Effect of Delamination and Grain Refinement on Fracture Energy of Ultrafine-Grained Steel Determined Using an Instrumented Charpy Impact Test
Abstract
1. Introduction
2. Materials and Methods
2.1. Specimen Preparation
2.2. Microstructure and Instrumental Charpy Impact Test
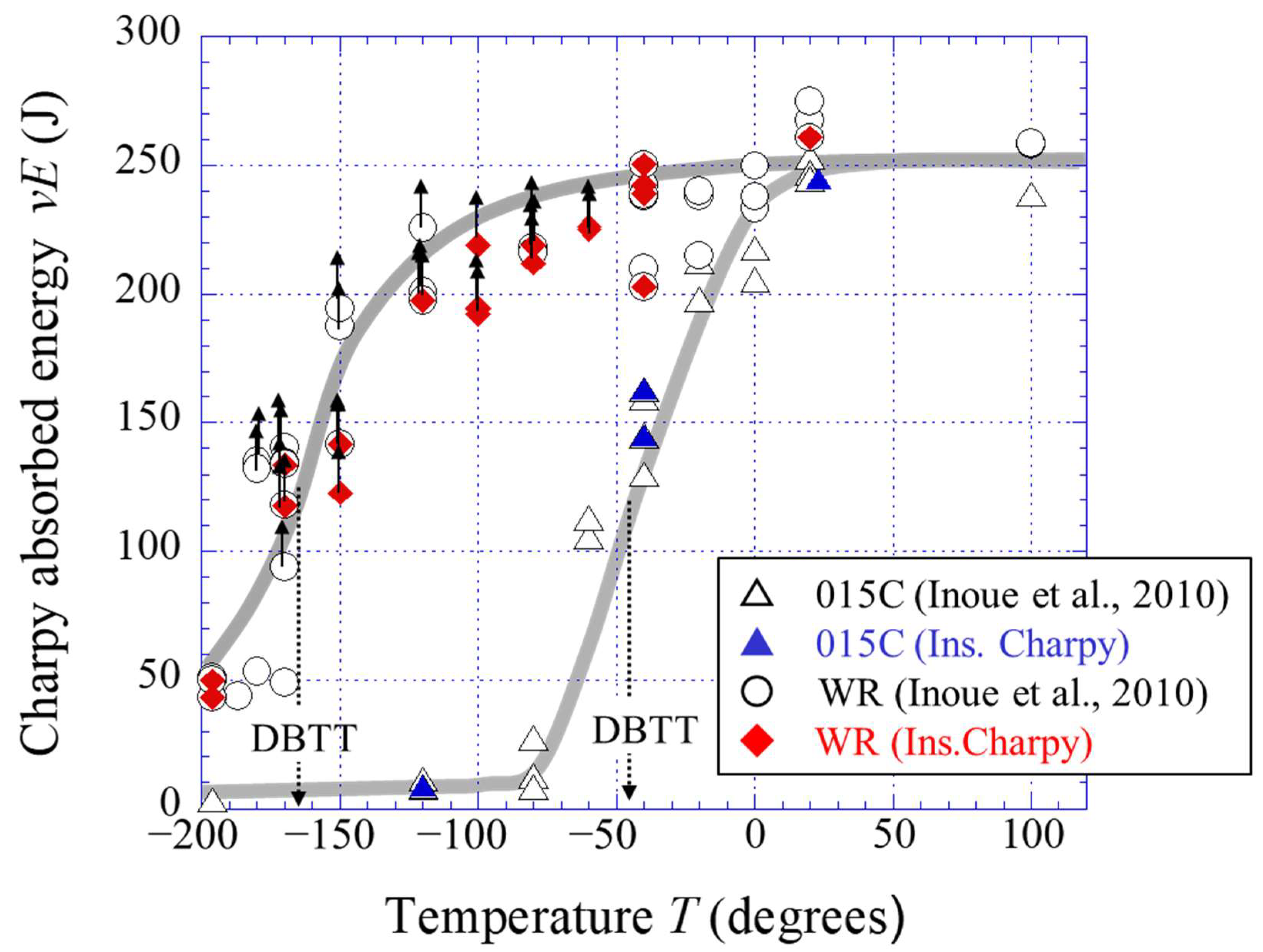
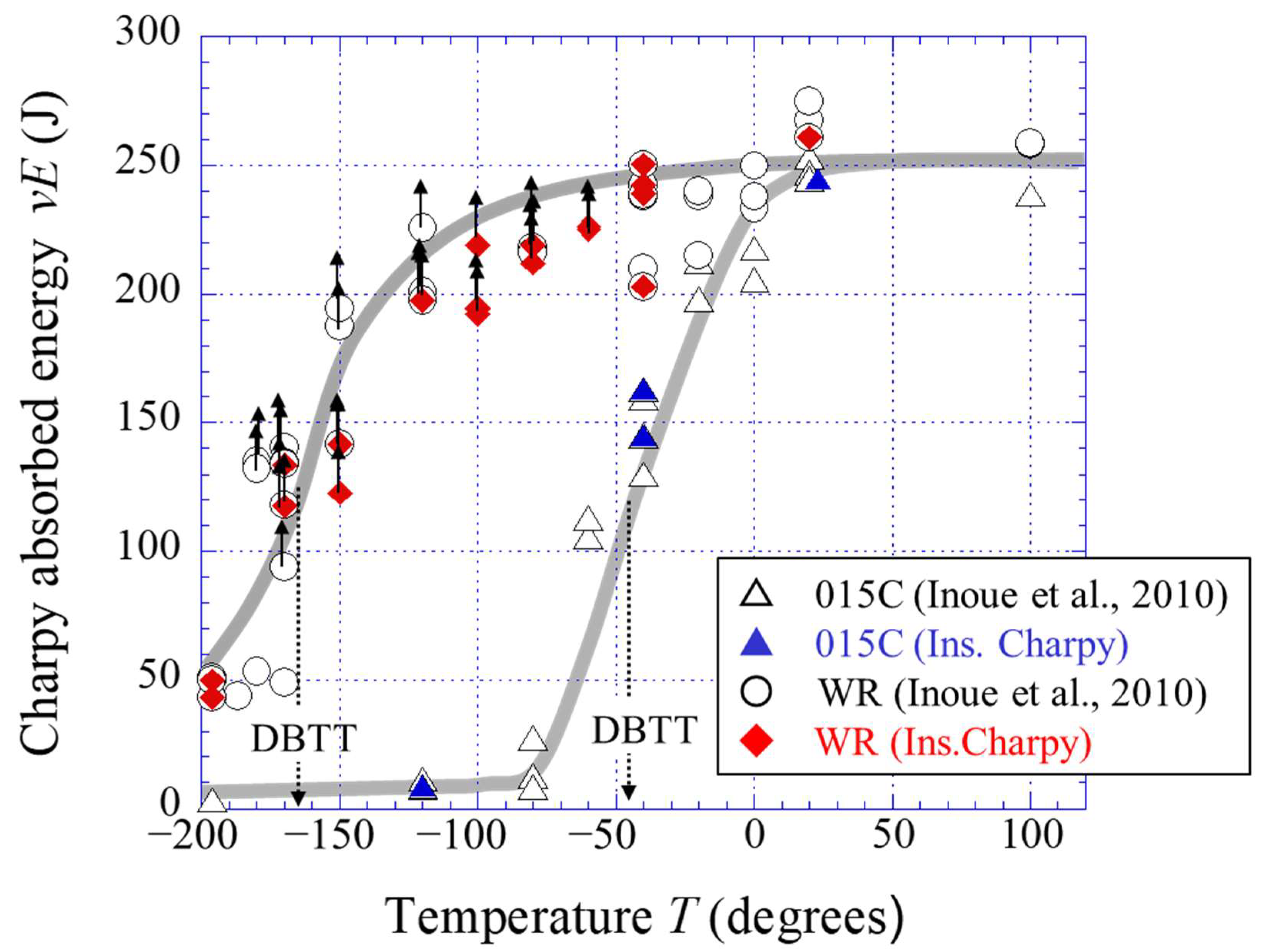
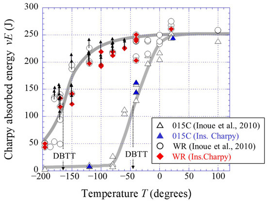
3. Results
4. Discussion
Author Contributions
Funding
Institutional Review Board Statement
Informed Consent Statement
Data Availability Statement
Acknowledgments
Conflicts of Interest
References
- Kimura, Y.; Inoue, T.; Yin, F.; Tsuzaki, K. Inverse Temperature Dependence of Toughness in an Ultrafine Grain-Structure Steel. Science 2008, 320, 1057–1060. [Google Scholar] [CrossRef]
- Inoue, T. Toughening of low-alloy steel by ultrafine-grained structure (Development of fracture control from microstructure design). In Fracture Mechanics-Properties, Patterns and Behaviours; Alves, L.M., Ed.; InTech: Rijeka, Croatia, 2016; pp. 103–120. [Google Scholar] [CrossRef]
- Lu, K. The Future of metals. Science 2010, 328, 319–320. [Google Scholar] [CrossRef]
- Cao, W.; Zhang, M.; Huang, C.; Xiao, S.; Dong, H.; Weng, Y. Ultrahigh Charpy impact toughness (~450J) achieved in high strength ferrite/martensite laminated steels. Sci. Rep. 2017, 7, 41459. [Google Scholar] [CrossRef]
- Morrison, W.B. The effect of grain size on the stress-strain relationship in low-carbon steel. ASM Trans. Quart. 1966, 59, 824–846. [Google Scholar]
- Naik, S.N.; Walley, S.M. The Hall–Petch and inverse Hall–Petch relations and the hardness of nanocrystalline metals. J. Mater. Sci. 2020, 55, 2661–2681. [Google Scholar] [CrossRef]
- Nagai, K. Ultrafine-grained ferrite steel with dispersed cementite particles. J. Mater. Process. Technol. 2001, 117, 329–332. [Google Scholar] [CrossRef]
- Tsuchida, N.; Tomota, Y.; Nagai, K. Tensile Properties Obtained by Static Tensile Tests in Ultrafine-grained Ferrite—Cementite Steels. Tetsu-to-Hagane 2003, 89, 1170–1177. [Google Scholar] [CrossRef]
- Inoue, T.; Ueji, R. Improvement of strength, toughness and ductility in ultrafine-grained low-carbon steel processed by warm bi-axial rolling. Mater. Sci. Eng. A 2020, 786, 139415. [Google Scholar] [CrossRef]
- Inoue, T.; Qiu, H.; Ueji, R.; Kimura, Y. Ductile-to-Brittle Transition and Brittle Fracture Stress of Ultrafine-Grained Low-Carbon Steel. Materials 2021, 14, 1634. [Google Scholar] [CrossRef]
- Morris, J.W., Jr. Materials science. Stronger, tougher steels. Science 2008, 320, 1022–1023. [Google Scholar] [CrossRef]
- Bourell, D.L. Cleavage delamination in impact tested warm-rolled steel. Metall. Trans. A 1983, 14, 2487–2496. [Google Scholar] [CrossRef]
- Maehara, Y.; Nakasato, F.; Ohmori, Y.; Terasaki, F. The Effects of Microstructure and Texture on Toughness of Control-rolled Steel Bars. Trans. Iron Steel Inst. Jpn. 1984, 24, 639–647. [Google Scholar] [CrossRef]
- Inoue, T.; Yin, F.; Kimura, Y.; Tsuzaki, K.; Ochiai, S. Delamination effect on impact properties of ultrafine-grained low-carbon steel processed by warm caliber rolling. Metall. Mater. Trans. A 2010, 41, 341–355. [Google Scholar] [CrossRef]
- Dolzhenko, A.; Kaibyshev, R.; Belyakov, A. Tempforming as an Advanced Processing Method for Carbon Steels. Metals 2020, 10, 1566. [Google Scholar] [CrossRef]
- Karimpoor, A.; Aust, K.; Erb, U. Charpy impact energy of nanocrystalline and polycrystalline cobalt. Scr. Mater. 2007, 56, 201–204. [Google Scholar] [CrossRef]
- Torizuka, S.; Muramatsu, E.; Inoue, T.; Nagai, K.J. Microstructure and mechanical properties formed through multidirectional large strain caliber rolling using oval grooves and square grooves. Jpn. Inst. Met. 2008, 72, 571–580. [Google Scholar] [CrossRef][Green Version]
- Ohmori, A.; Torizuka, S.; Nagai, K. Properties of Warm-rolled Steel Plates with Ultrafine-grained Ferrite and Cementite Structures. Tetsu-to-Hagane 2003, 89, 765–772. [Google Scholar] [CrossRef][Green Version]
- Song, R.; Ponge, D.; Raabe, D. Mechanical properties of an ultrafine grained C–Mn steel processed by warm deformation and annealing. Acta Mater. 2005, 53, 4881–4892. [Google Scholar] [CrossRef]
- Kunishige, K.; Fukuda, M.; Sugiuchi, S. Separations Occurring in Controlled Rolled Hot-strips. Trans. Iron Steel Inst. Jpn. 1979, 19, 324–331. [Google Scholar] [CrossRef]
- Oh, Y.S.; Son, I.H.; Jung, K.H.; Kim, D.K.; Lee, D.L.; Im, Y.T. Effect of initial microstructure on mechanical properties in warm caliber rolling of high carbon steel. Mater. Sci. Eng. A 2011, 528, 5833–5839. [Google Scholar] [CrossRef]
- Kimura, Y.; Inoue, T.; Otani, T.; Ochiai, A.; Ikurumi, S.; Takatsuji, T. Upsizing high-strength fail-safe steel through warm tempforming. Mater. Sci. Eng. A 2021, 819, 141514. [Google Scholar] [CrossRef]
- Inoue, T.; Yin, F.; Kimura, Y. Strain distribution and microstructural evolution in multi-pass warm caliber rolling. Mater. Sci. Eng. A 2007, 66, 114–122. [Google Scholar] [CrossRef]
- Kobayashi, T.; Takai, K.; Maniwa, H. Transition behaviour and evolution of fracture toughness in Charpy impact test. Trans. Iron Steel Inst. Jpn. 1967, 7, 115–125. [Google Scholar] [CrossRef]
- Lei, W.; Yao, M. A new model of the critical crack size for low temperature brittle fracture of structural steel and its experimental verification. Eng. Fract. Mech. 1994, 49, 225–234. [Google Scholar] [CrossRef]
- Inoue, T.; Kimura, Y. Toughening of low-carbon steel by ultrafine-grained structure. Trans. Jpn. Soc. Mech. Eng. A 2013, 79, 1226–1238. [Google Scholar] [CrossRef][Green Version]
- Cepeda-Jiménez, C.; Pozuelo, M.; García-Infanta, J.M.; Ruano, O.A.; Carreno, F. Interface Effects on the Fracture Mechanism of a High-Toughness Aluminum-Composite Laminate. Metall. Mater. Trans. A 2009, 40, 69–79. [Google Scholar] [CrossRef]
- She, J.; Inoue, K.; Ueno, K. Fracture behavior and mechanical properties of multilayered alumina-based composites with different layer thicknesses. J. Mater. Sci. Lett. 2000, 19, 45–47. [Google Scholar] [CrossRef]
- Rzeczkowski, J.; Samborski, S.; Moura, M. Experimental Investigation of Delamination in Composite Continuous Fiber-Reinforced Plastic Laminates with Elastic Couplings. Materials 2020, 13, 5146. [Google Scholar] [CrossRef]
- Sánchez-Reyes, J. Planar Typical Bézier Curves Made Simple. Mathematics 2021, 9, 3017. [Google Scholar] [CrossRef]
- Zhao, M.; Hanamura, T.; Qiu, H.; Yin, F.; Dong, H.; Yang, K.; Nagai, K. Low absorbed energy ductile dimple fracture in lower shelf region in an ultrafine grained ferrite/cementite steel. Metall. Mater. Trans. A 2006, 37, 2897–2900. [Google Scholar] [CrossRef]
- Kimura, Y.; Inoue, T. Influence of Annealing on Delamination Toughening of Mo Bearing Medium-Carbon Steel with Ultrafine Elongated Grain Structure Processed by Warm Tempforming. ISIJ Int. 2021, 68. [Google Scholar] [CrossRef]
- Tanguy, B.; Besson, J.; Piques, R.; Pineau, A. Ductile to brittle transition of an A508 steel characterized by Charpy impact test Part II: Modeling of the Charpy transition curve. Eng. Fract. Mech. 2005, 72, 413–414. [Google Scholar] [CrossRef]
- Takashima, Y.; Minami, F. Prediction of Charpy absorbed energy of steel for welded structure in ductile-to-brittle fracture transition temperature range. Q. J. Jpn. Weld. Soc. 2020, 38, 103–107. [Google Scholar] [CrossRef]
- Dieter, G.E. Mechanical Metallurgy; Metric, S.I., Ed.; McGraw-Hill Book Co.: Singapore, 1988; p. 479. [Google Scholar]














Publisher’s Note: MDPI stays neutral with regard to jurisdictional claims in published maps and institutional affiliations. |
© 2022 by the authors. Licensee MDPI, Basel, Switzerland. This article is an open access article distributed under the terms and conditions of the Creative Commons Attribution (CC BY) license (https://creativecommons.org/licenses/by/4.0/).
Share and Cite
Inoue, T.; Kimura, Y. Effect of Delamination and Grain Refinement on Fracture Energy of Ultrafine-Grained Steel Determined Using an Instrumented Charpy Impact Test. Materials 2022, 15, 867. https://doi.org/10.3390/ma15030867
Inoue T, Kimura Y. Effect of Delamination and Grain Refinement on Fracture Energy of Ultrafine-Grained Steel Determined Using an Instrumented Charpy Impact Test. Materials. 2022; 15(3):867. https://doi.org/10.3390/ma15030867
Chicago/Turabian StyleInoue, Tadanobu, and Yuuji Kimura. 2022. "Effect of Delamination and Grain Refinement on Fracture Energy of Ultrafine-Grained Steel Determined Using an Instrumented Charpy Impact Test" Materials 15, no. 3: 867. https://doi.org/10.3390/ma15030867
APA StyleInoue, T., & Kimura, Y. (2022). Effect of Delamination and Grain Refinement on Fracture Energy of Ultrafine-Grained Steel Determined Using an Instrumented Charpy Impact Test. Materials, 15(3), 867. https://doi.org/10.3390/ma15030867

