Tuning Ferromagnetism in a Single Layer of Fe above Room Temperature
Abstract
:1. Introduction
2. Materials and Methods
2.1. Experiment
2.2. Calculations
3. Results and Discussion
3.1. Growth and Crystallographic Structure
3.2. Magnetic Structure of Fe Monolayer
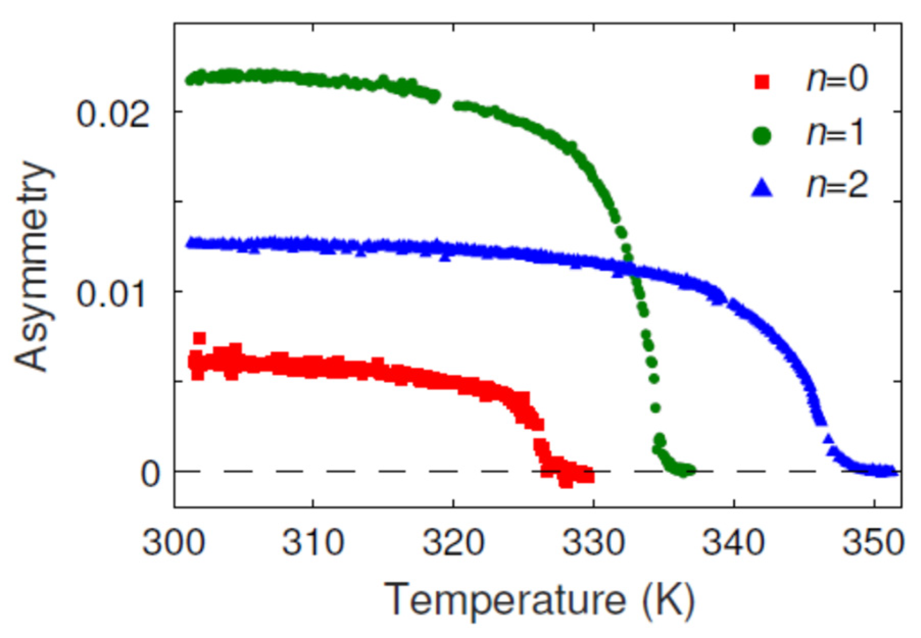
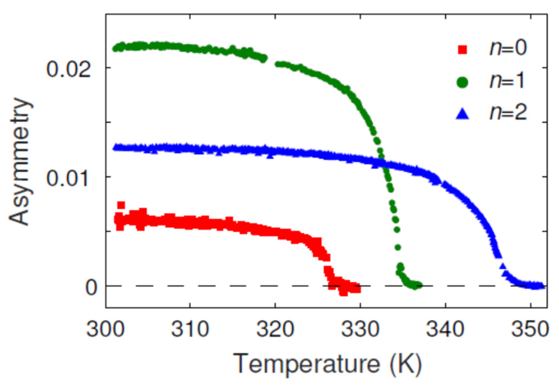
3.3. Magnetic Structure of Au-Capped Fe Monolayer
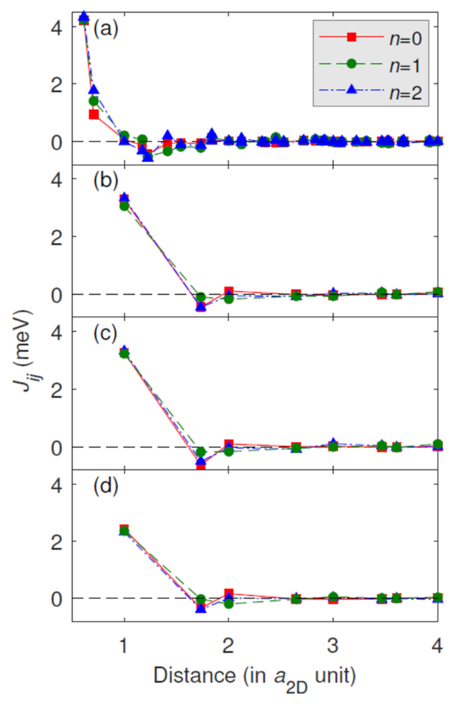
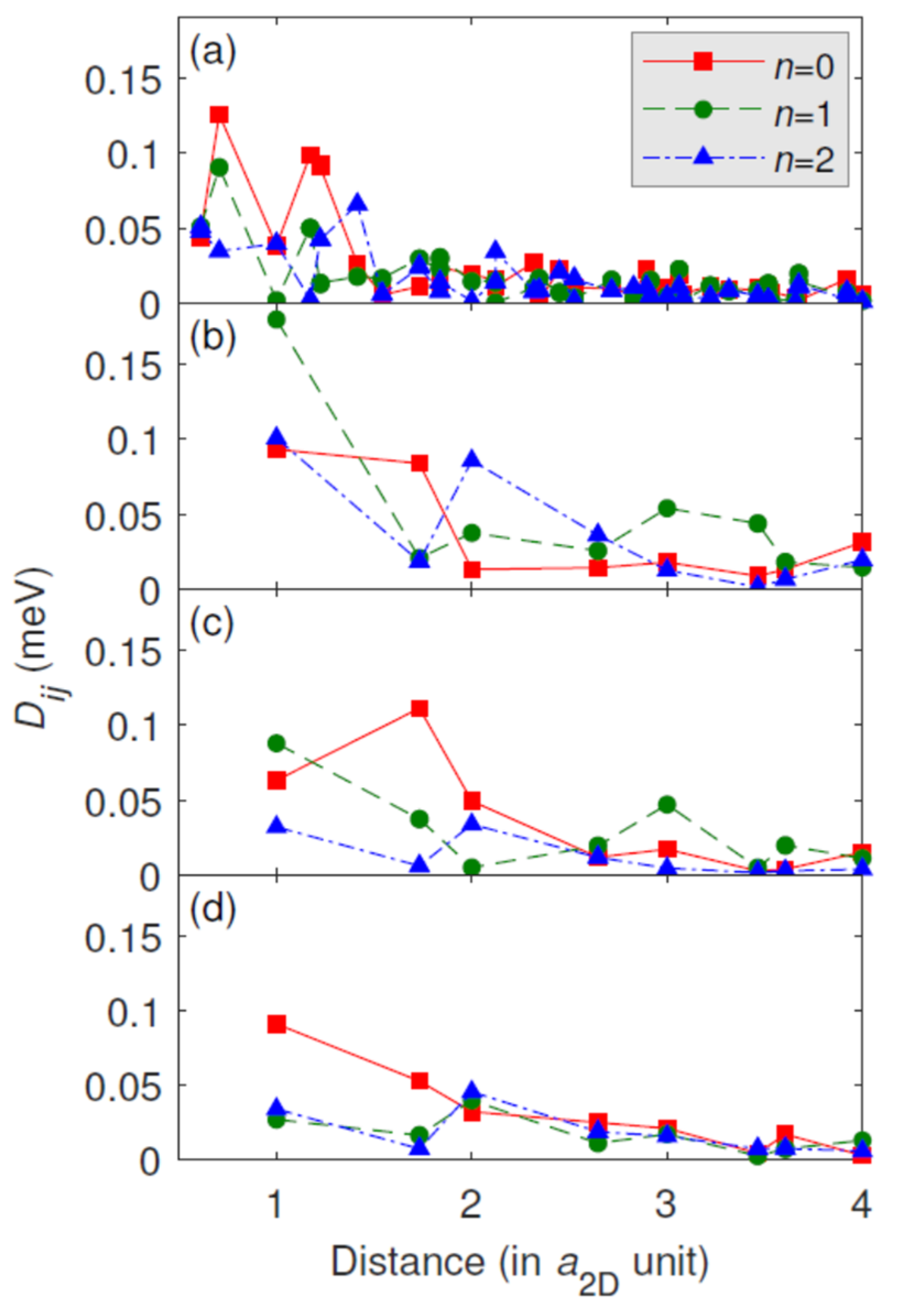
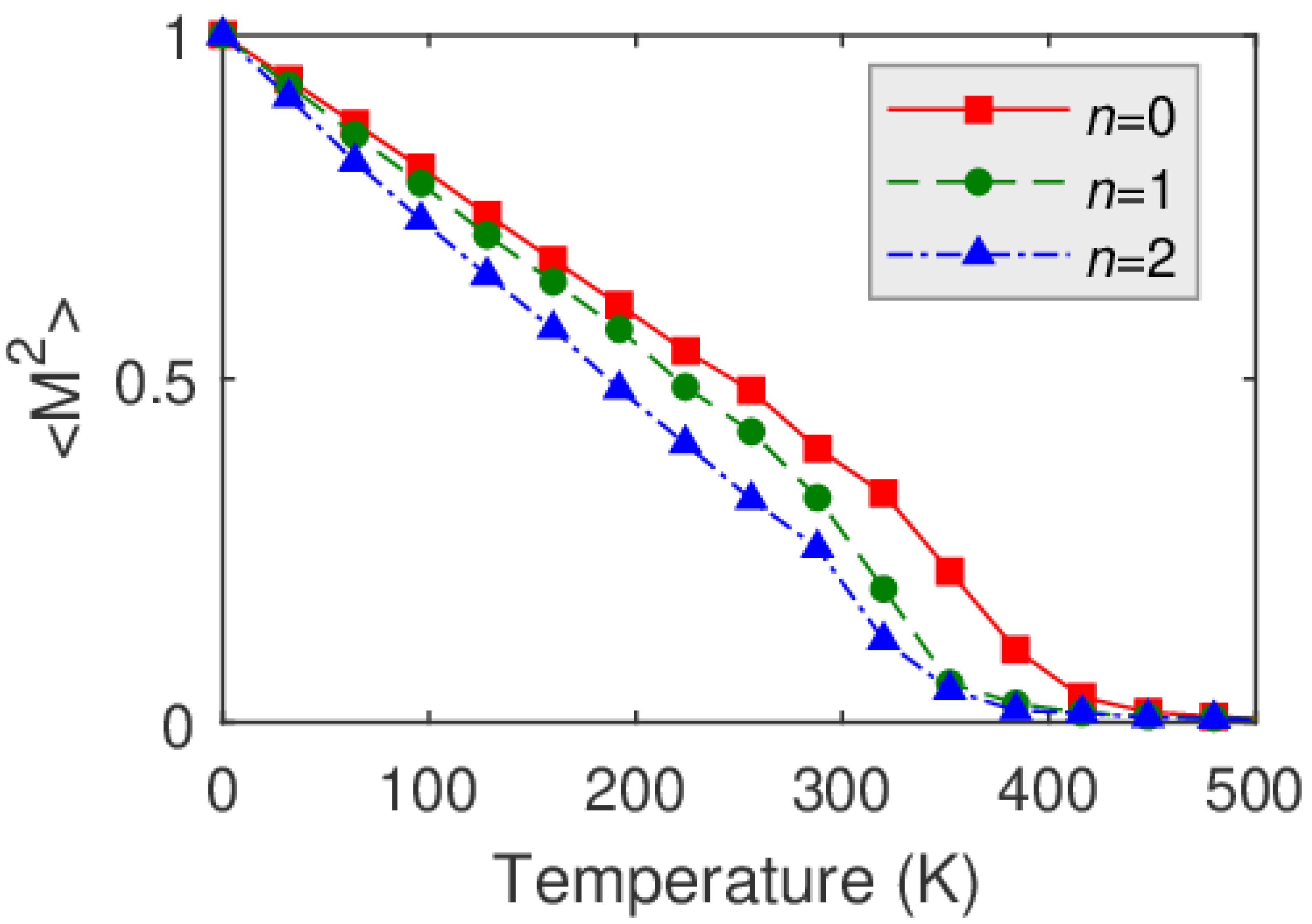
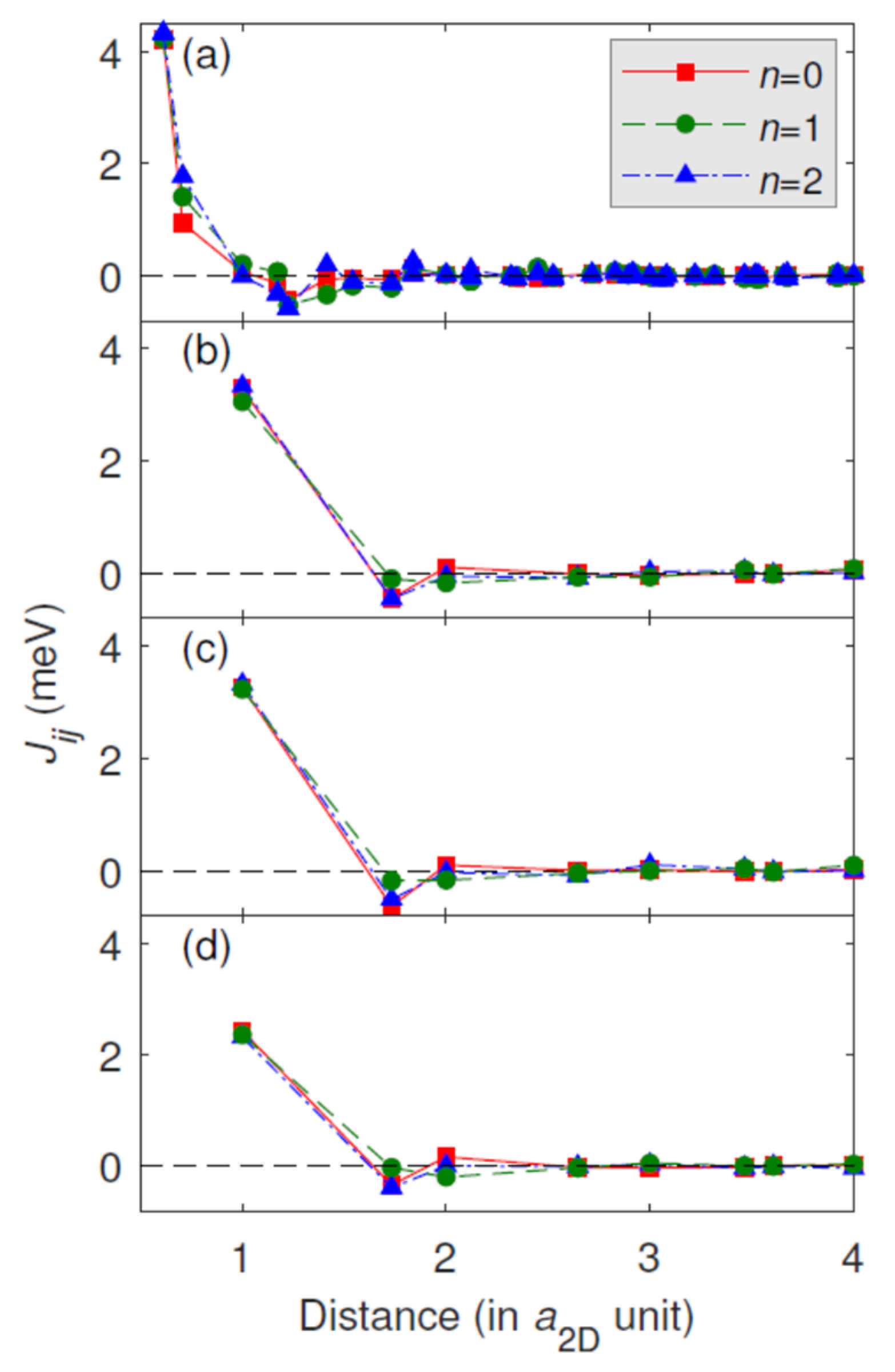
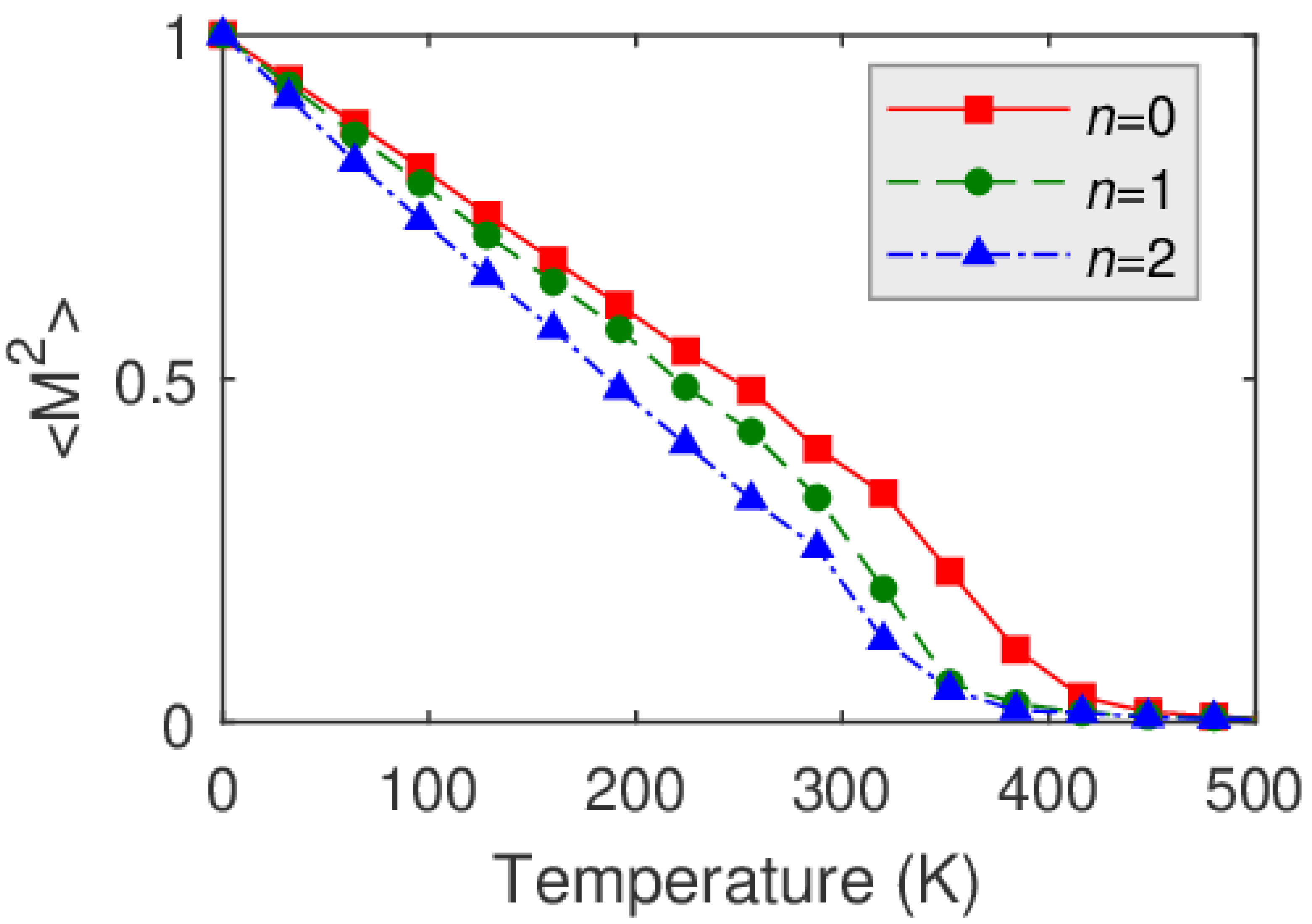
3.4. Results of Calculations
4. Conclusions
Author Contributions
Funding
Institutional Review Board Statement
Informed Consent Statement
Data Availability Statement
Conflicts of Interest
References
- Vaz, C.A.F.; Bland, J.A.C.; Lauhoff, G. Magnetism in ultrathin film structures. Rep. Prog. Phys. 2008, 71, 056501. [Google Scholar] [CrossRef]
- Mermin, N.D.; Wagner, H. Absence of Ferromagnetism or Antiferromagnetism in One- or Two-Dimensional Isotropic Heisenberg Models. Phys. Rev. Lett. 1966, 17, 1133–1136. [Google Scholar] [CrossRef]
- Przybylski, M.; Gradmann, U. Ferromagnetic order in a Fe(110) monolayer on W(110) by Mössbauer spectroscopy. Phys. Rev. Lett. 1987, 59, 1152–1155. [Google Scholar] [CrossRef] [PubMed]
- Dürr, W.; Taborelli, M.; Paul, O.; Germar, R.; Gudat, W.; Pescia, D.; Landolt, M. Magnetic Phase Transition in Two-Dimensional Ultrathin Fe Films on Au(100). Phys. Rev. Lett. 1989, 62, 206–209. [Google Scholar] [CrossRef] [PubMed]
- Bonilla, M.; Kolekar, S.; Ma, Y.; Diaz, H.C.; Kalappattil, V.; Das, R.; Eggers, T.; Gutierrez, H.R.; Phan, M.H.; Batzill, M. Strong room-temperature ferromagnetism in VSe2 monolayers on van derWaals substrates. Nat. Nanotechnol. 2018, 13, 289–293. [Google Scholar] [CrossRef] [PubMed]
- Zdyb, R.; Bauer, E. Coexistence of Ferromagnetism and Paramagnetism in a Ferromagnetic Monolayer. Phys. Rev. Lett. 2008, 100, 155704. [Google Scholar] [CrossRef]
- Bauer, E. SPLEEM. In Magnetic Microscopy of Nanostructures; Hopster, H., Oepen, H.P., Eds.; Springer: Berlin/Heidelberg, Germany, 2005; pp. 111–136. [Google Scholar]
- Bauer, E. Spin-polarized low energy electron microscopy (SPLEEM). In Modern Techniques for Characterizing Magnetic Materials; Zhu, Y., Ed.; Springer: Berlin/Heidelberg, Germany, 2005; pp. 361–379. [Google Scholar]
- Bauer, E. Surface Microscopy with Low Energy Electrons; Springer: Berlin/Heidelberg, Germany, 2014; p. 496. [Google Scholar]
- Duden, T.; Bauer, E. A compact electron-spin-polarization manipulator. Rev. Sci. Instrum. 1995, 66, 2861–2864. [Google Scholar] [CrossRef]
- Kresse, G.; Furthmüller, J. Efficiency of ab-initio total energy calculations for metals and semiconductors using a plane-wave basis set. Comput. Mater. Sci. 1996, 6, 15–50. [Google Scholar] [CrossRef]
- Kresse, G.; Furthmüller, J. Efficient iterative schemes for ab initio total-energy calculations using a plane-wave basis set. Phys. Rev. B 1996, 54, 11169–11186. [Google Scholar] [CrossRef]
- Perdew, J.P.; Wang, Y. Accurate and simple analytic representation of the electron-gas correlation energy. Phys. Rev. B 1992, 45, 13244–13249. [Google Scholar] [CrossRef]
- Szunyogh, L.; Újfalussy, B.; Weinberger, P.; Kollár, J. Self-consistent localized KKR scheme for surfaces and interfaces. Phys. Rev. B 1994, 49, 2721–2729. [Google Scholar] [CrossRef] [PubMed]
- Szunyogh, L.; Újfalussy, B.; Weinberger, P. Magnetic anisotropy of iron multilayers on Au(001): First-principles calculations in terms of the fully relativistic spin-polarized screened KKR method. Phys. Rev. B 1995, 51, 9552–9559. [Google Scholar] [CrossRef] [PubMed]
- Zeller, R.; Dederichs, P.H.; Újfalussy, B.; Szunyogh, L.; Weinberger, P. Theory and convergence properties of the screened Korringa-Kohn-Rostoker method. Phys. Rev. B 1995, 52, 8807–8812. [Google Scholar] [CrossRef] [PubMed]
- Vosko, S.H.; Wilk, L.; Nusair, M. Accurate spin-dependent electron liquid correlation energies for local spin density calculations: A critical analysis. Can. J. Phys. 1980, 58, 1200–1211. [Google Scholar] [CrossRef] [Green Version]
- Simon, E.; Rózsa, L.; Palotás, K.; Szunyogh, L. Magnetism of a Co monolayer on Pt(111) capped by overlayers of 5d elements: A spin-model study. Phys. Rev. B 2018, 97, 134405. [Google Scholar] [CrossRef] [Green Version]
- Vida, G.J.; Simon, E.; Rózsa, L.; Palotás, K.; Szunyogh, L. Domain-wall profiles in Co/Irn/Pt(111) ultrathin films: Influence of the Dzyaloshinskii-Moriya interaction. Phys. Rev. B 2016, 94, 214422. [Google Scholar] [CrossRef] [Green Version]
- Udvardi, L.; Szunyogh, L.; Palotás, K.; Weinberger, P. First-principles relativistic study of spin waves in thin magnetic films. Phys. Rev. B 2003, 68, 104436. [Google Scholar] [CrossRef] [Green Version]
- Simon, E.; Palotás, K.; Ujfalussy, B.; Deák, A.; Stocks, G.M.; Szunyogh, L. Spin-correlations and magnetic structure in an Fe monolayer on 5dtransition metal surfaces. J. Phys. Condens. Matter 2014, 26, 186001. [Google Scholar] [CrossRef] [Green Version]
- Nowak, U. Classical spin model. In Handbook of Magnetism and Advanced Magnetic Materials; Wiley: Chichester, UK, 2007. [Google Scholar]
- Simon, E.; Yanes, R.; Khmelevskyi, S.; Palotás, K.; Szunyogh, L.; Nowak, U. Magnetism and exchange-bias effect at the MnN/Fe interface. Phys. Rev. B 2018, 98, 094415. [Google Scholar] [CrossRef] [Green Version]
- Bauer, E.; Poppa, H.; Todd, G.; Davis, P.R. The adsorption and early stages of condensation of Ag and Au on W single-crystal surfaces. J. Appl. Phys. 1977, 48, 3773–3787. [Google Scholar] [CrossRef]
- Kübler, J. Magnetic moments of ferromagnetic and antiferromagnetic bcc and fcc iron. Phys. Lett. A 1981, 81, 81–83. [Google Scholar] [CrossRef]
- Elmers, H.J.; Hauschild, J.; Höche, H.; Gradmann, U.; Bethge, H.; Heuer, D.; Köhler, U. Submonolayer Magnetism of Fe(110) on W(110): Finite Width Scaling of Stripes and Percolation between Islands. Phys. Rev. Lett. 1994, 73, 898–901. [Google Scholar] [CrossRef] [PubMed]
- Michels, D.; Krill, C., III; Birringer, R. Grain-size-dependent Curie transition in nanocrystalline Gd: The influence of interface stress. J. Magn. Magn. Mater. 2002, 250, 203–211. [Google Scholar] [CrossRef]
- Xu, J.; Howson, M.A.; Hucknall, P.; Hickey, B.J.; Venkataraman, R.; Hammond, C.; Walker, M.J.; Greig, D. Systematic study of molecular beam epitaxy growth and magnetic properties of Fe on Au(111). J. Appl. Phys. 1997, 81, 3908–3910. [Google Scholar] [CrossRef]
- Chappert, C.; Bruno, P.; Bartenlian, B.; Beauvillian, P.; Bounouh, A.; Megy, R.; Veillet, P. Magnetic anisotropy and interlayer exchange coupling in Fe(110)/Au(111) ultrathin films. J. Magn. Magn. Mater. 1995, 148, 165–166. [Google Scholar] [CrossRef]
- Toulemonde, O.; Petrov, V.; Abdi, A.N.; Bucher, J.P. Magnetic anisotropies of ultrathin Fe films on Au(111) as function of iron thickness and gold capping. J. Appl. Phys. 2004, 95, 6565–6567. [Google Scholar] [CrossRef]
- Ohresser, P.; Brookes, N.B.; Padovani, S.; Scheurer, F.; Bulou, H. Magnetism of small Fe clusters on Au(111) studied by x-ray magnetic circular dichroism. Phys. Rev. B 2001, 64, 104429. [Google Scholar] [CrossRef]
- Zdyb, R.; Pavlovska, A.; Bauer, E. Strain engineering of magnetic anisotropy in thin ferromagnetic films. J. Phys. Condens. Matter 2009, 21, 314012. [Google Scholar] [CrossRef]
- Gradmann, U.; Korecki, J.; Waller, G. In-plane magnetic surface anisotropies in Fe(110). Appl. Phys. A 1986, 39, 101–108. [Google Scholar] [CrossRef]
- Zdyb, R.; Menteş, T.O.; Locatelli, A.; Niño, M.A.; Bauer, E. Magnetization and structure of ultrathin Fe films. Phys. Rev. B 2009, 80, 184425. [Google Scholar] [CrossRef]
- Rózsa, L.; Udvardi, L.; Szunyogh, L.; Szabó, I.A. Magnetic phase diagram of an Fe monolayer on W(110) and Ta(110) surfaces based on ab initio calculations. Phys. Rev. B 2015, 91, 144424. [Google Scholar] [CrossRef] [Green Version]
- Zdyb, R.; Bauer, E. Spin-Resolved Unoccupied Electronic Band Structure from Quantum Size Oscillations in the Reflectivity of Slow Electrons from Ultrathin Ferromagnetic Crystals. Phys. Rev. Lett. 2002, 88, 166403. [Google Scholar] [CrossRef] [PubMed]
- Zdyb, R.; Bauer, E. Spin-dependent Quantum Size Effects in the Electron Reflectivity of Ultrathin Ferromagnetic Crystals. Surf. Rev. Lett. 2002, 9, 1485–1491. [Google Scholar] [CrossRef]
- Zdyb, R.; Bauer, E. Quantum size effect in exchange asymmetry of ultrathin ferromagnetic films studied with Spin Polarized Low Energy Electron Microscopy. Appl. Surf. Sci. 2019, 471, 342–346. [Google Scholar] [CrossRef]
- Duden, T.; Bauer, E. Magnetic Domain Structure and Spin Reorientation Transition in the System Co/Au/W(110). MRS Proc. 1997, 475, 283. [Google Scholar] [CrossRef]
- Zdyb, R.; Bauer, E. Magnetic domain structure and spin-reorientation transition in ultrathin Fe-Co alloy films. Phys. Rev. B 2003, 67, 134420. [Google Scholar] [CrossRef]
- Ślęzak, M.; Giela, T.; Wilgocka-Ślęzak, D.; Kozioł-Rachwał, A.; Ślęzak, T.; Zdyb, R.; Spiridis, N.; Quitmann, C.; Raabe, J.; Pilet, N.; et al. X-ray photoemission electron microscopy study of the in-plane spin reorientation transitions in epitaxial Fe films on W(110). J. Magn. Magn. Mater. 2013, 348, 101–106. [Google Scholar] [CrossRef]
- Razee, S.S.A.; Staunton, J.B.; Szunyogh, L.; Györffy, B.L. Local moments and magnetic correlations above the Curie temperature in thin films on and embedded in nonmagnetic substrates: Fe/Cu(100), Co/Cu(100), and Fe/W(100). Phys. Rev. B 2002, 66, 094415. [Google Scholar] [CrossRef]








| µspin/MAEz − x | n = 0 | n = 1 | n = 2 |
|---|---|---|---|
| model B | 3.09 µB/−0.5 meV | 3.11 µB/−1.2 meV | 3.21 µB/−1.7 meV |
| model C | 3.09 µB/−0.5 meV | 3.08 µB/−1.4 meV | 3.24 µB/−0.4 meV |
| model D | 3.10 µB/−0.5 meV | 3.10 µB/−0.8 meV | 3.31 µB/−0.4 meV |
| model E | 3.26 µB/−0.3 meV | 3.37 µB/−0.9 meV | 3.43 µB/−0.2 meV |
| TC (K) | n = 0 | n = 1 | n = 2 |
|---|---|---|---|
| model B | 190 | 450 | 395 |
| model C | 435 | 302 | SSP |
| model D | 395 | 360 | 335 |
| model E | 395 | SSP | 260 |
Publisher’s Note: MDPI stays neutral with regard to jurisdictional claims in published maps and institutional affiliations. |
© 2022 by the authors. Licensee MDPI, Basel, Switzerland. This article is an open access article distributed under the terms and conditions of the Creative Commons Attribution (CC BY) license (https://creativecommons.org/licenses/by/4.0/).
Share and Cite
Zdyb, R.; Palotás, K.; Simon, E.; Jaroch, T.; Korczak, Z. Tuning Ferromagnetism in a Single Layer of Fe above Room Temperature. Materials 2022, 15, 1019. https://doi.org/10.3390/ma15031019
Zdyb R, Palotás K, Simon E, Jaroch T, Korczak Z. Tuning Ferromagnetism in a Single Layer of Fe above Room Temperature. Materials. 2022; 15(3):1019. https://doi.org/10.3390/ma15031019
Chicago/Turabian StyleZdyb, Ryszard, Krisztián Palotás, Eszter Simon, Tomasz Jaroch, and Zbigniew Korczak. 2022. "Tuning Ferromagnetism in a Single Layer of Fe above Room Temperature" Materials 15, no. 3: 1019. https://doi.org/10.3390/ma15031019
APA StyleZdyb, R., Palotás, K., Simon, E., Jaroch, T., & Korczak, Z. (2022). Tuning Ferromagnetism in a Single Layer of Fe above Room Temperature. Materials, 15(3), 1019. https://doi.org/10.3390/ma15031019

