Analysis of Early-Age Hydration Behavior and Micro-Mechanism of Coral Sand Cement Mortar
Abstract
:1. Introduction
2. Materials and Methods
2.1. Materials
2.2. Method
2.3. Experimental Procedure
3. Results and Discussions
3.1. Early Hydration Temperature
3.2. Early Shrinkage Strain
- (1)
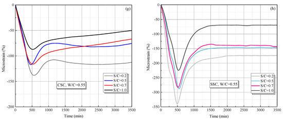
- When the W/C is small, there is less free water in the cement paste and it has little impact on the shrinkage, thus the peak strain is mainly affected by the aggregate. The existence of aggregate can inhibit the shrinkage of hydration products, which is proven in Figure 10, i.e., with the increase in aggregate material (S/C), the peak shrinkage strain in CSC decreases linearly. Meanwhile, a larger aggregate modulus can also inhibit the shrinkage of hydration products. Due to the porosity of CS, its aggregate modulus is lower than that of SS, therefore leading to a relatively serious peak strain in CSC.
- (2)
- When the W/C is large, there is more free water in the cement paste, therefore the autogenous shrinkage of cement is enhanced due to more water loss (shown in SS). However, because CS has good water absorption and releasing characteristics [40], it can absorb excess free water in the case of large W/C, leading to a reduction of water loss.
- (3)
- Figure 11 shows the micro-morphologies of CS cement paste for different S/C, and it shows that the hydration products are mainly adsorbed on the surface of CS at a low S/C. Meanwhile, with the increase in S/C, more products are found in pores, which is proven in a locally enlarged micro-morphology in Figure 12. Fibrous hydration products in the pores mean the wet environment formed in the pores can cure the cement products and further reduce the shrinkage strain. Moreover, due to the uneven surface of CS, hydration products can be closely combined with CS to reduce a part of the volume shrinkage.
4. Conclusions
- (1)
- The early-age hydration temperatures and shrinkage strains of cement paste can be measured simultaneously by the FBG monitoring system with high accuracy and stability. Due to the high sensitivity and fitness of optical fiber, the proposed monitoring system provides a good measurement method for studying the early hydration behavior of cement paste. The results show that the W/C and S/C have less of an effect on the initial setting time of CSC mortar. The peak strain and temperature of CSC mortar vary monotonically with W/C and S/C.
- (2)
- Compared with the SSC, the peak hydration temperature of CSC is significantly reduced. The maximum relative difference of the peak temperature was 68.5%, which indicated that the CSC can effectively reduce the influence of hydration heat due to better heat-absorption capacity. As an eco-friendly lightweight aggregate, coral sand can effectively alleviate the hydration heat of mass concrete.
- (3)
- With the increase in S/C, the hydration peak temperature of CSC decreased linearly, which indicated that CSC had superior heat-absorption capacity due to the porosity. The peak temperature decreased gradually with the increase in W/C, indicating that CSC can absorb excess water and further improve its heat-absorption capacity with the increase in W/C.
- (4)
- Due to the relatively small modulus, the peak shrinkage strain of CSC was larger than that of SSC for a smaller value of W/C (i.e., 0.4 or 0.45), while, with the increase in W/C (0.5, 0.55), more free water evaporation leads to serious shrinkage strain in SSC, and a better water retention ability reduces the shrinkage in CSC due to its porosity characteristics of CS. Therefore, CS is more suitable as an aggregate than SS for the design of high W/C under the meeting of strength.
Author Contributions
Funding
Institutional Review Board Statement
Informed Consent Statement
Data Availability Statement
Conflicts of Interest
References
- Wang, A.; Lyu, B.; Zhang, Z.; Liu, K.; Xu, H.; Sun, D. The development of coral concretes and their upgrading technologies: A critical review. Constr. Build. Mater. 2018, 187, 1004–1019. [Google Scholar] [CrossRef]
- Wang, Q.; Li, P.; Tian, Y.; Chen, W.; Su, C. Mechanical properties and microstructure of Portland cement concrete prepared with coral reef sand. J. Wuhan Univ. Technol.-Mat. Sci. Edit. 2016, 31, 996–1001. [Google Scholar] [CrossRef]
- Scrivener, K.L.; Kirkpatrick, R.J. Innovation in use and research on cementitious material. Cem. Concr. Res. 2008, 38, 128–136. [Google Scholar] [CrossRef]
- Huang, Y.; Li, X.; Lu, Y.; Wang, H.; Wang, Q.; Sun, H.; Li, D. Effect of mix component on the mechanical properties of coral concrete under axial compression. Constr. Build. Mater. 2019, 223, 736–754. [Google Scholar] [CrossRef]
- Wang, X.; Yu, R.; Shui, Z.; Song, Q.; Zhang, Z. Mix design and characteristics evaluation of an eco-friendly Ultra-High Performance Concrete incorporating recycled coral based materials. J. Clean. Prod. 2017, 165, 70–80. [Google Scholar] [CrossRef]
- Shi, H.; Yu, Z.; Ma, J.; Ni, C.; Shen, X. Properties of Portland cement paste blended with coral sand powder. Constr. Build. Mater. 2019, 203, 662–669. [Google Scholar] [CrossRef]
- Arumugam, R.A.; Ramamurthy, K. Study of compressive strength characteristics of coral aggregate concrete. Mag. Concr. Res. 1996, 48, 141–148. [Google Scholar] [CrossRef]
- Liu, J.M.; Ju, B.Y.; Xie, W.; Yu, H.; Xiao, H.Y.; Dong, S.L.; Yang, W.S. Design and Evaluation of an Ultrahigh-Strength Coral Aggregate Concrete for Maritime and Reef Engineering. Materials 2021, 14, 5871. [Google Scholar] [CrossRef]
- Wang, L.; Zhao, Y. The comparison of coral concrete and other light weight aggregate concrete on mechanics performance. Adv. Mater. Res. 2012, 446–449, 3369–3372. [Google Scholar] [CrossRef]
- Xu, W.; Yang, S.; Xu, C.; Sun, H. Study on fracture properties of alkali-activated slag seawater coral aggregate concrete. Constr. Build. Mater. 2019, 223, 91–105. [Google Scholar] [CrossRef]
- Sun, B. Mechanical Property Test of Silica Fume Reinforced Coral Concrete. Low Temp. Constr. Technol. 2014, 36, 12–14. [Google Scholar] [CrossRef]
- Da, B.; Yu, H.; Ma, H.; Tan, Y.; Mi, R.; Dou, X. Experimental investigation of whole stress-strain curves of coral concrete. Constr. Build. Mater. 2016, 122, 81–89. [Google Scholar] [CrossRef]
- Cheng, S.; Shui, Z.; Sun, T.; Zhang, G.; Ding, S. Effects of fly ash, blast furnace slag and metakaolin on mechanical properties and durability of coral sand concrete. Appl. Clay Sci. 2017, 141, 111–117. [Google Scholar] [CrossRef]
- Li, Y.; Zhou, L.; Zhang, Y.; Cui, J.; Shao, J. Study on Long-Term Performance of Concrete Based on Seawater, Sea Sand and Coral Sand. Adv. Mater. Res. 2013, 706–708, 512–515. [Google Scholar] [CrossRef]
- Wang, Y.; Shui, Z.; Gao, X.; Huang, Y.; Yu, R.; Li, X.; Yang, R. Utilizing coral waste and metakaolin to produce eco-friendly marine mortar: Hydration, mechanical properties and durability. J. Clean. Prod. 2019, 219, 763–774. [Google Scholar] [CrossRef]
- Wattanachai, P.; Otsuki, N.; Saito, T.; Nishida, T. A Study on Chloride Ion Diffusivity of Porous Aggregate Concretes and Improvement Method. Doboku Gakkai Ronbunshuu E 2009, 65, 30–44. [Google Scholar] [CrossRef] [Green Version]
- Kong, Q.; Hou, S.; Ji, Q.; Mo, Y.L.; Song, G. Very early age concrete hydration characterization monitoring using piezoceramic based smart aggregates. Smart Mater. Struct. 2013, 22, 85025. [Google Scholar] [CrossRef]
- Kong, Q.; Song, G. A Comparative Study of the Very Early Age Cement Hydration Monitoring Using Compressive and Shear Mode Smart Aggregates. IEEE Sens. J. 2017, 17, 256–260. [Google Scholar] [CrossRef]
- Mao, L.; Yuan, Z.; Yang, M.; Liu, H.; Chiang, F. 3D strain evolution in concrete using in situ X-ray computed tomography testing and digital volumetric speckle photography. Measurement 2019, 133, 456–467. [Google Scholar] [CrossRef]
- Stutzman, P. Scanning electron microscopy imaging of hydraulic cement microstructure. Cem. Concr. Compos. 2004, 26, 957–966. [Google Scholar] [CrossRef]
- Ylmén, R.; Jäglid, U.; Steenari, B.; Panas, I. Cement and Concrete Research Early hydration and setting of Portland cement monitored by IR, SEM and Vicat techniques. Cem. Concr. Res. 2009, 39, 433–439. [Google Scholar] [CrossRef]
- Zhang, C.; Panda, G.P.; Yan, Q.; Zhang, W.; Vipulanandan, C.; Song, G. Monitoring early-age hydration and setting of portland cement paste by piezoelectric transducers via electromechanical impedance method. Constr. Build. Mater. 2020, 258, 120348. [Google Scholar] [CrossRef]
- Feng, X.; Garboczi, E.J.; Bentz, D.P.; Stutzman, P.E.; Mason, T.O. Estimation of the degree of hydration of blended cement pastes by a scanning electron microscope point-counting procedure. Cem. Concr. Res. 2004, 34, 1787–1793. [Google Scholar] [CrossRef]
- Flores-Alés, V.; Martín-del-Río, J.J.; Alducin-Ochoa, J.M.; Torres-González, M. Rehydration on high temperature-mortars based on recycled glass as aggregate. J. Clean. Prod. 2020, 275, 124139. [Google Scholar] [CrossRef]
- Pei, H.; Zhang, S.; Bai, L.; Hou, D.; Yang, Q.; Borana, L. Early-age shrinkage strain measurements of the graphene oxide modified magnesium potassium phosphate cement. Measurement 2019, 139, 293–300. [Google Scholar] [CrossRef]
- Li, H.; Li, D.; Song, G. Recent applications of fiber optic sensors to health monitoring in civil engineering. Eng. Struct. 2004, 26, 1647–1657. [Google Scholar] [CrossRef]
- Mieloszyk, M.; Ostachowicz, W. An application of Structural Health Monitoring system based on FBG sensors to offshore wind turbine support structure model. Mar. Struct. 2017, 51, 65–86. [Google Scholar] [CrossRef]
- Wong, A.C.L.; Childs, P.A.; Berndt, R.; Macken, T.; Peng, G.; Gowripalan, N. Simultaneous measurement of shrinkage and temperature of reactive powder concrete at early-age using fibre Bragg grating sensors. Cem. Concr. Compos. 2007, 29, 490–497. [Google Scholar] [CrossRef]
- Luo, D.; Ibrahim, Z.; Ismail, Z.; Xu, B. Optimization of the Geometries of Biconical Tapered Fiber Sensors for Monitoring the Early-Age Curing Temperatures of Concrete Specimens. Comput.-Aided Civ. Infrastruct. Eng. 2013, 28, 531–541. [Google Scholar] [CrossRef]
- Rubio-hernández, F.J.; Adarve-Castro, A.; Velázquez-navarro, J.F.; Páez-flor, N.M.; Delgado-garcía, R. Influence of water/cement ratio, and type and concentration of chemical additives on the static and dynamic yield stresses of Portland cement paste. Constr. Build. Mater. 2020, 235, 117744. [Google Scholar] [CrossRef]
- Piasta, W.; Zarzycki, B. The effect of cement paste volume and w/c ratio on shrinkage strain, water absorption and compressive strength of high performance concrete. Constr. Build. Mater. 2017, 140, 395–402. [Google Scholar] [CrossRef]
- Domaga, L. The effect of lightweight aggregate water absorption on the reduction of water-cement ratio in fresh concrete. Procedia Eng. 2015, 108, 206–213. [Google Scholar] [CrossRef] [Green Version]
- Hee, S.; Jin, J.; Joo, D.; Chung, Y. Effect of sand grain size and sand-to-cement ratio on the interfacial bond strength of steel fibers embedded in mortars. Constr. Build. Mater. 2013, 47, 1421–1430. [Google Scholar] [CrossRef]
- Hou, H.Y.; Ca, Y.Y.; Zhang, S.D.; Guan, Y.F. Analysis of strength-deformation behavior of coral sand with different densities and stress levels. Hydro-Sci. Eng. 2020, 1, 92–97. (In Chinese) [Google Scholar]
- Knopoff, L. Advances in earth science. J. Franklin Inst. 1966, 282, 342–343. [Google Scholar] [CrossRef]
- Pei, H.; Yang, Q.; Li, Z. Early-age performance investigations of magnesium phosphate cement by using fiber Bragg grating. Constr. Build. Mater. 2016, 120, 147–149. [Google Scholar] [CrossRef]
- Pei, H.; Li, Z.; Li, Y. Early-age shrinkage and temperature optimization for cement paste by using PCM and MgO based on FBG sensing technique. Constr. Build. Mater. 2016, 117, 58–62. [Google Scholar] [CrossRef]
- Lin, S.K.; Huang, C.H.; Chang, C.S.; Yen, T.; Wu, C.H.; Lin, Y. Simultaneous measurement of deformation and temperature of high-strength concrete at very early age to determine the initial and the finial setting time. J. Mar. Sci. Technol. 2010, 18, 284–289. [Google Scholar] [CrossRef]
- Luo, D.; Ismail, Z.; Ibrahim, Z. Added advantages in using a fiber Bragg grating sensor in the determination of early age setting time for cement pastes. Measurement 2013, 46, 4313–4320. [Google Scholar] [CrossRef]
- Liu, K.; Yu, R.; Shui, Z.; Yi, S.; Li, X.; Ling, G.; He, Y. Influence of external water introduced by coral sand on autogenous shrinkage and microstructure development of Ultra-High Strength Concrete (UHSC). Constr. Build. Mater. 2020, 252, 119111. [Google Scholar] [CrossRef]















| Test Number | OPC/g | W/C | Water/g | Aggregate/g | S/C |
|---|---|---|---|---|---|
| 1 | 80 | 0.4 | 32 | 16 | 0.2 |
| 2 | 40 | 0.5 | |||
| 3 | 56 | 0.7 | |||
| 4 | 80 | 1 | |||
| 5 | 80 | 0.45 | 36 | 16 | 0.2 |
| 6 | 40 | 0.5 | |||
| 7 | 56 | 0.7 | |||
| 8 | 80 | 1 | |||
| 9 | 80 | 0.5 | 40 | 16 | 0.2 |
| 10 | 40 | 0.5 | |||
| 11 | 56 | 0.7 | |||
| 12 | 80 | 1 | |||
| 13 | 80 | 0.55 | 44 | 16 | 0.2 |
| 14 | 40 | 0.5 | |||
| 15 | 56 | 0.7 | |||
| 16 | 80 | 1 |
| S/C | Peak Temperature Difference (%) | |||
|---|---|---|---|---|
| W/C = 0.4 | W/C = 0.45 | W/C = 0.5 | W/C = 0.55 | |
| 0.2 | 23.7 | 36.7 | 56.6 | 60.5 |
| 0.5 | 26.3 | 48.3 | 57.7 | 57.2 |
| 0.7 | 9.0 | 36.4 | 49.2 | 64.9 |
| 1 | 30.3 | 46.3 | 68.5 | 67.4 |
| W/C | Relative Difference of Peak Shrinkage Strain (%) | ||||
|---|---|---|---|---|---|
| S/C = 0.2 | S/C = 0.2 | S/C = 0.2 | S/C = 0.1 | Mean Value | |
| 0.4 | 32.52 | 86.98 | 151.20 | 166.77 | 109.37 |
| 0.45 | 21.18 | 29.93 | 42.67 | 21.97 | 28.94 |
| 0.5 | −15.56 | −5.20 | 33.92 | −26.71 | −3.39 |
| 0.55 | −59.33 | −59.22 | −58.94 | −61.17 | −59.67 |
Publisher’s Note: MDPI stays neutral with regard to jurisdictional claims in published maps and institutional affiliations. |
© 2022 by the authors. Licensee MDPI, Basel, Switzerland. This article is an open access article distributed under the terms and conditions of the Creative Commons Attribution (CC BY) license (https://creativecommons.org/licenses/by/4.0/).
Share and Cite
Qin, Y.; Meng, F.; Zhang, Z. Analysis of Early-Age Hydration Behavior and Micro-Mechanism of Coral Sand Cement Mortar. Materials 2022, 15, 1074. https://doi.org/10.3390/ma15031074
Qin Y, Meng F, Zhang Z. Analysis of Early-Age Hydration Behavior and Micro-Mechanism of Coral Sand Cement Mortar. Materials. 2022; 15(3):1074. https://doi.org/10.3390/ma15031074
Chicago/Turabian StyleQin, Yue, Fanhua Meng, and Zhao Zhang. 2022. "Analysis of Early-Age Hydration Behavior and Micro-Mechanism of Coral Sand Cement Mortar" Materials 15, no. 3: 1074. https://doi.org/10.3390/ma15031074
APA StyleQin, Y., Meng, F., & Zhang, Z. (2022). Analysis of Early-Age Hydration Behavior and Micro-Mechanism of Coral Sand Cement Mortar. Materials, 15(3), 1074. https://doi.org/10.3390/ma15031074

