Simple Strategies to Modulate the pH-Responsiveness of Lignosulfonate-Based Delivery Systems
Abstract
:1. Introduction
2. Experimental
2.1. Materials
2.2. Synthesis of SLS Microcapsules (LMCs)
2.3. Characterization of LMCs
2.4. SLS Fractionation
2.5. Synthesis of Diveratryl Sebacate (DS)
2.6. Recovery and Characterization of Capsule-Forming and Unreacted SLS
2.7. Evaluation of the Amount of Encapsulated Limonene
2.8. Shelf Life Stability Test
2.9. pH Stability Test
3. Results and Discussion
3.1. Generation of LMCs from Pristine SLS
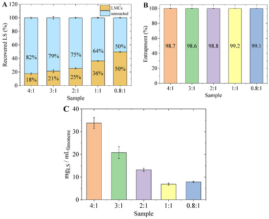
3.2. Factors Governing the Characteristics of LMCs
3.3. Modulation of the LMCs Features
3.4. Shelf Life and pH Responsive Behavior of LMCs
4. Conclusions
Supplementary Materials
Author Contributions
Funding
Institutional Review Board Statement
Informed Consent Statement
Data Availability Statement
Acknowledgments
Conflicts of Interest
References
- Bajwa, D.S.; Pourhashem, G.; Ullah, A.H.; Bajwa, S.G. A Concise Review of Current Lignin Production, Applications, Products and Their Environmental Impact. Ind. Crops Prod. 2019, 139, 111526. [Google Scholar] [CrossRef]
- Poursorkhabi, V.; Abdelwahab, M.A.; Misra, M.; Khalil, H.; Gharabaghi, B.; Mohanty, A.K. Processing, Carbonization, and Characterization of Lignin Based Electrospun Carbon Fibers: A Review. Front. Energy Res. 2020, 8, 208. [Google Scholar] [CrossRef]
- Collins, M.N.; Nechifor, M.; Tanasă, F.; Zănoagă, M.; McLoughlin, A.; Stróżyk, M.A.; Culebras, M.; Teacă, C.-A. Valorization of Lignin in Polymer and Composite Systems for Advanced Engineering Applications—A Review. Int. J. Biol. Macromol. 2019, 131, 828–849. [Google Scholar] [CrossRef] [PubMed]
- Gil-Chávez, J.; Gurikov, P.; Hu, X.; Meyer, R.; Reynolds, W.; Smirnova, I. Application of Novel and Technical Lignins in Food and Pharmaceutical Industries: Structure-Function Relationship and Current Challenges. Biomass Conv. Bioref. 2021, 11, 2387–2403. [Google Scholar] [CrossRef]
- Cailotto, S.; Gigli, M.; Bonini, M.; Rigoni, F.; Crestini, C. Sustainable Strategies in the Synthesis of Lignin Nanoparticles for the Release of Active Compounds: A Comparison. ChemSusChem 2020, 13, 4759–4767. [Google Scholar] [CrossRef]
- Sameni, J.; Jaffer, S.A.; Tjong, J.; Sain, M. Advanced Applications for Lignin Micro- and Nano-Based Materials. Curr. For. Rep. 2020, 6, 159–171. [Google Scholar] [CrossRef]
- Gigli, M.; Crestini, C. Fractionation of Industrial Lignins: Opportunities and Challenges. Green Chem. 2020, 22, 4722–4746. [Google Scholar] [CrossRef]
- Sipponen, M.H.; Lange, H.; Crestini, C.; Henn, A.; Österberg, M. Lignin for Nano- and Microscaled Carrier Systems: Applications, Trends, and Challenges. ChemSusChem 2019, 12, 2039–2054. [Google Scholar] [CrossRef] [PubMed]
- Svinterikos, E.; Zuburtikudis, I.; Al-Marzouqi, M. Electrospun Lignin-Derived Carbon Micro- and Nanofibers: A Review on Precursors, Properties, and Applications. ACS Sustain. Chem. Eng. 2020, 8, 13868–13893. [Google Scholar] [CrossRef]
- Piombino, C.; Lange, H.; Sabuzi, F.; Galloni, P.; Conte, V.; Crestini, C. Lignosulfonate Microcapsules for Delivery and Controlled Release of Thymol and Derivatives. Molecules 2020, 25, 866. [Google Scholar] [CrossRef] [Green Version]
- Bartzoka, E.D.; Lange, H.; Thiel, K.; Crestini, C. Coordination Complexes and One-Step Assembly of Lignin for Versatile Nanocapsule Engineering. ACS Sustain. Chem. Eng. 2016, 4, 5194–5203. [Google Scholar] [CrossRef]
- Tortora, M.; Cavalieri, F.; Mosesso, P.; Ciaffardini, F.; Melone, F.; Crestini, C. Ultrasound Driven Assembly of Lignin into Microcapsules for Storage and Delivery of Hydrophobic Molecules. Biomacromolecules 2014, 15, 1634–1643. [Google Scholar] [CrossRef] [Green Version]
- Pang, Y.; Sun, Y.; Luo, Y.; Zhou, M.; Qiu, X.; Yi, C.; Lou, H. Preparation of Novel All-Lignin Microcapsules via Interfacial Cross-Linking of Pickering Emulsion. Ind. Crops Prod. 2021, 167, 113468. [Google Scholar] [CrossRef]
- Pang, Y.; Qin, Z.; Wang, S.; Yi, C.; Zhou, M.; Lou, H.; Qiu, X. Preparation and Application Performance of Lignin-Polyurea Composite Microcapsule with Controlled Release of Avermectin. Colloid Polym. Sci. 2020, 298, 1001–1012. [Google Scholar] [CrossRef]
- Zhou, Y.; Han, Y.; Li, G.; Chu, F. Effects of Lignin-Based Hollow Nanoparticle Structure on the Loading and Release Behavior of Doxorubicin. Materials 2019, 12, 1694. [Google Scholar] [CrossRef] [PubMed] [Green Version]
- Qiu, X.; Li, Y.; Qian, Y.; Wang, J.; Zhu, S. Long-Acting and Safe Sunscreens with Ultrahigh Sun Protection Factor via Natural Lignin Encapsulation and Synergy. ACS Appl. Bio. Mater. 2018, 1, 1276–1285. [Google Scholar] [CrossRef] [PubMed]
- Guerra, A.; Gaspar, A.R.; Contreras, S.; Lucia, L.A.; Crestini, C.; Argyropoulos, D.S. On the Propensity of Lignin to Associate: A Size Exclusion Chromatography Study with Lignin Derivatives Isolated from Different Plant Species. Phytochemistry 2007, 68, 2570–2583. [Google Scholar] [CrossRef]
- Vinardell, M.P.; Ugartondo, V.; Mitjans, M. Potential Applications of Antioxidant Lignins from Different Sources. Ind. Crops Prod. 2008, 27, 220–223. [Google Scholar] [CrossRef]
- Dong, X.; Dong, M.; Lu, Y.; Turley, A.; Jin, T.; Wu, C. Antimicrobial and Antioxidant Activities of Lignin from Residue of Corn Stover to Ethanol Production. Ind. Crops Prod. 2011, 34, 1629–1634. [Google Scholar] [CrossRef]
- Zongo, L.; Lange, H.; Crestini, C. A Study of the Effect of Kosmotropic and Chaotropic Ions on the Release Characteristics of Lignin Microcapsules under Stimuli-Responsive Conditions. ACS Omega 2019, 4, 6979–6993. [Google Scholar] [CrossRef] [Green Version]
- Ibáñez, M.D.; Sanchez-Ballester, N.M.; Blázquez, M.A. Encapsulated Limonene: A Pleasant Lemon-Like Aroma with Promising Application in the Agri-Food Industry. A Review. Molecules 2020, 25, 2598. [Google Scholar] [CrossRef]
- Sundararajan, C.; Falvey, D.E. C−O Bond Fragmentation of 4-Picolyl- and N-Methyl-4-Picolinium Esters Triggered by Photochemical Electron Transfer. J. Org. Chem. 2004, 69, 5547–5554. [Google Scholar] [CrossRef] [PubMed]
- Ashokkumar, M.; Lee, J.; Kentish, S.; Grieser, F. Bubbles in an Acoustic Field: An Overview. Ultrason. Sonochemistry 2007, 14, 470–475. [Google Scholar] [CrossRef] [PubMed]
- Ciriminna, R.; Lomeli-Rodriguez, M.; Carà, P.D.; Lopez-Sanchez, J.A.; Pagliaro, M. Limonene: A Versatile Chemical of the Bioeconomy. Chem. Commun. 2014, 50, 15288–15296. [Google Scholar] [CrossRef] [PubMed]
- Lao, L.L.; Venkatraman, S.S.; Peppas, N.A. A Novel Model and Experimental Analysis of Hydrophilic and Hydrophobic Agent Release from Biodegradable Polymers. J. Biomed. Mater. Res. Part A 2009, 90A, 1054–1065. [Google Scholar] [CrossRef]








| Sample | Mn | Mw/Mn | ||
|---|---|---|---|---|
| LMCs | Unreacted | LMCs | Unreacted | |
| SLS | 3000 | 6.3 | ||
| 4:1 | 11,400 | 2500 | 4.5 | 4.7 |
| 3:1 | 11,600 | 2700 | 4.8 | 4.8 |
| 2:1 | 15,200 | 2600 | 4.7 | 4.9 |
| 1:1 | 12,800 | 2300 | 4.6 | 4.6 |
| 0.8:1 | 8800 | 2200 | 4.6 | 4.3 |
| Sample | Mn | Mw/Mn | ||
|---|---|---|---|---|
| LMCs | Unreacted | LMCs | Unreacted | |
| SLS | 3000 | 6.3 | ||
| SLSHMW | 11,700 | 3.7 | ||
| SLSLMW | 1500 | 5.5 | ||
| 0.8HMW:1 | 13,500 | 7800 | 3.4 | 3.3 |
Publisher’s Note: MDPI stays neutral with regard to jurisdictional claims in published maps and institutional affiliations. |
© 2022 by the authors. Licensee MDPI, Basel, Switzerland. This article is an open access article distributed under the terms and conditions of the Creative Commons Attribution (CC BY) license (https://creativecommons.org/licenses/by/4.0/).
Share and Cite
Sgarzi, M.; Gigli, M.; Giuriato, C.; Crestini, C. Simple Strategies to Modulate the pH-Responsiveness of Lignosulfonate-Based Delivery Systems. Materials 2022, 15, 1857. https://doi.org/10.3390/ma15051857
Sgarzi M, Gigli M, Giuriato C, Crestini C. Simple Strategies to Modulate the pH-Responsiveness of Lignosulfonate-Based Delivery Systems. Materials. 2022; 15(5):1857. https://doi.org/10.3390/ma15051857
Chicago/Turabian StyleSgarzi, Massimo, Matteo Gigli, Charlotte Giuriato, and Claudia Crestini. 2022. "Simple Strategies to Modulate the pH-Responsiveness of Lignosulfonate-Based Delivery Systems" Materials 15, no. 5: 1857. https://doi.org/10.3390/ma15051857
APA StyleSgarzi, M., Gigli, M., Giuriato, C., & Crestini, C. (2022). Simple Strategies to Modulate the pH-Responsiveness of Lignosulfonate-Based Delivery Systems. Materials, 15(5), 1857. https://doi.org/10.3390/ma15051857

