Investigations Regarding the Addition of ZnO and Li2O-TiO2 to Phosphate-Tellurite Glasses: Structural, Chemical, and Mechanical Properties
Abstract
:1. Introduction
2. Materials and Methods
3. Results and Discussions
3.1. X-ray Diffraction
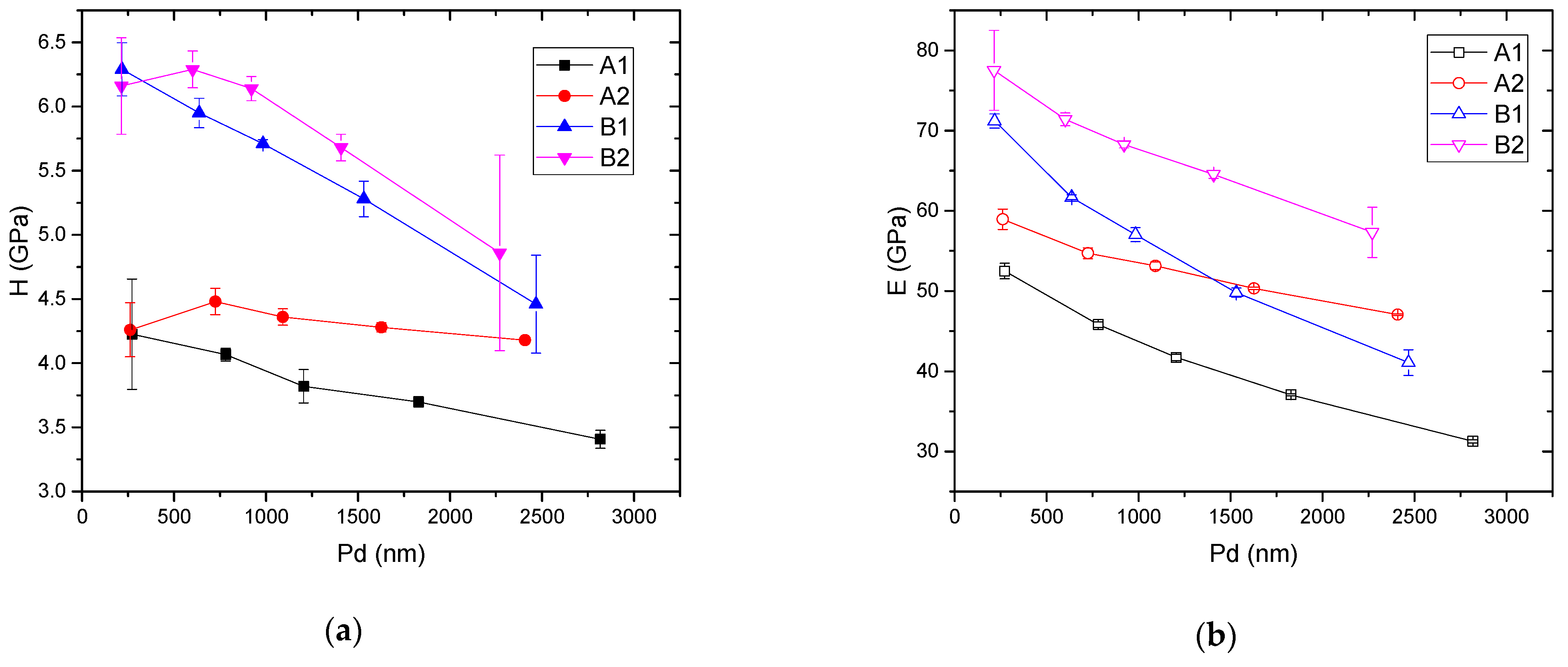
3.2. Hardness and Elastic Modulus
3.3. Fracture Toughness
3.4. Dilatometry Measurements
3.5. FESEM-EDX Measurements
4. Conclusions
Author Contributions
Funding
Institutional Review Board Statement
Informed Consent Statement
Data Availability Statement
Acknowledgments
Conflicts of Interest
References
- Jha, P.K.; Pandey, O.P.; Singh, K. FTIR spectral analysis and mechanical properties of sodium phosphate glass–ceramics. J. Mol. Struct. 2015, 1083, 278–285. [Google Scholar] [CrossRef]
- Allu, A.R.; Balaji, S.; Annapurna, K. Electrical and mechanical properties of Na2.8Ca0.1Al2Ga0.5P2.7O12 glass based electrolyte materials: Influence of Ag+ ion-exchange. J. Non-Cryst. Solids 2018, 498, 323–330. [Google Scholar] [CrossRef]
- Zhao, Y.; Zhou, Y.; Yang, J.; Li, Y.; Cheng, L.; Wang, K.; Sun, X.; Sun, C.; Qin, Z. Optimized structural and mechanical properties of borophosphate glass. Ceram. Int. 2020, 46, 9025–9029. [Google Scholar] [CrossRef]
- Ke, X.; Wang, Y.; Ren, G.; Yuan, C. Towards rational mechanical design of inorganic solid electrolytes for all-solid-state lithium ion batteries. Energy Storage Mater. 2020, 26, 313–324. [Google Scholar] [CrossRef]
- Ataalla, M.; Afify Ahmed, S.; Hassan, M.; Adam, A.M.; Milanova, M.; Piroeva, I. Humidity Sensing Properties of Tungsten Based Glass Crystalline Materials in the WO3-ZnO-La2O3-Al2O3 System. In Advanced Nanotechnologies for Detection and Defence against CBRN Agents-Part of NAPSB; Springer: Dordrecht, The Netherlands, 2018; pp. 417–425. [Google Scholar] [CrossRef]
- Boora, M.; Malik, S.; Kumar, V.; Bala, M.; Arora, S.; Rohilla, S.; Kumar, A.; Dalal, J. Investigation of structural and impedance spectroscopic properties of borate glasses with high Li+ concentration. Solid State Ion. 2021, 368, 115704. [Google Scholar] [CrossRef]
- Tijaria, M.; Sharma, Y.; Kumar, V.; Dahiya, S.; Dalal, J. Effect of Na2O on physical, structural and electrical properties of borate glasses. Matter. Today Proceed. 2021, 45, 3722–3725. [Google Scholar] [CrossRef]
- Sava, B.A.; Boroica, L.; Elisa, M.; Shikimaka, O.; Grabco, D.; Popa, M.; Barbos, Z.; Iordanescu, R.; Niculescu, A.M.; Kuncser, V.; et al. Bismuth and lead oxides codoped boron phosphate glasses for Faraday rotators. Ceram. Int. 2018, 44, 6016–6025. [Google Scholar] [CrossRef]
- Sglavo, V.M.; Mura, E.; Milanese, D.; Lousteau, J. Mechanical properties of phosphate glass optical fibers. Int. J. Appl. Glass Sci. 2014, 5, 57–64. [Google Scholar] [CrossRef]
- Grabco, D.Z.; Shikimaka, O.A.; Elisa, M.; Sava, B.A.; Boroica, L.; Pyrtsak, C.; Prisacaru, A.; Danitsa, Z.; Feraru, I.; Ursu, D. Features of the mechanical properties of phosphate glasses doped with rare earth elements under indentation. Surf. Eng. Appl. Electrochem. 2012, 48, 365–374. [Google Scholar] [CrossRef]
- Shikimaka, O.; Grabco, D.; Sava, B.A.; Elisa, M.; Boroica, L.; Harea, E.; Pyrtsac, C.; Prisacaru, A.; Barbos, Z. Densification contribution as a function of strain rate under indentation of terbium-doped aluminophosphate glass. J. Mater. Sci. 2016, 51, 1409–1417. [Google Scholar] [CrossRef]
- Mukherjee, D.P.; Das, S.K. The influence of TiO2 content on the properties of glass ceramics: Crystallization, microstructure and hardness. Ceram. Int. 2014, 40, 4127–4134. [Google Scholar] [CrossRef]
- Zhou, Y.; Zheng, H.; Zhao, S.; Zhang, C.; Bai, W.; Sun, C.; Tong, Y.; Yang, J. Preparation, structural and mechanical characterization of ceria-added phosphate glasses. J. Non-Cryst. Solids 2021, 570, 120878. [Google Scholar] [CrossRef]
- Zhang, W.; Yu, J.; Cai, Y.; Jiang, G.; Huang, W.; Ji, F. Abrasion performance of phosphate laser glass in dry and humid air. J. Chin. Ceram. Soc. 2015, 43, 1008–1016. [Google Scholar] [CrossRef]
- Rao, G.V.; Shashikala, H.D. Optical, dielectric and mechanical properties of silver nanoparticle embedded calcium phosphate glass. J. Non-Cryst. Solids 2014, 402, 204–209. [Google Scholar] [CrossRef]
- Halimah, M.K.; Daud, W.M.; Sidek, H.A.A. Effect of AgI addition on elastic properties of quaternary tellurite glass systems. Chalcogenide Lett. 2010, 7, 613–620. [Google Scholar]
- Tafida, R.A.; Halimah, M.K.; Muhammad, F.D.; Chan, K.T.; Onimisi, M.Y.; Usman, A.; Hamzad, A.M.; Umar, S.A. Structural, optical and elastic properties of silver oxide incorporated zinc tellurite glass system doped with Sm3+ ions. Mater. Chem. Phys. 2020, 246, 122801. [Google Scholar] [CrossRef]
- Culea, E.N.; Pascut, P.; Pustan, M.; Tamas-Gavrea, D.R.; Pop, L.; Vida-Simiti, I. Effects of Eu:Ag codoping on structural, magnetic and mechanical properties of lead tellurite glass ceramics. J. Non-Cryst. Solids 2015, 408, 18–25. [Google Scholar] [CrossRef]
- Nazrin, S.N.; Halimah, M.K.; Muhammad, F.D.; Yip, J.S.; Hasnimulyati, L.; Faznny, M.F.; Hazlin, M.A.; Zaitizila, I. The effect of erbium oxide in physical and structural properties of zinc tellurite glass system. J. Non-Cryst. Solids 2018, 490, 35–43. [Google Scholar] [CrossRef]
- El-Moneim, A.A.; El-Mallawany, R. Analysis and prediction for elastic properties of quaternary tellurite Ag2O–V2O5–MoO3–TeO2 and WO3–B2O3–MgO–TeO2 glasses. J. Non-Cryst. Solids 2019, 522, 119580. [Google Scholar] [CrossRef]
- Elisa, M.; Boroica, L.; Sava, B.A.; Iordache, S.M.; Iordache, A.-M.; Vasiliu, I.C.; Stefan, R.C.; Galca, A.C.; Kuncser, V.; Eftimie, M. Synthesis and characterization of a titanium phosphate-tellurite glass for Faraday rotators. J. Am. Ceram. Soc. 2020, 103, 3978–3990. [Google Scholar] [CrossRef]
- Elisa, M.; Stefan, R.; Vasiliu, I.C.; Rusu, M.I.; Sava, B.A.; Boroica, L.; Sofronie, M.; Kuncser, V.; Galca, A.C.; Beldiceanu, A.; et al. Thermal, structural, magnetic and magneto-optical properties of dysprosium-doped phosphate glass. J. Non-Cryst. Solids 2019, 521, 119545. [Google Scholar] [CrossRef]
- Elisa, M.; Iordanescu, R.; Vasiliu, C.; Sava, B.A.; Boroica, L.; Valeanu, M.; Kuncser, V.; Galca, A.C.; Volceanov, A.; Eftimie, M.; et al. Magnetic and magneto-optical properties of Bi and Pb-containing aluminophosphate glass. J. Non-Cryst. Solids 2017, 465, 55–58. [Google Scholar] [CrossRef]
- Elisa, M.; Vasiliu, I.C.; Sava, B.A.; Boroica, L.; Filip, A.V.; Dinca, M.C.; Bartha, C. Phase and structural characterization of phosphate-tellurite crystalline materials. J. Optoelectron. Adv. Mater. 2021, 23, 257–263. [Google Scholar]
- Oliver, W.C.; Pharr, G.M. Measurement of hardness and Young’s modulus by instrumented indentation: Advances in understanding and refinements to methodology. J. Mater. Res. 2004, 19, 3. [Google Scholar] [CrossRef]
- Oliver, W.C.; Pharr, G.M. An improved technique for determining hardness and elastic modulus using load and displacement sensing indentation experiments. J. Mater. Res. 1992, 7, 1564–1583. [Google Scholar] [CrossRef]
- Palmqvist, S. A method to determine the toughness of brittle materials, especially hard metals. Jernkontorets Ann. 1957, 141, 303–307. [Google Scholar]
- Lawn, B.R.; Evans, A.G.; Marshall, D.B. Elastic/plastic indentation damage in ceramics: The median/radial crack system. J. Am. Ceram. Soc. 1980, 63, 574–581. [Google Scholar] [CrossRef]
- Anstis, G.R.; Chantikul, P.; Lawn, B.R.; Marshall, D.B. A critical evaluation of indentation techniques for measuring fracture toughness: I, Direct crack measurements. J. Am. Ceram. Soc. 1981, 64, 533–538. [Google Scholar] [CrossRef]
- Dukino, R.D.; Swain, M.V. Comparative measurement of indentation fracture toughness with Berkovich and Vickers indenters. J. Am. Ceram. Soc. 1992, 75, 3299–3304. [Google Scholar] [CrossRef]
- Laugier, M.T. Palmqvist indentation toughness in WC-Co composites. J. Mater. Sci. Lett. 1987, 6, 897–900. [Google Scholar] [CrossRef]
- Ouchterlony, F. Stress intensity factors for the expansion loaded star crack. Eng. Fract. Mech. 1976, 8, 447–448. [Google Scholar] [CrossRef] [Green Version]
- Lamuta, C.; Cupolillo, A.; Politano, A.; Aliev, Z.S.; Babanly, M.B.; Chulkov, E.V.; Pagnotta, L. Indentation fracture toughness of single-crystal Bi2Te3 topological insulators. Nano Res. 2016, 9, 1032–1042. [Google Scholar] [CrossRef]
- Aboulfotoh, N.; Elbashar, Y.; Ibrahem, M.; Elokr, M. Characterization of copper doped phosphate glasses for optical applications. Ceram. Int. 2014, 40, 10395–10399. [Google Scholar] [CrossRef]
- Omrani, R.O.; Krimi, S.; Videau, J.J.; Khattech, I.; El Jazouli, A.; Jemal, M. Structural and thermochemical study of Na2O–ZnO–P2O5 glasses. J. Non-Cryst. Solids 2014, 390, 5–12. [Google Scholar] [CrossRef]
- Matori, K.A.; Sayyed, M.I.; Sidek, H.A.A.; Zaid, M.H.M.; Singh, V.P. Comprehensive study on physical, elastic and shielding properties of lead zinc phosphate glasses. J. Non-Cryst. Solids 2017, 457, 97–103. [Google Scholar] [CrossRef]
- Matori, K.A.; Zaid, M.H.M.; Quah, H.J.; Aziz, S.H.A.; Wahab, Z.A.; Ghazali, M.S.M. Studying the effect of ZnO on physical and elastic properties of (ZnO)x(P2O5)1−x glasses using nondestructive ultrasonic method. Adv. Mater. Sci. Eng. 2015, 2015, 596361. [Google Scholar] [CrossRef] [Green Version]
- Khafagy, A.H.; El-Adawy, A.A.; Higazy, A.A.; El-Rabaie, S.; Eid, A.S. Studies of some mechanical and optical properties of: (70-x)TeO2 + 15B2O3 + 15P2O5 + xLi2O glasses. J. Non-Cryst. Solids 2008, 354, 3152–3158. [Google Scholar] [CrossRef]
- Sapian, I.N.; Yusof, M.I.M.; Yahya, A.K. Elastic and structural properties of (95-x)TeO2-5La2O3-xTiO2 lanthanum tellurite glass system. Chalcogenide Lett. 2014, 11, 471–484. [Google Scholar]
- Kiani, A.; Lakhkar, N.J.; Salih, V.; Smith, M.E.; Hanna, J.V.; Newport, R.J.; Pickup, M.; Knowles, J.C. Titanium-containing bioactive phosphate glasses. Philos. Trans. R. Soc. A 2012, 370, 1352–1375. [Google Scholar] [CrossRef]
- Leyland, A.; Matthews, A. On the significance of the H/E ratio in wear control: A nanocomposite coating approach to optimised tribological behavior. Wear 2000, 246, 1–11. [Google Scholar] [CrossRef]
- Postolnyi, B.O.; Konarski, P.; Komarov, F.F.; Sobol, O.V.; Kyrychenko, O.V.; Shevchuk, D.S. Study of Elemental and Structural Phase Composition of Multilayer Nanostructured TiN / MoN Coatings, their Physical and Mechanical Properties. J. Nano-Electron. Phys. 2014, 6, 04016. [Google Scholar]
- Kolaklieva, L.; Kakanakov, R.; Stefanov, P.; Kovacheva, D.; Atanasova, G.; Russev, S.; Chitanov, V.; Cholakova, T.; Bahchedjiev, C. Mechanical and structural properties of nanocomposite CrAlSiN–AlSiN coating with periodically modulated composition. Coatings 2020, 10, 41. [Google Scholar] [CrossRef] [Green Version]
- Elisa, M.; Stefan, R.C.; Vasiliu, I.C.; Iordache, S.M.; Iordache, A.-M.; Sava, B.A.; Boroica, L.; Dinca, M.C.; Filip, A.V.; Galca, A.C.; et al. A new zinc phosphate-tellurite glass for magneto-optical applications. Nanomaterials 2020, 10, 1875. [Google Scholar] [CrossRef] [PubMed]
- Kaky, K.M.; Lakshminarayana, G.; Baki, S.O.; Kityk, I.V.; Taufiq-Yap, Y.H.; Mahdi, M.A. Structural, thermal and optical absorption features of heavy metal oxides doped tellurite rich glasses. Results Phys. 2017, 7, 166–174. [Google Scholar] [CrossRef]








| Glass Code | Molar Composition | Preliminary Heat Treatment Parameters | Melting and Refining Parameters | Annealing Parameters | Glass Aspect |
|---|---|---|---|---|---|
| A1 | 45ZnO 10Al2O3 40P2O5 5TeO2 | Homogenization & evaporation at 200 °C, for 1 h, followed by heat treatment at 700 °C, for 7 h | Melting at 1100 °C, for 30 min, followed by refining at 1125 °C, for 30 min | Plateau at 390 °C, for 30 min, followed by gradually quenching (Tg = 404 °C) | Transparent mauve reddish color |
| A2 | 40ZnO 10Al2O3 40P2O5 10TeO2 | Homogenization & evaporation at 200 °C, for 0.5 h, followed by heat treatment at 700 °C, for 2.5 h | Melting at 1100 °C, for 30 min, followed by refining at 1125 °C, for 30 min | Plateau at 400 °C, for 30 min, followed by gradually quenching (Tg = 429 °C) | Transparent dark reddish color |
| B1 | 35Li2O 10Al2O3 5TiO2 45P2O5 5TeO2 | Homogenization & evaporation at 200 °C, for 25 min, followed by heat treatment at 700 °C, for 2.5 h | Melting at 1225 °C, 30 min, followed by refining at 1250 °C, for 30 min | Plateau at 420 °C, for 0.5 h, followed by gradually quenching (Tg = 419 °C) | Transparent dark reddish—brown color |
| B2 | 30Li2O 10Al2O3 5TiO2 45P2O5 10TeO2 | Homogenization & evaporation at 200 °C, for 60 min, followed by heat treatment at 240 °C, for 2 h, and 700 °C, for 3 h | Melting at 1200 °C, for 30 min, followed by refining at 1225 °C, for 30 min | Plateau at 400 °C, for 30 min, followed by gradually quenching (Tg = 427 °C) | Transparent dark brown color |
| Glass Code | A1 | A2 | B1 | B2 | ||||||||||||
|---|---|---|---|---|---|---|---|---|---|---|---|---|---|---|---|---|
| Load | H | E | H/E | H3/E2 | H | E | H/E | H3/E2 | H | E | H/E | H3/E2 | H | E | H/E | H3/E2 |
| 10 mN | 4.22 | 52.49 | 0.080 | 0.027 | 4.25 | 58.94 | 0.072 | 0.022 | 6.28 | 71.19 | 0.088 | 0.049 | 6.16 | 77.51 | 0.080 | 0.039 |
| 50 mN | 4.06 | 45.81 | 0.089 | 0.032 | 4.47 | 54.70 | 0.082 | 0.030 | 5.95 | 61.67 | 0.096 | 0.055 | 6.28 | 71.41 | 0.088 | 0.049 |
| 100 mN | 3.82 | 41.71 | 0.092 | 0.032 | 4.35 | 53.14 | 0.082 | 0.029 | 5.70 | 57.02 | 0.100 | 0.057 | 6.14 | 68.26 | 0.090 | 0.050 |
| 200 mN | 3.69 | 37.05 | 0.100 | 0.037 | 4.28 | 50.32 | 0.085 | 0.031 | 5.28 | 49.80 | 0.106 | 0.059 | 5.68 | 64.53 | 0.088 | 0.044 |
| 400 mN | 3.40 | 31.26 | 0.109 | 0.040 | 4.18 | 47.05 | 0.089 | 0.033 | 4.46 | 41.07 | 0.109 | 0.053 | 4.86 | 57.31 | 0.085 | 0.035 |
| 500 mN | 3.45 | 29.97 | 0.115 | 0.046 | 4.15 | 45.65 | 0.091 | 0.034 | 4.96 | 40.82 | 0.122 | 0.073 | 5.66 | 59.49 | 0.095 | 0.051 |
| Glass Code | a (m) × 10−8 | l (m) × 10−8 | c (m) × 10−8 | Kc (MPa m1/2) |
|---|---|---|---|---|
| A1 | 1000 | 693 | 1693 | 0.594 |
| A2 | 1018 | 840 | 1858 | 0.554 |
| B1 | 894 | 920 | 1814 | 0.424 |
| B2 | 879 | 1055 | 1934 | 0.420 |
| Property/Glass Code | A1 | A2 | B1 | B2 |
|---|---|---|---|---|
| Strain point, TS | 403 | 403 | 391 | 394 |
| Glass transition temperature, Tg | 426 | 429 | 419 | 427 |
| Annealing point, TA | 441 | 437 | 426 | 436 |
| Softening point, TD | 448 | 453 | 439 | 446 |
| × 10−6 (K−1) | 6.86 | 6.56 | 11.67 | 11.95 |
| Glass Sample | Element | Nominal Elemental Composition (wt. %) | EDX Elemental Composition (wt. %) |
|---|---|---|---|
| A1 | Al | 4.85 | 4.27 |
| P | 22.25 | 14.05 | |
| Zn | 26.24 | 5.57 | |
| Te | 5.74 | 3.26 | |
| O | 40.92 | 72.85 | |
| Total | 100.00 | 100.00 | |
| A2 | O | 40.21 | 49.82 |
| Al | 4.68 | 3.53 | |
| P | 21.49 | 22.41 | |
| Te | 11.09 | 6.8 | |
| Zn | 22.53 | 17.44 | |
| Total | 100.00 | 100.00 | |
| B1 | Li | 5.07 | 5.07 |
| O | 51.35 | 56.32 | |
| Al | 5.59 | 4.46 | |
| P | 28.88 | 26.39 | |
| Ti | 2.48 | 2.89 | |
| Te | 6.63 | 4.87 | |
| Total | 100.00 | 100.00 | |
| B2 | Li | 4.07 | 4.07 |
| O | 48.88 | 46.33 | |
| Al | 5.24 | 6.89 | |
| P | 27.06 | 30.64 | |
| Ti | 2.33 | 2.39 | |
| Te | 12.42 | 9.68 | |
| Total | 100.00 | 100.00 |
Publisher’s Note: MDPI stays neutral with regard to jurisdictional claims in published maps and institutional affiliations. |
© 2022 by the authors. Licensee MDPI, Basel, Switzerland. This article is an open access article distributed under the terms and conditions of the Creative Commons Attribution (CC BY) license (https://creativecommons.org/licenses/by/4.0/).
Share and Cite
Elisa, M.; Iordache, S.-M.; Iordache, A.-M.; Stefan, C.R.; Vasiliu, I.C.; Cristea, D.; Ursutiu, D.; Samoila, C.; Sava, B.A.; Boroica, L.; et al. Investigations Regarding the Addition of ZnO and Li2O-TiO2 to Phosphate-Tellurite Glasses: Structural, Chemical, and Mechanical Properties. Materials 2022, 15, 1644. https://doi.org/10.3390/ma15051644
Elisa M, Iordache S-M, Iordache A-M, Stefan CR, Vasiliu IC, Cristea D, Ursutiu D, Samoila C, Sava BA, Boroica L, et al. Investigations Regarding the Addition of ZnO and Li2O-TiO2 to Phosphate-Tellurite Glasses: Structural, Chemical, and Mechanical Properties. Materials. 2022; 15(5):1644. https://doi.org/10.3390/ma15051644
Chicago/Turabian StyleElisa, Mihail, Stefan-Marian Iordache, Ana-Maria Iordache, Constantina Raluca Stefan, Ileana Cristina Vasiliu, Daniel Cristea, Doru Ursutiu, Cornel Samoila, Bogdan Alexandru Sava, Lucica Boroica, and et al. 2022. "Investigations Regarding the Addition of ZnO and Li2O-TiO2 to Phosphate-Tellurite Glasses: Structural, Chemical, and Mechanical Properties" Materials 15, no. 5: 1644. https://doi.org/10.3390/ma15051644
APA StyleElisa, M., Iordache, S.-M., Iordache, A.-M., Stefan, C. R., Vasiliu, I. C., Cristea, D., Ursutiu, D., Samoila, C., Sava, B. A., Boroica, L., Dinca, M. C., Filip, A. V., Eftimie, M., & Enculescu, M. (2022). Investigations Regarding the Addition of ZnO and Li2O-TiO2 to Phosphate-Tellurite Glasses: Structural, Chemical, and Mechanical Properties. Materials, 15(5), 1644. https://doi.org/10.3390/ma15051644

