Pressure-Induced Superconductivity in Iron-Based Spin-Ladder Compound BaFe2+δ(S1−xSex)3
Abstract
1. Introduction
1.1. Iron-Based Spin-Ladder Material
1.2. Spin-Ladder Compound BaFe2S3
1.3. Spin-Ladder Compound BaFe2Se3
1.4. Spin-Ladder Compound BaFe2(S1−xSex)3
1.5. Purpose of This Study
2. Materials and Methods
3. Results and Discussion
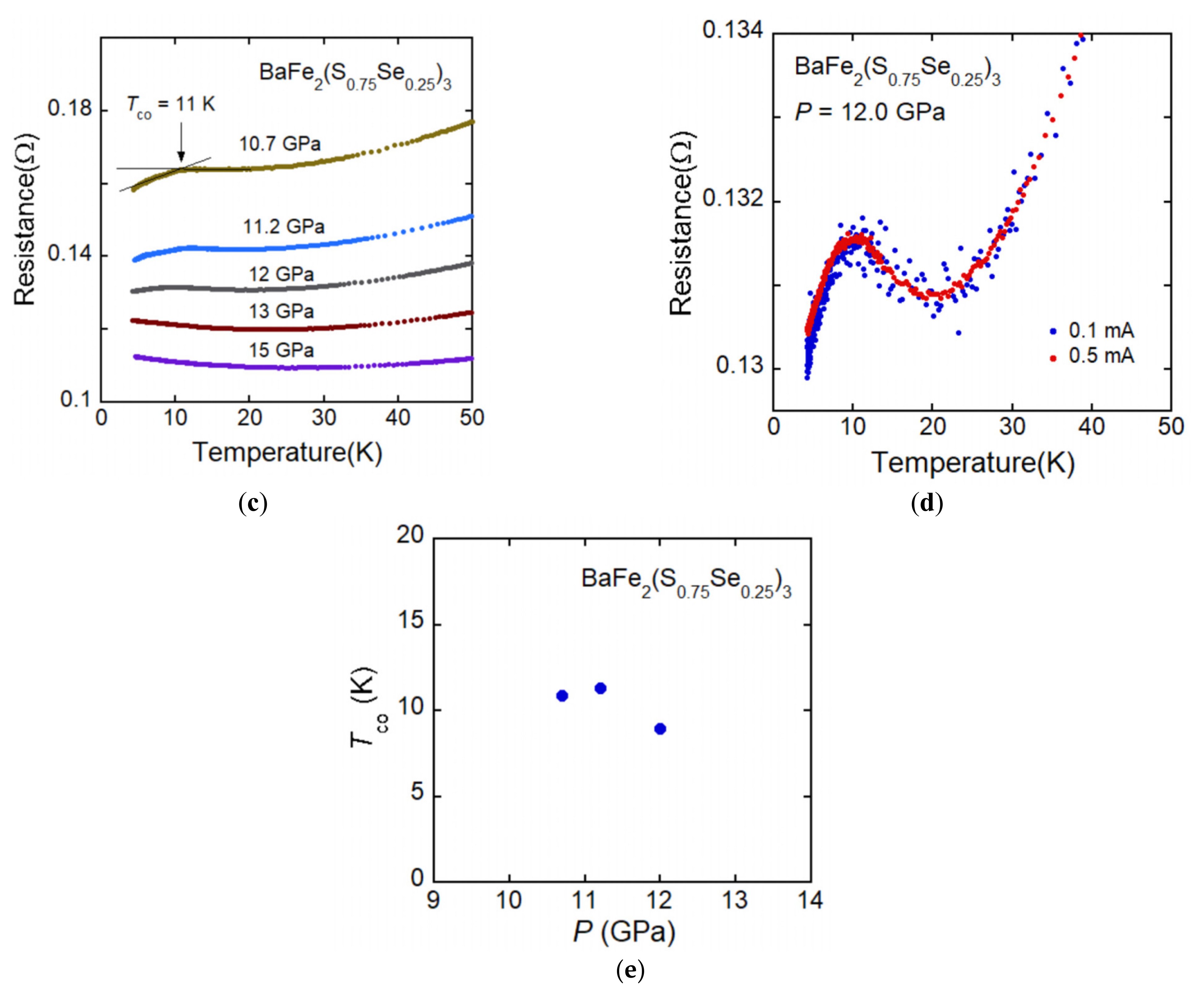
3.1. Electrical Resistivity under High Pressure for Spin-Ladder Compound BaFe2(S1−xSex)3 (x = 0.25)
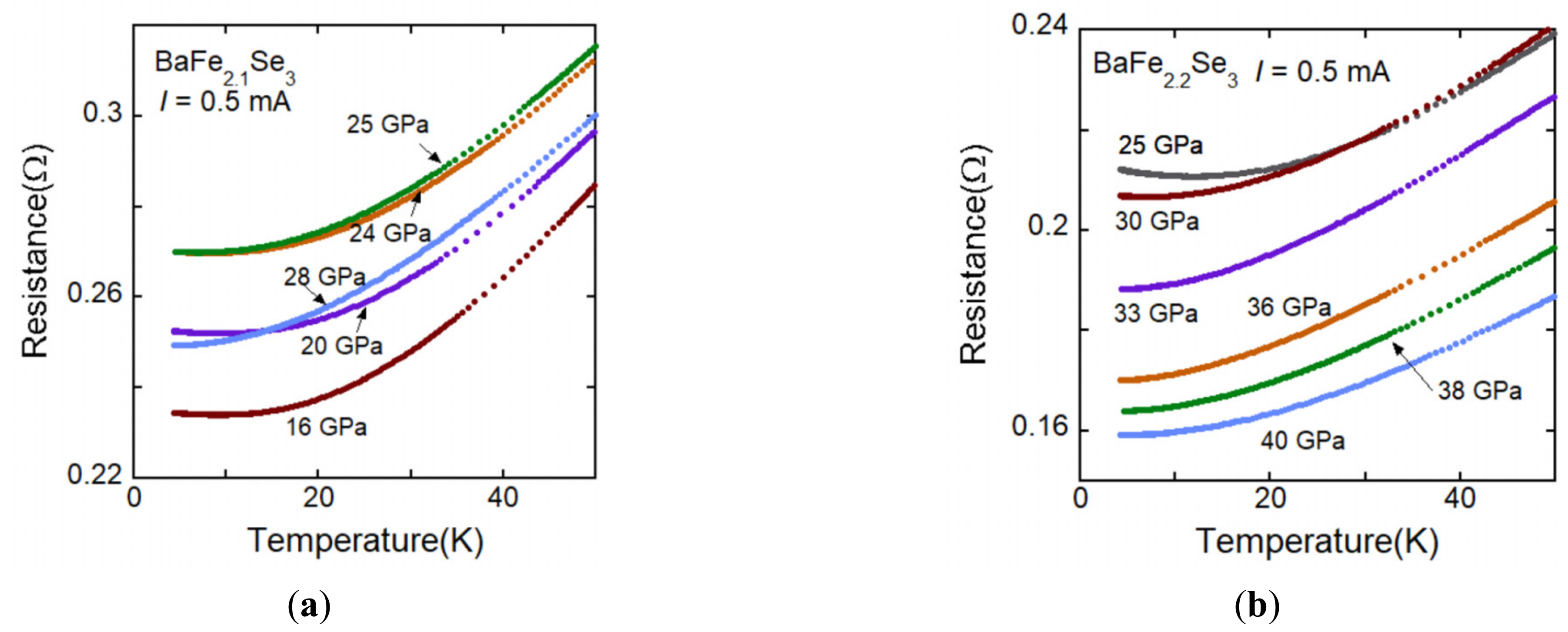
3.2. Electrical Resistivity under High Pressure for Spin-Ladder Compound BaFe2Se3
3.3. Electrical Resistivity under High Pressure for Spin-Ladder Compound BaFe2+δSe3
4. Conclusions
Author Contributions
Funding
Institutional Review Board Statement
Informed Consent Statement
Data Availability Statement
Conflicts of Interest
References
- Kamihara, Y.; Watanabe, T.; Hirano, M.; Hosono, H. Iron-Based Layered Superconductor La[O1−xFx]FeAs (x = 0.05–0.12)with Tc = 26 K. J. Am. Chem. Soc. 2008, 130, 3296. [Google Scholar] [CrossRef] [PubMed]
- Mazin, I.I.; Singh, D.J.; Johannes, M.D.; Du, M.H. Unconventional superconductivity with a sign reversal in the order parameter of LaFeAsO1−xFx. Phys. Rev. Lett. 2008, 101, 05700. [Google Scholar] [CrossRef]
- Martucciello, N.; Giubileo, F.; Grimaldi, G.; Corato, V. Introduction to the focus on superconductivity for energy. Supercond. Sci. Technol. 2015, 28, 070201. [Google Scholar] [CrossRef]
- Pagano, S.; Martucciello, N.; Enrico, E.; Monticone, E.; Iida, K.; Barone, C. Iron-Based Superconducting Nanowires: Electric Transport and Voltage-Noise Properties. Nanomaterials 2020, 10, 862. [Google Scholar] [CrossRef]
- Kuroki, K.; Onari, S.; Arita, R.; Usui, H.; Tanaka, Y.; Kontani, H.; Aoki, H. Unconventional pairing originating from the disconnected fermi surfaces of superconducting LaFeAsO1−xFx. Phys. Rev. Lett. 2008, 101, 087004. [Google Scholar] [CrossRef] [PubMed]
- Onari, S.; Yamakawa, Y.; Kontani, H. High-Tc superconductivity near the anion height instability in Fe-based superconductors: Analysis of LaFeAsO1−xHx. Phys. Rev. Lett. 2014, 112, 187001. [Google Scholar] [CrossRef]
- Dai, P.; Hu, J.; Dagotto, E. Magnetism and its microscopic origin in iron-based high-temperature superconductors. Nat. Phys. 2012, 8, 709–718. [Google Scholar] [CrossRef]
- Guo, J.; Jin, S.; Wang, G.; Wang, S.; Zhu, K.; Zhou, T.; He, M.; Chen, X. Superconductivity in the iron selenide KxFe2Se2 (0 <= x <= 1.0). Phys. Rev. B 2010, 82, 180520. [Google Scholar] [CrossRef]
- Ye, F.; Chi, S.; Bao, W.; Wang, X.F.; Ying, J.J.; Chen, X.H.; Wang, H.D.; Dong, C.H.; Fang, M. Common crystalline and magnetic structure of superconducting A2Fe4Se5(A = K, Rb, Cs, Tl) single crystals measured using neutron diffraction. Phys. Rev. Lett. 2011, 107, 137003. [Google Scholar] [CrossRef]
- Momma, K.; Izumi, F. VESTA 3 for three-dimensional visualization of crystal, volumetric and morphology data. J. Appl. Cryst. 2011, 44, 1272–1276. [Google Scholar] [CrossRef]
- Dagotto, E. Colloquium: The unexpected properties of alkali metal iron selenide superconductors. Rev. Mod. Phys. 2013, 85, 849. [Google Scholar] [CrossRef]
- Saparov, B.; Calder, S.; Sipos, B.; Cao, H.; Chi, S.; Singh, D.J.; Christianson, A.D.; Lumsden, M.D.; Sefat, A.S. Spin glass and semiconducting behaviour in one-dimensional BaFe2-dSe3 (d~0.2) crystals. Phys. Rev. B 2011, 84, 245132. [Google Scholar] [CrossRef]
- Lei, H.; Ryu, H.; Frenkel, A.I.; Petrovic, C. Anisotropy in BaFe2Se3 single crystals with double chains of FeSe tetrahedral. Phys. Rev. B 2011, 84, 214511. [Google Scholar] [CrossRef]
- Krzton-Maziopa, A.; Pomjakushina, E.; Pomjakushin, V.; Sheptyakov, D.; Chernyshov, D.; Svitlyk, V.; Conder, K. The synthesis, and crystal and magnetic structure of the iron selenide BaFe2Se3 with possible superconductivity at Tc = 11 K. J. Phys. Condens. Matter 2011, 23, 402201. [Google Scholar] [CrossRef]
- Caron, J.M.; Neilson, J.R.; Miller, D.C.; Llobet, A.; McQueen, T.M. Iron displacements and magnetoelastic coupling in the antiferromagnetic spin-ladder compound BaFe2Se3. Phys. Rev. B 2011, 84, 180409. [Google Scholar] [CrossRef]
- Caron, J.M.; Neilson, J.R.; Miller, D.C.; Arpino, K.; Llobet, A.; McQueen, T.M. Orbital-selective magnetism in the spin-ladder iron selenides Ba1−xKxFe2Se3. Phys. Rev. B 2012, 85, 180405. [Google Scholar] [CrossRef]
- Nambu, Y.; Ohgushi, K.; Suzuki, S.; Du, F.; Avdeev, M.; Uwatoko, Y.; Munakata, K.; Fukazawa, H.; Chi, S.; Ueda, Y.; et al. Block magnetism coupled with local distortion in the iron-based spin-ladder compound BaFe2Se3. Phys. Rev. B 2012, 85, 064413. [Google Scholar] [CrossRef]
- Monney, C.; Uldry, A.; Zhou, K.J.; Krzton-Maziopa, A.; Pomjakushina, E.; Strocov, V.N.; Delley, B.; Schmitt, T. Resonant inelastic x-ray scattering at the Fe L3 edge of the one-dimensional chalcogenide BaFe2Se3. Phys. Rev. B 2013, 88, 165103. [Google Scholar] [CrossRef]
- Du, F.; Ohgushi, K.; Nambu, Y.; Kawakami, T.; Avdeev, M.; Hirata, Y.; Watanabe, Y.; Sato, T.J.; Ueda, Y. Stripelike magnetism in a mixed-valence insulating state of the Fe-based ladder compound CsFe2Se3. Phys. Rev. B 2012, 85, 214436. [Google Scholar] [CrossRef]
- Amigó, M.L.; Maljuk, A.; Manna, K.; Stahl, Q.; Felser, C.; Hess, C.; Wolter, A.U.B.; Geck, J.; Seiro, S.; Büchner, B. Laser-Assisted Floating Zone Growth of BaFe2S3 Large-Sized Ferromagnetic-Impurity-Free Single Crystals. Crystals 2021, 11, 758. [Google Scholar] [CrossRef]
- Takahashi, H.; Sugimoto, A.; Nambu, Y.; Yamauchi, T.; Hirata, Y.; Kawakami, T.; Avdeev, M.; Matsubayashi, K.; Du, F.; Kawashima, C.; et al. Pressure-induced superconductivity in the iron-based ladder material BaFe2S3. Nat. Mater. 2015, 14, 1008–1012. [Google Scholar] [CrossRef] [PubMed]
- Ying, J.; Lei, H.; Petrovic, C.; Xiao, Y.; Struzhkin, V.V. Interplay of magnetism and superconductivity in the compressed Fe-ladder compound BaFe2Se3. Phys. Rev. B 2017, 95, 241109. [Google Scholar] [CrossRef]
- Yamauchi, T.; Hirata, Y.; Ueda, Y.; Ohgushi, K. Pressure-Induced Mott Transition Followed by a 24-K Superconducting Phase in BaFe2S3. Phys. Rev. Lett. 2015, 115, 246402. [Google Scholar] [CrossRef] [PubMed]
- Chi, S.; Uwatoko, Y.; Cao, H.; Hirata, Y.; Hashizume, K.; Aoyama, T. Magnetic Precursor of the Pressure-Induced Superconductivity in Fe-Ladder Compounds. Phys. Rev. Lett. 2016, 117, 047003. [Google Scholar] [CrossRef]
- Hosoi, S.; Aoyama, T.; Ishida, K.; Mizukami, Y.; Hashizume, K.; Imaizumi, S.; Imai, Y.; Ohgushi, K.; Nambu, Y.; Kimata, M.; et al. Dichotomy between orbital and magnetic nematic instabilities in BaFe2S3. Phys. Rev. Res. 2020, 2, 043293. [Google Scholar] [CrossRef]
- Kobayashi, K.; Maki, S.; Murakami, Y.; Hirata, Y.; Ohgushi, K.; Yamaura, J. Crystal structure determination under high pressure in the iron-based ladder superconductor BaFe2S3. Supercond. Sci. Technol. 2018, 31, 105002. [Google Scholar] [CrossRef]
- Aoyama, T.; Imaizumi, S.; Togashi, T.; Sato, Y.; Hashizume, K.; Nambu, Y.; Hirata, Y.; Matsubara, M.; Ohgushi, K. Polar state induced by block-type lattice distortions in BaFe2Se3 with quasi-one-dimensional ladder structure. Phys. Rev. B 2019, 99, 241109. [Google Scholar] [CrossRef]
- Svitlyk, V.; Chernyshov, D.; Pomjakushina, E.; Krzton-Maziopa, A.; Conder, K.; Pomjakushin, V.; Pottgen, R.; Dmitriev, V. Crystal structure of BaFe2Se3 as a function of temperature and pressure: Phase transition phenomena and high-order expansion of Landau potential. J. Phys. Condens. Matter 2013, 25, 315403. [Google Scholar] [CrossRef]
- Svitlyk, V.; Garbarino, G.; Rosa, A.D.; Pomjakushina, E.; Krzton-Maziopa, A.; Conder, K.; Nunez-Regueiro, M.; Mezouar, M. High-pressure polymorphism of BaFe2Se3. J. Phys. Condens. Matter. 2019, 31, 085401. [Google Scholar] [CrossRef]
- Zhang, Y.; Lin, L.-F.; Zhang, J.-J.; Dagotto, E.; Dong, S. Sequential structural and antiferromagnetic transitions in BaFe2Se3 under pressure. Phys. Rev. B 2018, 97, 045119. [Google Scholar] [CrossRef]
- Imaizumi, S.; Aoyama, T.; Kimura, R.; Sasaki, K.; Nambu, Y.; Avdeev, M.; Hirata, Y.; Ikemoto, Y.; Moriwaki, T.; Imai, Y.; et al. Structural, electrical, magnetic, and optical properties of iron-based ladder compounds BaFe2(S1−xSex)3. Phys. Rev. B 2020, 102, 035104. [Google Scholar] [CrossRef]
- Hawai, T.; Kawashima, C.; Ohgushi, K.; Matsubayashi, K.; Nambu, Y.; Uwatoko, Y.; Sato, T.J.; Takahashi, H. Pressure-Induced Metallization in Iron-Based Ladder Compounds Ba1−xCsxFe2Se3. J. Phys. Soc. Jpn. 2017, 86, 024701. [Google Scholar] [CrossRef]
- Du, F.; Ueda, Y.; Ohgushi, K. Large Magnon Contributions to Thermal Conductance in Quasi-One-Dimensional Fe-Based Ladder Compounds BaFe2(S1−xSex)3. Phys. Rev. Lett. 2019, 123, 086601. [Google Scholar] [CrossRef]
- Hirata, Y.; Maki, S.; Yamaura, J.-i.; Yamauchi, T.; Ohgushi, K. Effects of stoichiometry and substitution in quasi-one-dimensional iron chalcogenideBaFe2S3. Phys. Rev. B 2015, 92, 205109. [Google Scholar] [CrossRef]
- Amigó, M.L.; Stahl, Q.; Maljuk, A.; Wolter, A.U.B.; Hess, C.; Geck, J.; Wurmehl, S.; Seiro, S.; Büchner, B. Revisiting the influence of Fe excess in the synthesis of BaFe2Se3. Phys. Rev. Mater. 2021, 5, 094801. [Google Scholar] [CrossRef]











Publisher’s Note: MDPI stays neutral with regard to jurisdictional claims in published maps and institutional affiliations. |
© 2022 by the authors. Licensee MDPI, Basel, Switzerland. This article is an open access article distributed under the terms and conditions of the Creative Commons Attribution (CC BY) license (https://creativecommons.org/licenses/by/4.0/).
Share and Cite
Takahashi, H.; Kikuchi, R.; Kawashima, C.; Imaizumi, S.; Aoyama, T.; Ohgushi, K. Pressure-Induced Superconductivity in Iron-Based Spin-Ladder Compound BaFe2+δ(S1−xSex)3. Materials 2022, 15, 1401. https://doi.org/10.3390/ma15041401
Takahashi H, Kikuchi R, Kawashima C, Imaizumi S, Aoyama T, Ohgushi K. Pressure-Induced Superconductivity in Iron-Based Spin-Ladder Compound BaFe2+δ(S1−xSex)3. Materials. 2022; 15(4):1401. https://doi.org/10.3390/ma15041401
Chicago/Turabian StyleTakahashi, Hiroki, Ryosuke Kikuchi, Chizuru Kawashima, Satoshi Imaizumi, Takuya Aoyama, and Kenya Ohgushi. 2022. "Pressure-Induced Superconductivity in Iron-Based Spin-Ladder Compound BaFe2+δ(S1−xSex)3" Materials 15, no. 4: 1401. https://doi.org/10.3390/ma15041401
APA StyleTakahashi, H., Kikuchi, R., Kawashima, C., Imaizumi, S., Aoyama, T., & Ohgushi, K. (2022). Pressure-Induced Superconductivity in Iron-Based Spin-Ladder Compound BaFe2+δ(S1−xSex)3. Materials, 15(4), 1401. https://doi.org/10.3390/ma15041401
