Biodegradable Thermoplastic Starch/Polycaprolactone Blends with Co-Continuous Morphology Suitable for Local Release of Antibiotics
Abstract
1. Introduction
2. Materials and Methods
2.1. Materials
2.2. TPS/PCL Blend Preparation
2.2.1. Preparation of TPS by Solution Casting
2.2.2. Two-Step Preparation of TPS/PCL Blends
2.2.3. Three-Step Preparation of TPS/PCL Blends
2.3. TPS/PCL Blend Characterization
2.3.1. Rheology
2.3.2. Morphology
2.3.3. Phase Co-Continuity
2.3.4. Micromechanical Properties
2.3.5. Macromechanical Properties
3. Results and Discussion
3.1. Relations between Preparation, Rheology and Morphology of TPS/PCL Blends
3.1.1. Two-Step vs. Three-Step Preparation Procedure
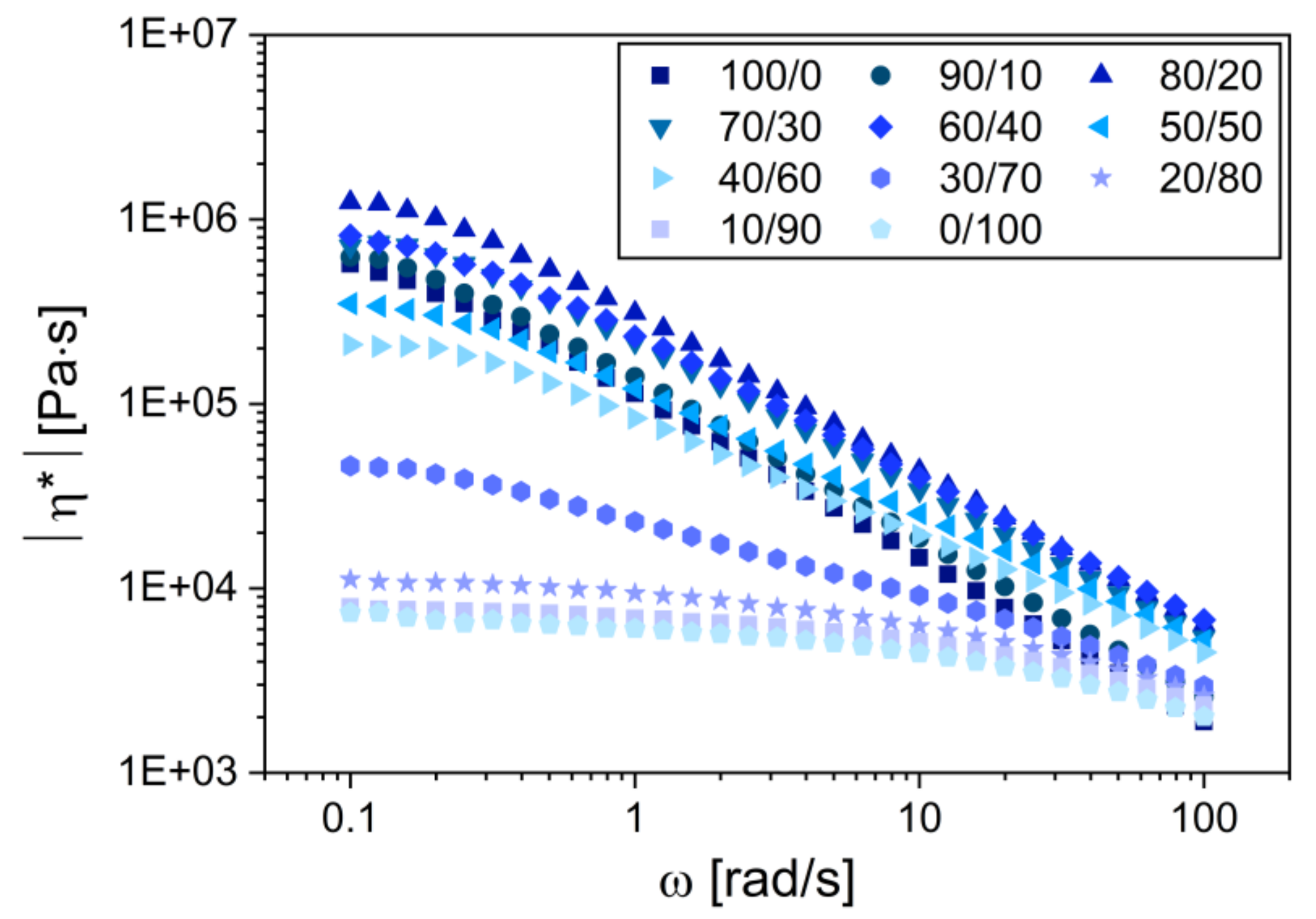
3.1.2. Rheology of TPS/PCL Blends
3.1.3. Morphology of TPS/PCL Blends
3.1.4. Phase Co-Continuity of TPS/PCL Blends
3.2. Micro- and Macromechanical Properties of TPS/PCL Blends
3.2.1. Micromechanical Properties
3.2.2. Macromechanical Properties
3.2.3. Correlations between Micro- and Micromechanical Properties
4. Conclusions
- 1.
- The two-step preparation procedure, comprising the preparation of TPS by solution casting and melt-mixing of TPS with PCL, yielded highly homogeneous TPS/PCL blends reliably and reproducibly;
- 2.
- The TPS/PCL (70/30) blends exhibited co-continuous morphology and the processing temperature during the preparation should be kept below 130 °C due to the addition of the less viscous PCL phase;
- 3.
- The TPS/PCL blends showed high interfacial adhesion and their stiffness-related properties (elastic moduli and hardness) were even slightly above the theoretical predictions based on the EBM model. In other words, the very soft TPS matrix could be stiffened quite efficiently by means of the compatible PCL component;
- 4.
- The mechanical properties of the TPS/PCL blends were characterized in both macroscale (by DMTA) and microscale (by MHI). The correlations between corresponding macro- and micromechanical properties were strong. This confirmed that micromechanical measurements were quite sufficient for the characterization of the mechanical performance of the TPS/PCL blends. Consequently, the future mechanical characterizations of the TPS/PCL/ATB systems, which are usually available in lower volumes due to costly antibiotics, could be performed simply by microindentation hardness testing, which does not require large specimens.
Supplementary Materials
Author Contributions
Funding
Institutional Review Board Statement
Informed Consent Statement
Data Availability Statement
Acknowledgments
Conflicts of Interest
Appendix A. Biomedical Applications of PCL/TPS Blends

Appendix B. Additional Morphology and Rheology Results
- Figure A1: The in-situ measurement during the melt-mixing of the TPS/PCL blends confirmed that the addition of PCL to TPS decreased torque moments and processing temperatures even at low PCL concentrations;
- Figure A2: The comparison of storage (G′) and loss moduli (G″) in oscillatory shear rheometry at 120 °C illustrated that the increasing concentration of TPS gradually increased both stiffness of the system (higher values of G′ and G″) and solid-like nature of the system (G′/G″ ratio). We note that systems with G′ > G″ are regarded as the materials with the predominating solid-like character, while systems with G′ < G″ are regarded as materials with the predominating liquid-like character [48];
- Figure A3: SEM micrographs of fracture surfaces (prepared in liquid nitrogen) documented a very good compatibility and high interfacial adhesion between TPS and PCL components in the whole concentration range, as the fracture propagated through the particles and not along the interface (see ref. [38] for detailed discussion and examples of fracture surfaces for good and bad interface adhesion).


Appendix C. Additional Results of Micro- and Macromechanical Measurements
- Figure A4: Bar plots of micromechanical properties as a function of composition showed that the standard deviations of the measured micromechanical properties were quite low (with the exception of CIT of very soft samples with TPS matrix). Furthermore, they confirmed the strong correlations between all stiffness-related properties (HIT, HM, and EIT);
- Figure A5: Complete results from DMTA analysis, i.e., the temperature dependence of storage modulus (G′), loss modulus (G″), absolute value of complex modulus (|G*|), and damping factor (tan(δ)) supplemented the data from micromechanical and rheological experiments;
- Figure A6: Correlations between all macro- and micromechanical properties summarized in the form of heatmap. The heatmap shows Pearson’s correlation coefficients r for all pairs of stiffness-related properties (G′, EIT, HIT and HM) and viscosity-related properties (G″, tan(δ), CIT and ηIT). The strongest linear positive correlations (r close to +1) are marked with a black color, the strongest linear negative correlations (r close to −1) are marked with a red color. The correlation matrix is symmetric with respect to the main diagonal, which contains values equal to 1 (autocorrelations).




References
- Luckachan, G.E.; Pillai, C.K.S. Biodegradable Polymers—A Review on Recent Trends and Emerging Perspectives. J. Polym. Environ. 2011, 19, 637–676. [Google Scholar] [CrossRef]
- Colnik, M.; Knez-Hrncic, M.; Skerget, M.; Knez, Z. Biodegradable Polymers, Current Trends of Research and Their Applications, a Review. Chem. Ind. Chem. Eng. Q. 2020, 26, 401–418. [Google Scholar] [CrossRef]
- European Bioplastics. Available online: https://www.european-bioplastics.org/bioplastics/materials/ (accessed on 20 December 2021).
- Mohammadi Nafchi, A.; Moradpour, M.; Saeidi, M.; Alias, A.K. Thermoplastic Starches: Properties, Challenges, and Prospects. Starch/Stärke 2013, 65, 61–72. [Google Scholar] [CrossRef]
- Liu, H.; Xie, F.; Yu, L.; Chen, L.; Li, L. Thermal Processing of Starch-Based Polymers. Prog. Polym. Sci. 2009, 34, 1348–1368. [Google Scholar] [CrossRef]
- Huneault, M.A.; Li, H. Preparation and Properties of Extruded Thermoplastic Starch/Polymer Blends. J. Appl. Polym. Sci. 2012, 126, E96–E108. [Google Scholar] [CrossRef]
- Ren, J.; Fu, H.; Ren, T.; Yuan, W. Preparation, Characterization and Properties of Binary and Ternary Blends with Thermoplastic Starch, Poly(Lactic Acid) and Poly(Butylene Adipate-Co-Terephthalate). Carbohydr. Polym. 2009, 77, 576–582. [Google Scholar] [CrossRef]
- Rodriguez-Gonzalez, F.J.; Ramsay, B.A.; Favis, B.D. Rheological and Thermal Properties of Thermoplastic Starch with High Glycerol Content. Carbohydr. Polym. 2004, 58, 139–147. [Google Scholar] [CrossRef]
- Bootklad, M.; Kaewtatip, K. Biodegradation of Thermoplastic Starch/Eggshell Powder Composites. Carbohydr. Polym. 2013, 97, 315–320. [Google Scholar] [CrossRef]
- Matzinos, P.; Tserki, V.; Kontoyiannis, A.; Panayiotou, C. Processing and Characterization of Starch/Polycaprolactone Products. Polym. Degrad. Stab. 2002, 77, 17–24. [Google Scholar] [CrossRef]
- Van Der Burgt, M.C.; Van Der Woude, M.E.; Janssen, L.P.B.M. The Influence of Plasticizer on Extruded Thermoplastic Starch. J. Vinyl Addit. Technol. 1996, 2, 170–174. [Google Scholar] [CrossRef]
- Ivanič, F.; Jochec-Mošková, D.; Janigová, I.; Chodák, I. Physical Properties of Starch Plasticized by a Mixture of Plasticizers. Eur. Polym. J. 2017, 93, 843–849. [Google Scholar] [CrossRef]
- Babaee, M.; Jonoobi, M.; Hamzeh, Y.; Ashori, A. Biodegradability and Mechanical Properties of Reinforced Starch Nanocomposites Using Cellulose Nanofibers. Carbohydr. Polym. 2015, 132, 1–8. [Google Scholar] [CrossRef]
- Wang, J.; Cheng, F.; Zhu, P. Structure and Properties of Urea-Plasticized Starch Films with Different Urea Contents. Carbohydr. Polym. 2014, 101, 1109–1115. [Google Scholar] [CrossRef]
- Shin, B.-Y.; Lee, S.-I.; Shin, Y.-S.; Balakrishnan, S.; Narayan, R. Rheological, Mechanical and Biodegradation Studies on Blends of Thermoplastic Starch and Polycaprolactone. Polym. Eng. Sci. 2004, 44, 1429–1438. [Google Scholar] [CrossRef]
- Ostafińska, A.; Mikešová, J.; Krejčíková, S.; Nevoralová, M.; Šturcová, A.; Zhigunov, A.; Michálková, D.; Šlouf, M. Thermoplastic Starch Composites with TiO2 Particles: Preparation, Morphology, Rheology and Mechanical Properties. Int. J. Biol. Macromol. 2017, 101, 273–282. [Google Scholar] [CrossRef]
- Ujcic, A.; Nevoralova, M.; Dybal, J.; Zhigunov, A.; Kredatusova, J.; Krejcikova, S.; Fortelny, I.; Slouf, M. Thermoplastic Starch Composites Filled With Isometric and Elongated TiO2-Based Nanoparticles. Front. Mater. 2019, 6, 284. [Google Scholar] [CrossRef]
- Ujcic, A.; Krejcikova, S.; Nevoralova, M.; Zhigunov, A.; Dybal, J.; Krulis, Z.; Fulin, P.; Nyc, O.; Slouf, M. Thermoplastic Starch Composites With Titanium Dioxide and Vancomycin Antibiotic: Preparation, Morphology, Thermomechanical Properties, and Antimicrobial Susceptibility Testing. Front. Mater. 2020, 7, 9. [Google Scholar] [CrossRef]
- Kaseem, M.; Hamad, K.; Deri, F. Thermoplastic Starch Blends: A Review of Recent Works. Polym. Sci. Ser. A 2012, 54, 165–176. [Google Scholar] [CrossRef]
- Mina Hernandez, J.H. Effect of the Incorporation of Polycaprolactone (PCL) on the Retrogradation of Binary Blends with Cassava Thermoplastic Starch (TPS). Polymers 2020, 13, 38. [Google Scholar] [CrossRef]
- Labus, K.; Trusek-Holownia, A.; Semba, D.; Ostrowska, J.; Tynski, P.; Bogusz, J. Biodegradable Polylactide and Thermoplastic Starch Blends as Drug Release Device—Mass Transfer Study. Pol. J. Chem. Technol. 2018, 20, 75–80. [Google Scholar] [CrossRef]
- Martin, O.; Avérous, L. Poly(Lactic Acid): Plasticization and Properties of Biodegradable Multiphase Systems. Polymer 2001, 42, 6209–6219. [Google Scholar] [CrossRef]
- Sarazin, P.; Li, G.; Orts, W.J.; Favis, B.D. Binary and Ternary Blends of Polylactide, Polycaprolactone and Thermoplastic Starch. Polymer 2008, 49, 599–609. [Google Scholar] [CrossRef]
- Bou-Francis, A.; Piercey, M.; Al-Qatami, O.; Mazzanti, G.; Khattab, R.; Ghanem, A. Polycaprolactone Blends for Fracture Fixation in Low Load-bearing Applications. J. Appl. Polym. Sci. 2020, 137, 48940. [Google Scholar] [CrossRef]
- Mano, J.F.; Niarova, D.K. Thermal Properties of Thermoplastic Starch/Synthetic Polymer Blends with Potential Biomedical Applicability. J. Mater. Sci. Mater. Med. 2003, 14, 127–135. [Google Scholar] [CrossRef]
- Russo, M.A.L.; O’Sullivan, C.; Rounsefell, B.; Halley, P.J.; Truss, R.; Clarke, W.P. The Anaerobic Degradability of Thermoplastic Starch: Polyvinyl Alcohol Blends: Potential Biodegradable Food Packaging Materials. Bioresour. Technol. 2009, 100, 1705–1710. [Google Scholar] [CrossRef]
- Bastioli, C.; Bellotti, V.; Giudice, L.; Gilli, G. Mater-Bi: Properties and Biodegradability. J. Environ. Polym. Degrad. 1993, 1, 181–191. [Google Scholar] [CrossRef]
- Bastioli, C. Properties and Applications of Mater-Bi Starch-Based Materials. Polym. Degrad. Stab. 1998, 59, 263–272. [Google Scholar] [CrossRef]
- Lörcks, J. Properties and Applications of Compostable Starch-Based Plastic Material. Polym. Degrad. Stab. 1998, 59, 245–249. [Google Scholar] [CrossRef]
- Quiles-Carrillo, L.; Montanes, N.; Pineiro, F.; Jorda-Vilaplana, A.; Torres-Giner, S. Ductility and Toughness Improvement of Injection-Molded Compostable Pieces of Polylactide by Melt Blending with Poly(ε-Caprolactone) and Thermoplastic Starch. Materials 2018, 11, 2138. [Google Scholar] [CrossRef] [PubMed]
- Guarás, M.P.; Alvarez, V.A.; Ludueña, L.N. Processing and Characterization of Thermoplastic Starch/Polycaprolactone/Compatibilizer Ternary Blends for Packaging Applications. J. Polym. Res. 2015, 22, 165. [Google Scholar] [CrossRef]
- Diaz, C.A.; Shah, R.K.; Evans, T.; Trabold, T.A.; Draper, K. Thermoformed Containers Based on Starch and Starch/Coffee Waste Biochar Composites. Energies 2020, 13, 6034. [Google Scholar] [CrossRef]
- Gheorghita, R.; Anchidin-Norocel, L.; Filip, R.; Dimian, M.; Covasa, M. Applications of Biopolymers for Drugs and Probiotics Delivery. Polymers 2021, 13, 2729. [Google Scholar] [CrossRef] [PubMed]
- Balmayor, E.R.; Tuzlakoglu, K.; Azevedo, H.S.; Reis, R.L. Preparation and Characterization of Starch-Poly-ε-Caprolactone Microparticles Incorporating Bioactive Agents for Drug Delivery and Tissue Engineering Applications. Acta Biomater. 2009, 5, 1035–1045. [Google Scholar] [CrossRef] [PubMed][Green Version]
- Masters, E.A.; Trombetta, R.P.; de Mesy Bentley, K.L.; Boyce, B.F.; Gill, A.L.; Gill, S.R.; Nishitani, K.; Ishikawa, M.; Morita, Y.; Ito, H.; et al. Evolving Concepts in Bone Infection: Redefining “Biofilm”, “Acute vs. Chronic Osteomyelitis”, “the Immune Proteome” and “Local Antibiotic Therapy”. Bone Res. 2019, 7, 20. [Google Scholar] [CrossRef]
- Slouf, M.; Krulis, Z.; Ostafinska, A.; Nevoralova, M.; Krejcikova, S. Polymerní Termoplastická Biodegradovatelná Kompozice Pro Výrobu Vložek k Léčení a Prevenci Lokálních Infektů a Způsob Její Přípravy. Czech Patent CZ 307056, 8 November 2017. [Google Scholar]
- Fortelný, I.; Šlouf, M.; Sikora, A.; Hlavatá, D.; Hašová, V.; Mikešová, J.; Jacob, C. The Effect of the Architecture and Concentration of Styrene–Butadiene Compatibilizers on the Morphology of Polystyrene/Low-Density Polyethylene Blends. J. Appl. Polym. Sci. 2006, 100, 2803–2816. [Google Scholar] [CrossRef]
- Kalasova, D.; Zikmund, T.; Pina, L.; Takeda, Y.; Horvath, M.; Omote, K.; Kaiser, J. Characterization of a Laboratory-Based X-Ray Computed Nanotomography System for Propagation-Based Method of Phase Contrast Imaging. IEEE Trans. Instrum. Meas. 2020, 69, 1170–1178. [Google Scholar] [CrossRef]
- Lifton, J.J.; Liu, T. Evaluation of the Standard Measurement Uncertainty Due to the ISO50 Surface Determination Method for Dimensional Computed Tomography. Precis. Eng. 2020, 61, 82–92. [Google Scholar] [CrossRef]
- Slouf, M.; Strachota, B.; Strachota, A.; Gajdosova, V.; Bertschova, V.; Nohava, J. Macro-, Micro- and Nanomechanical Characterization of Crosslinked Polymers with Very Broad Range of Mechanical Properties. Polymers 2020, 12, 2951. [Google Scholar] [CrossRef]
- Slouf, M.; Krajenta, J.; Gajdosova, V.; Pawlak, A. Macromechanical and Micromechanical Properties of Polymers with Reduced Density of Entanglements. Polym. Eng. Sci. 2021, 61, 1773–1790. [Google Scholar] [CrossRef]
- Samara, E.; Moriarty, T.F.; Decosterd, L.A.; Richards, R.G.; Gautier, E.; Wahl, P. Antibiotic Stability over Six Weeks in Aqueous Solution at Body Temperature with and without Heat Treatment That Mimics the Curing of Bone Cement. Bone Jt. Res. 2017, 6, 296–306. [Google Scholar] [CrossRef]
- Carli, A.V.; Sethuraman, A.S.; Bhimani, S.J.; Ross, F.P.; Bostrom, M.P.G. Selected Heat-Sensitive Antibiotics Are Not Inactivated During Polymethylmethacrylate Curing and Can Be Used in Cement Spacers for Periprosthetic Joint Infection. J. Arthroplasty 2018, 33, 1930–1935. [Google Scholar] [CrossRef]
- Traub, W.H.; Leonhard, B. Heat Stability of the Antimicrobial Activity of Sixty-Two Antibacterial Agents. J. Antimicrob. Chemother. 1995, 35, 149–154. [Google Scholar] [CrossRef]
- Dwivedi, C.; Pandey, H.; Pandey, A.; Ramteke, P. Fabrication and Assessment of Gentamicin Loaded Electrospun Nanofibrous Scaffolds as a Quick Wound Healing Dressing Material. Curr. Nanosci. 2015, 11, 222–228. [Google Scholar] [CrossRef]
- Isaev, A.I. Encyclopedia of Polymer Blends; Wiley-VCH Verlag GmbH & Co. KGaA: Weinheim, Germany, 2011; ISBN 978-3-527-31930-5. [Google Scholar]
- Mezger, T.G. The Rheology Handbook, 4th ed.; Vincentz Network: Hanover, Germany, 2014; ISBN 978-3-7486-0036-7. [Google Scholar]
- Šlouf, M.; Kolařík, J.; Kotek, J. Rubber-Toughened Polypropylene/Acrylonitrile-Co-Butadiene-Co-Styrene Blends: Morphology and Mechanical Properties. Polym. Eng. Sci. 2007, 47, 582–592. [Google Scholar] [CrossRef]
- Vacková, T.; Slouf, M.; Nevoralová, M.; Kaprálková, L. HDPE/COC Blends with Fibrous Morphology and Their Properties. Eur. Polym. J. 2012, 48, 2031–2039. [Google Scholar] [CrossRef]
- Ostafinska, A.; Vackova, T.; Slouf, M. Strong Synergistic Improvement of Mechanical Properties in HDPE/COC Blends with Fibrillar Morphology. Polym. Eng. Sci. 2018, 58, 1955–1964. [Google Scholar] [CrossRef]
- Paul, D.R.; Barlow, J.W. Polymer Blends. J. Macromol. Sci. Part C 1980, 18, 109–168. [Google Scholar] [CrossRef]
- Oliver, W.C.; Pharr, G.M. Nanoindentation in Materials Research: Past, Present, and Future. MRS Bull. 2010, 35, 897–907. [Google Scholar] [CrossRef]
- Ward, I.M.; Sweeney, J. An Introduction to the Mechanical Properties of Solid Polymers, 2nd ed.; Wiley: Chichester, UK, 2004; ISBN 978-0-471-49625-0. [Google Scholar]
- Baltá Calleja, F.J.; Fakirov, S. Microhardness of Polymers, 1st ed.; Cambridge University Press: Cambridge, UK, 2000; ISBN 978-0-521-64218-7. [Google Scholar]
- Slouf, M.; Pavlova, E.; Krejcikova, S.; Ostafinska, A.; Zhigunov, A.; Krzyzanek, V.; Sowinski, P.; Piorkowska, E. Relations between Morphology and Micromechanical Properties of Alpha, Beta and Gamma Phases of IPP. Polym. Test. 2018, 67, 522–532. [Google Scholar] [CrossRef]
- Nielsen, L.E.; Landel, R.F. Mechanical Properties of Polymers and Composites, 2nd ed.; M. Dekker: New York, NY, USA, 1994; ISBN 978-0-8247-8964-0. [Google Scholar]
- Kolarik, J. Simultaneous Prediction of the Modulus and Yield Strength of Binary Polymer Blends. Polym. Eng. Sci. 1996, 36, 2518–2524. [Google Scholar] [CrossRef]
- Slouf, M.; Ujcic, A.; Nevoralova, M.; Vackova, T.; Fambri, L.; Kelnar, I. Monitoring of Morphology and Properties During Preparation of PCL/PLA Microfibrillar Composites With Organophilic Montmorillonite. Front. Mater. 2020, 7, 188. [Google Scholar] [CrossRef]
- Tabor, D. The Hardness of Metals; Oxford Classic Texts in the Physical Sciences; Oxford University Press: Oxford, UK, 1951; ISBN 978-0-598-84515-3. [Google Scholar]
- Pegoretti, A.; Kolarík, J.; Fambri, L.; Penati, A. Polypropylene/Cycloolefin Copolymer Blends: Effects of Fibrous Phase Structure on Tensile Mechanical Properties. Polymer 2003, 44, 3381–3387. [Google Scholar] [CrossRef]
- Averous, L. Properties of Thermoplastic Blends: Starch–Polycaprolactone. Polymer 2000, 41, 4157–4167. [Google Scholar] [CrossRef]
- Li, G.; Favis, B.D. Morphology Development and Interfacial Interactions in Polycaprolactone/Thermoplastic-Starch Blends: Morphology Development and Interfacial Interactions. Macromol. Chem. Phys. 2010, 211, 321–333. [Google Scholar] [CrossRef]
- Herrmann, K. (Ed.) Hardness Testing: Principles and Applications; ASM International: Russell, OH, USA, 2011; ISBN 978-1-61503-832-9. [Google Scholar]
- Mahieu, A.; Terrié, C.; Agoulon, A.; Leblanc, N.; Youssef, B. Thermoplastic Starch and Poly(ε-Caprolactone) Blends: Morphology and Mechanical Properties as a Function of Relative Humidity. J. Polym. Res. 2013, 20, 229. [Google Scholar] [CrossRef]
- Ali Akbari Ghavimi, S.; Ebrahimzadeh, M.H.; Solati-Hashjin, M.; Abu Osman, N.A. Polycaprolactone/Starch Composite: Fabrication, Structure, Properties, and Applications. J. Biomed. Mater. Res. 2015, 103, 2482–2498. [Google Scholar] [CrossRef]
- Labet, M.; Thielemans, W. Synthesis of Polycaprolactone: A Review. Chem. Soc. Rev. 2009, 38, 3484. [Google Scholar] [CrossRef]
- Leja, K.; Lewandowicz, G. Polymer Biodegradation and Biodegradable Polymers—A Review. Pol. J. Environ. Stud. 2010, 19, 255–266. [Google Scholar]








| Sample ID | Wt.% (TPS) | Wt.% (PCL) |
|---|---|---|
| TPS/PCL (0/100) | 0 | 100 |
| TPS/PCL (10/90) | 10 | 90 |
| TPS/PCL (20/80) | 20 | 80 |
| TPS/PCL (30/70) | 30 | 70 |
| TPS/PCL (40/60) | 40 | 60 |
| TPS/PCL (50/50) | 50 | 50 |
| TPS/PCL (60/40) | 60 | 40 |
| TPS/PCL (70/30) | 70 | 30 |
| TPS/PCL (80/20) | 80 | 20 |
| TPS/PCL (90/10) | 90 | 10 |
| TPS/PCL (100/0) | 100 | 0 |
Publisher’s Note: MDPI stays neutral with regard to jurisdictional claims in published maps and institutional affiliations. |
© 2022 by the authors. Licensee MDPI, Basel, Switzerland. This article is an open access article distributed under the terms and conditions of the Creative Commons Attribution (CC BY) license (https://creativecommons.org/licenses/by/4.0/).
Share and Cite
Gajdosova, V.; Strachota, B.; Strachota, A.; Michalkova, D.; Krejcikova, S.; Fulin, P.; Nyc, O.; Brinek, A.; Zemek, M.; Slouf, M. Biodegradable Thermoplastic Starch/Polycaprolactone Blends with Co-Continuous Morphology Suitable for Local Release of Antibiotics. Materials 2022, 15, 1101. https://doi.org/10.3390/ma15031101
Gajdosova V, Strachota B, Strachota A, Michalkova D, Krejcikova S, Fulin P, Nyc O, Brinek A, Zemek M, Slouf M. Biodegradable Thermoplastic Starch/Polycaprolactone Blends with Co-Continuous Morphology Suitable for Local Release of Antibiotics. Materials. 2022; 15(3):1101. https://doi.org/10.3390/ma15031101
Chicago/Turabian StyleGajdosova, Veronika, Beata Strachota, Adam Strachota, Danuse Michalkova, Sabina Krejcikova, Petr Fulin, Otakar Nyc, Adam Brinek, Marek Zemek, and Miroslav Slouf. 2022. "Biodegradable Thermoplastic Starch/Polycaprolactone Blends with Co-Continuous Morphology Suitable for Local Release of Antibiotics" Materials 15, no. 3: 1101. https://doi.org/10.3390/ma15031101
APA StyleGajdosova, V., Strachota, B., Strachota, A., Michalkova, D., Krejcikova, S., Fulin, P., Nyc, O., Brinek, A., Zemek, M., & Slouf, M. (2022). Biodegradable Thermoplastic Starch/Polycaprolactone Blends with Co-Continuous Morphology Suitable for Local Release of Antibiotics. Materials, 15(3), 1101. https://doi.org/10.3390/ma15031101

