Hydrothermal Separation of Titanium Vanadium and Chromium from a Pregnant Oxalic Acid Leachate
Abstract
:1. Introduction
2. Materials and Methods
2.1. Materials
2.2. Procedure
2.2.1. Hydrothermal Precipitation of Titanium
2.2.2. Extraction Separation of Vanadium and Chromium
2.2.3. Hydrothermal Precipitation of Vanadium and Chromium from Stripping Solution
3. Results and Discussion
3.1. Hydrothermal Precipitation of Titanium from the Pregnant Leachate
3.1.1. Influence of Reaction Temperature on Titanium Precipitation
3.1.2. Influence of Reaction Time on Titanium Precipitation
3.1.3. Characteristics of the Precipitated Titanium Oxide
3.2. Solvent Extraction of Vanadium and Chromium from the TFF
3.2.1. Mechanism Analysis of Extraction Process
3.2.2. Influence Factors of Extracting Process
3.2.3. Extraction McCabe–Thiele Graph of Vanadium
3.3. Stripping Vanadium and Chromium from LOP
3.3.1. Mechanism Analysis of Stripping Process
3.3.2. Influence Factors of the Stripping Process
3.3.3. Stripping McCabe–Thiele Graph of Vanadium
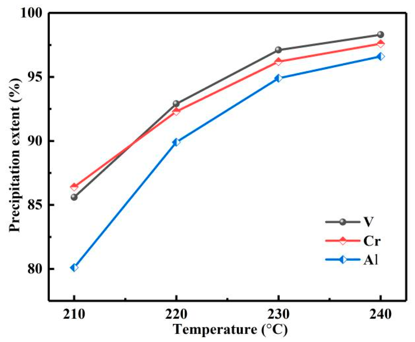
3.4. Hydrothermal Precipitation of Vanadium and Chromium
4. Conclusions
Author Contributions
Funding
Institutional Review Board Statement
Informed Consent Statement
Data Availability Statement
Conflicts of Interest
Abbreviations
| VS | vanadium slag |
| TFF | titanium-free filtrate |
| LOP | loaded organic phase |
| η | precipitation extent (%) |
| Cr | ion concentration in liquid before hydrothermal experiment (g/L) |
| Cf | ion concentration in liquid after hydrothermal experiment (g/L) |
| Vr | volume of liquid before hydrothermal experiment (L) |
| Vf | volume of liquid after hydrothermal experiment (L) |
| E | extraction extent (%) |
| C0 | ion concentration in extract (g/L) |
| C1 | ion concentration in raffinate (g/L) |
| S | stripping extent (%) |
| V′Aq. | volume of stripping solution (L) |
| VOrg. | volume of LOP (L) |
| C′Aq. | ion concentration in stripping solution (g/L) |
| COrg. | ion concentration in organic phase (g/L) |
References
- Xue, N.N.; Zhang, Y.M.; Huang, J.; Liu, T.; Wang, L.Y. Separation of impurities aluminum and iron during pressure acid leaching of vanadium from stone coal. J. Clean. Prod. 2017, 166, 1265–1273. [Google Scholar] [CrossRef]
- Fang, H.X.; Li, H.Y.; Xie, B. Effective Chromium Extraction from Chromium-containing Vanadium Slag by Sodium Roasting and Water Leaching. Isij Int. 2012, 52, 1958–1965. [Google Scholar] [CrossRef] [Green Version]
- Smirnov, L.A.; Kushnarev, A.V.; Fomichev, M.S.; Rovnushkin, V.A. Oxygen-converter processing of vanadium-bearing hot metal. Steel Transl. 2013, 43, 587–592. [Google Scholar] [CrossRef]
- Wen, J.; Jiang, T.; Liu, Y.; Xue, X. Extraction Behavior of Vanadium and Chromium by Calcification Roasting-Acid Leaching from High Chromium Vanadium Slag: Optimization Using Response Surface Methodology. Miner. Process. Extr. Metall. Rev. 2018, 40, 56–66. [Google Scholar] [CrossRef]
- Zhang, J.; Zhang, W.; Xue, Z. Oxidation Kinetics of Vanadium Slag Roasting in the Presence of Calcium Oxide. Miner. Process. Extr. Metall. Rev. 2017, 38, 265–273. [Google Scholar] [CrossRef]
- Lin, X.; Wang, X.; Cao, H. High-efficient extraction of vanadium and its application in the utilization of the chromium-bearing vanadium slag. Chem. Eng. J. 2016, 301, 132–138. [Google Scholar]
- Wen, J.; Jiang, T.; Xu, Y.Z.; Liu, J.Y.; Xue, X.X. Efficient Separation and Extraction of Vanadium and Chromium in High Chromium Vanadium Slag by Selective Two-Stage Roasting-Leaching. Met. Mater Trans B 2018, 49, 1471–1481. [Google Scholar] [CrossRef]
- Liu, B.; Du, H.; Wang, S.N.; Zhang, Y.; Zheng, S.L.; Li, L.J.; Chen, D.H. A novel method to extract vanadium and chromium from vanadium slag using molten NaOH. AICHE J. 2013, 59, 541–552. [Google Scholar] [CrossRef]
- Dong, Z.H.; Zhang, J.; Yan, B.J. Co-extraction of Vanadium Titanium and Chromium from Vanadium Slag by Oxalic Acid Hydrothermal Leaching with Synergy of Fe Powder. Met. Mater Trans B 2021, 52, 3961–3969. [Google Scholar] [CrossRef]
- Chen, X.; Zhang, J.; Yan, B. A clean method of precipitation vanadium from the vanadium bearing oxalic acid leaching solution. Miner. Eng. 2021, 165, 106864. [Google Scholar] [CrossRef]
- Kang, Q.; Zhang, Y.; Bao, S. An environmentally friendly hydrothermal method of vanadium precipitation with the application of oxalic acid. Hydrometallurgy 2019, 185, 125–132. [Google Scholar] [CrossRef]
- Kumbour, P.; Sikong, L. Effect of Oxalic Acid and Temperature on Hydrothermal VO2 (B) Transformation to VO2 (M). Adv. Mater. Res. 2013, 785–786, 335–338. [Google Scholar] [CrossRef]
- Kim, H.I.; Lee, K.W.; Mishra, D.; Yi, K.M.; Hong, J.H.; Jun, M.K.; Park, H.K. Separation and recovery of vanadium from leached solution of spent residuehydrodesulfurization (RHDS) catalyst using solvent extraction. J. Ind. Eng. Chem. 2014, 20, 4457–4462. [Google Scholar] [CrossRef]
- Liu, Z.; Huang, J.; Zhang, Y.; Liu, T.; Luo, D. Separation and recovery of vanadium and aluminum from oxalic acid leachate of shale by solvent extraction with Aliquat 336. Sep. Purif. Technol. 2020, 249, 116867. [Google Scholar] [CrossRef]
- Liu, H.L.; Hu, J.H.; Wang, H.; Wang, C.; Li, J.Q. Phase transformation in hydrogen reduction of copper slag. Chin. J. Process Eng. 2012, 12, 265. [Google Scholar]
- Botto, I.L.; Vassallo, M.B.; Baran, E.J.; Minelli, G. IR spectra of VO2 and V2O3. Mater. Chem. Phys. 1997, 50, 267–270. [Google Scholar] [CrossRef]
- Tu, S.H.; Luo, Z.C.; Liu, T.; Zhu, X.P.; Du, J. Preparation of different morphologies α-Fe2O3 by hydrothermal method. Mater. Rep. 2016, 30, 5. [Google Scholar]
- Liu, S.; He, X.; Wang, Y.; Wang, L. Cleaner and effective extraction and separation of iron from vanadium slag by carbothermic reduction-chlorination-molten salt electrolysis. J. Clean. Prod. 2020, 284, 124674. [Google Scholar] [CrossRef]
- Liu, X.; Xie, G.; Chi, H.; Qian, X.; Zhang, Y.; Luo, Y. A facile method for preparing VO2 nanobelts. Mater. Lett. 2008, 62, 1878–1880. [Google Scholar] [CrossRef]
- Mittal, J.; Konno, H.; Inagaki, M. Synthesis of graphite intercalation compounds with CrVI compounds using CrO3 and HCl at room temperature. Synth. Met. 1998, 96, 103–108. [Google Scholar] [CrossRef]
- Hu, P.; Zhang, Y. Mechanism of vanadium selective separation from iron in shale under an environmentally friendly oxalate ligand system. Sep. Purif. Technol. 2021, 276, 119269. [Google Scholar] [CrossRef]
- Fujita, J.; Martell, A.; Nakamoto, K. Infrared Spectra of Metal Chelate Compounds. VI. A Normal Coordinate Treatment of Oxalato Metal Complexes. J. Chem. Phys. 1962, 36, 324–331. [Google Scholar] [CrossRef]
- Selbin, J.; Holmes, L.H.; Mcglynn, S.P. Electronic structure, spectra and magnetic properties of oxycations—IV ligation effects on the infra-red spectrum of the vanadyl ion. J. Inorg. Nucl. Chem. 1963, 25, 1359–1369. [Google Scholar] [CrossRef]
- Kharitonov, Y.Y.; Buslaev, Y.A. Infrared absorption spectra of oxyfluorides of some metals of the fourth and fifth groups of the periodic table. Russ. Chem. Bull. 1962, 11, 365–372. [Google Scholar] [CrossRef]
- Liu, Z.; Huang, J.; Zhang, Y.; Liu, T.; Zheng, Q. Separation and recovery of vanadium and iron from oxalic-acid-based shale leachate by coextraction and stepwise stripping. Sep. Purif. Technol. 2020, 244, 116532. [Google Scholar] [CrossRef]





















| Elements | V | Ti | Cr | Fe | Mn | Si | Ca | Mg | Al |
|---|---|---|---|---|---|---|---|---|---|
| Content/g/L | 2.42 | 2.30 | 1.14 | 0.31 | 0.79 | 0.47 | 0.42 | 0.29 | 0.35 |
| Elements | V2O5 | TiO2 | Cr2O3 | Fe2O3 | MnO | SiO2 | CaO | MgO | Al2O3 |
|---|---|---|---|---|---|---|---|---|---|
| Content/wt% | 2.44 | 95.7 | 0.1 | 0.24 | 0.15 | 1.27 | 0.04 | 0.03 | <0.01 |
| Elements | Extract (mg/L) | Raffinate (mg/L) | Extraction Extent (%) |
|---|---|---|---|
| V | 2396 | 9.5 | 99.6 |
| Cr | 1143 | 242.4 | 78.8 |
| Al | 356.3 | 31.4 | 91.2 |
| Fe | 270.2 | 11.9 | 95.6 |
| Mn | 786.6 | 738.6 | 6.1 |
| Si | 360.1 | 357.9 | 0.6 |
| Ca | 423.4 | 382.3 | 9.7 |
| Mg | 296.2 | 270.7 | 8.6 |
| Elements | V | Cr | Al | Fe | Ca | Mg | Mn | Si |
|---|---|---|---|---|---|---|---|---|
| Content/g/L | 7.15 | 2.68 | 0.97 | 0.04 | 0.10 | 0.07 | 0.13 | 0.08 |
Publisher’s Note: MDPI stays neutral with regard to jurisdictional claims in published maps and institutional affiliations. |
© 2022 by the authors. Licensee MDPI, Basel, Switzerland. This article is an open access article distributed under the terms and conditions of the Creative Commons Attribution (CC BY) license (https://creativecommons.org/licenses/by/4.0/).
Share and Cite
Dong, Z.; Zhang, J.; Yan, B. Hydrothermal Separation of Titanium Vanadium and Chromium from a Pregnant Oxalic Acid Leachate. Materials 2022, 15, 1538. https://doi.org/10.3390/ma15041538
Dong Z, Zhang J, Yan B. Hydrothermal Separation of Titanium Vanadium and Chromium from a Pregnant Oxalic Acid Leachate. Materials. 2022; 15(4):1538. https://doi.org/10.3390/ma15041538
Chicago/Turabian StyleDong, Zihui, Jie Zhang, and Baijun Yan. 2022. "Hydrothermal Separation of Titanium Vanadium and Chromium from a Pregnant Oxalic Acid Leachate" Materials 15, no. 4: 1538. https://doi.org/10.3390/ma15041538
APA StyleDong, Z., Zhang, J., & Yan, B. (2022). Hydrothermal Separation of Titanium Vanadium and Chromium from a Pregnant Oxalic Acid Leachate. Materials, 15(4), 1538. https://doi.org/10.3390/ma15041538
