, Z.B.; Li, D.; Chen, J.X.; Yang, B.; Zou, N.F.; Zhang, Y.D.; Esling, C.; Zhao, X.; Zuo, L. Crossing twin of Ni–Mn–Ga 7M martensite induced by thermo-mechanical treatment. Acta Mater. 2020, 185, 28–37. [Google Scholar] [CrossRef]
- Panchenko, E.Y.; Timofeeva, E.E.; Larchenkova, N.G.; Chumlyakov, Y.I.; Tagiltsev, A.I.; Maier, H.J.; Gerstein, G. Two-way shape memory effect under multi-cycles in [001]-oriented Ni49Fe18Ga27Co6 single crystal. Mater. Sci. Eng. A 2017, 706, 95–103. [Google Scholar] [CrossRef]
- Timofeeva, E.E.; Panchenko, E.Y.; Chumlyakov, Y.I.; Vetoshkina, N.G.; Maier, H.J. One-way and two-way shape memory effect in ferromagnetic NiFeGaCo single crystals. Mater. Sci. Eng. A 2015, 640, 465–470. [Google Scholar] [CrossRef]
- Li, Z.Z.; Li, Z.B.; Yang, B.; He, X.J.; Gan, W.M.; Zhang, Y.L.; Li, Z.; Zhang, Y.D.; Esling, C.; Zhao, X.; et al. Over 2% magnetic-field-induced strain in a polycrystalline Ni50Mn28.5Ga21.5 alloy prepared by directional solidification. Mater. Sci. Eng. A 2020, 780, 139170. [Google Scholar] [CrossRef]
- Li, D.; Li, Z.B.; Zhang, X.L.; Liu, C.; Zhang, G.Y.; Yang, J.J.; Yang, B.; Yan, H.L.; Cong, D.Y.; Zhao, X.; et al. Giant elastocaloric effect in Ni-Mn-Ga-based alloys boosted by a large lattice volume change upon the martensitic transformation. ACS Appl. Mater. Interfaces 2022, 14, 1505–1518. [Google Scholar] [CrossRef]
- Wang, H.L.; Li, D.; Zhang, G.Y.; Li, Z.B.; Yang, B.; Yan, H.L.; Cong, D.Y.; Esling, C.; Zhao, X.; Zuo, L. Highly sensitive elastocaloric response in a directionally solidified Ni50Mn33In15.5Cu1.5 alloy with strong <001>A preferred orientation. Intermetallics 2022, 140, 107379. [Google Scholar] [CrossRef]
- Zhang, G.Y.; Li, Z.B.; Yang, J.J.; Yang, B.; Wang, D.H.; Zhang, Y.D.; Esling, C.; Hou, L.; Li, X.; Zhao, X.; et al. Giant elastocaloric effect in a Mn-rich Ni44Mn46Sn10 directionally solidified alloy. Appl. Phys. Lett. 2020, 116, 023902. [Google Scholar] [CrossRef]
- Li, Z.Z.; Li, Z.B.; Li, D.; Yang, J.J.; Yang, B.; Wang, D.H.; Hou, L.; Li, X.; Zhang, Y.D.; Esling, C.; et al. Influence of austenite ferromagnetism on the elastocaloric effect in a Ni44.9Co4.9Mn36.9In13.3 metamagnetic shape memory alloy. Appl. Phys. Lett. 2019, 115, 083903. [Google Scholar] [CrossRef]
- Gottschall, T.; Skokov, K.P.; Frincu, B.; Gutfleisch, O. Large reversible magnetocaloric effect in Ni-Mn-In-Co. Appl. Phys. Lett. 2015, 106, 021901. [Google Scholar] [CrossRef]
- Li, Z.; Jing, C.; Zhang, H.L.; Qiao, Y.F.; Cao, S.X.; Zhang, J.C.; Sun, L. A considerable metamagnetic shape memory effect without any prestrain in Ni46Cu4Mn38Sn12 Heusler alloy. J. Appl. Phys. 2009, 106, 083908. [Google Scholar] [CrossRef]
- Lázpita, P.; Sasmaz, M.; Cesari, E.; Barandiarán, J.M.; Gutiérrez, J.; Chernenko, V.A. Martensitic transformation and magnetic field induced effects in Ni42Co8Mn39Sn11 metamagnetic shape memory alloy. Acta Mater. 2016, 109, 170–176. [Google Scholar] [CrossRef]
- Huang, X.M.; Zhao, Y.; Yan, H.L.; Jia, N.; Yang, B.; Li, Z.B.; Zhang, Y.D.; Esling, C.; Zhao, X.; Zuo, L. Giant magnetoresistance, magnetostrain and magnetocaloric effects in a Cu-doped <001>-textured Ni45Co5Mn36In13.2Cu0.8 polycrystalline alloy. J. Alloy. Compd. 2021, 889, 161652. [Google Scholar] [CrossRef]
- Sun, X.M.; Cong, D.Y.; Li, Z.; Zhang, Y.L.; Chen, Z.; Ren, Y.; Liss, K.D.; Ma, Z.Y.; Li, R.G.; Qu, Y.H.; et al. Manipulation of magnetostructural transition and realization of prominent multifunctional magnetoresponsive properties in NiCoMnIn alloys. Phys. Rev. Mater. 2019, 3, 034404. [Google Scholar] [CrossRef]
- Li, Z.; Xu, K.; Yang, H.M.; Zhang, Y.L.; Jing, C. Magnetostrain and magnetocaloric effect by field-induced reverse martensitic transformation for Pd-doped Ni45Co5Mn37In13 Heusler alloy. J. Appl. Phys. 2015, 117, 223904. [Google Scholar] [CrossRef]
- Lázpita, P.; Sasmaz, M.; Barandiarán, J.M.; Chernenko, V.A. Effect of Fe doping and magnetic field on martensitic transformation of Mn-Ni(Fe)-Sn metamagnetic shape memory alloys. Acta Mater. 2018, 155, 95–103. [Google Scholar] [CrossRef]
- Li, Z.Z.; Li, Z.B.; Yang, J.J.; Li, D.; Yang, B.; Zhang, Y.D.; Esling, C.; Zhao, X.; Zuo, L. Large magnetic entropy change and magnetostrain in a directionally solidified Ni45.7Co4.2Mn37.3Sb12.8 alloy. J. Magn. Magn. Mater. 2020, 500, 166379. [Google Scholar] [CrossRef]
- Hua, H.; Wang, J.; Jiang, C.; Xu, H. Large reversible magnetostrain of a Ni30Cu8Co12Mn37Ga13 single crystal. Scr. Mater. 2016, 124, 142–145. [Google Scholar] [CrossRef]
- Yu, S.Y.; Gu, A.J.; Kang, S.S.; Hu, S.J.; Li, Z.C.; Ye, S.T.; Li, H.H.; Sun, J.J.; Hao, R.R. Large reversible magnetostrain in polycrystalline Ni50Mn33In17−xGax. J. Alloys Compd. 2016, 681, 1–5. [Google Scholar] [CrossRef]







| Actual Composition (at %) | ||||
|---|---|---|---|---|
| Ni | Co | Mn | In | |
| Region 1 | 44.4 | 5.2 | 37.4 | 13.1 |
| Region 2 | 44.5 | 4.7 | 37.6 | 13.2 |
| Region 3 | 44.6 | 4.8 | 37.5 | 13.1 |
| Averaged | 44.5 | 4.9 | 37.5 | 13.1 |
| Alloys | Sample Status | Magnetic Field (T) | Magnetostrain (%) | Ref. |
|---|---|---|---|---|
| Ni44.5Co4.9Mn37.5In13.1 | Polycrystal | 5 | 0.65 | This work |
| Ni46Cu4Mn38Sn12 | Polycrystal | 5 | 0.12 | [32] |
| Ni50Mn34In16 | Polycrystal | 5 | 0.14 | [6] |
| Ni42Co8Mn39Sn11 | Polycrystal | 12 | 0.13 | [33] |
| Ni45Co5Mn36In13.2Cu0.8 | Polycrystal | 5 | 0.24 | [34] |
| Ni45.2Mn36.7In13.0Co5.1 | Polycrystal | 5 | 0.25 | [2] |
| Ni49Co3Mn34In14 | Polycrystal | 3 | 0.26 | [35] |
| Ni45Co4.5Pd0.5Mn37In13 | Polycrystal | 3 | 0.30 | [36] |
| Mn49Ni38Fe4Sn9 | Polycrystal | 12 | 0.30 | [37] |
| Ni45Co5Mn37In13 | Polycrystal | 9 | 0.40 | [5] |
| Ni45.7Co4.2Mn37.3Sb12.8 | Polycrystal | 7 | 0.42 | [38] |
| Ni30Cu8Co12Mn37Ga13 | Single crystal | 8 | 0.47 | [39] |
| Ni50Mn33In13Ga4 | Polycrystal | 7 | 0.49 | [40] |
Publisher’s Note: MDPI stays neutral with regard to jurisdictional claims in published maps and institutional affiliations. |
© 2022 by the authors. Licensee MDPI, Basel, Switzerland. This article is an open access article distributed under the terms and conditions of the Creative Commons Attribution (CC BY) license (https://creativecommons.org/licenses/by/4.0/).
Share and Cite
Guo, L.; Li, Z.; Chen, J.; Yang, B.; Yan, H.; Zhao, X.; Esling, C.; Zuo, L. Enhanced Magnetostrain in a <0 0 1>A-Textured Ni44.5Co4.9Mn37.5In13.1 Alloy through Superelastic Training. Materials 2022, 15, 2072. https://doi.org/10.3390/ma15062072
Guo L, Li Z, Chen J, Yang B, Yan H, Zhao X, Esling C, Zuo L. Enhanced Magnetostrain in a <0 0 1>A-Textured Ni44.5Co4.9Mn37.5In13.1 Alloy through Superelastic Training. Materials. 2022; 15(6):2072. https://doi.org/10.3390/ma15062072
Chicago/Turabian StyleGuo, Lanyu, Zongbin Li, Jiaxing Chen, Bo Yang, Haile Yan, Xiang Zhao, Claude Esling, and Liang Zuo. 2022. "Enhanced Magnetostrain in a <0 0 1>A-Textured Ni44.5Co4.9Mn37.5In13.1 Alloy through Superelastic Training" Materials 15, no. 6: 2072. https://doi.org/10.3390/ma15062072
APA StyleGuo, L., Li, Z., Chen, J., Yang, B., Yan, H., Zhao, X., Esling, C., & Zuo, L. (2022). Enhanced Magnetostrain in a <0 0 1>A-Textured Ni44.5Co4.9Mn37.5In13.1 Alloy through Superelastic Training. Materials, 15(6), 2072. https://doi.org/10.3390/ma15062072

