Tuning Cu-Content La1−xSrxNi1−yCuyO3−δ with Strontium Doping as Cobalt-Free Cathode Materials for High-Performance Anode-Supported IT-SOFCs
Abstract
1. Introduction
2. Materials and Methods
3. Results and Discussion
3.1. Crystal Structure Properties and Microstructure
3.2. Thermal Expansion Properties and Oxygen Content
3.3. Stability and Compatibility with Solid Electrolytes
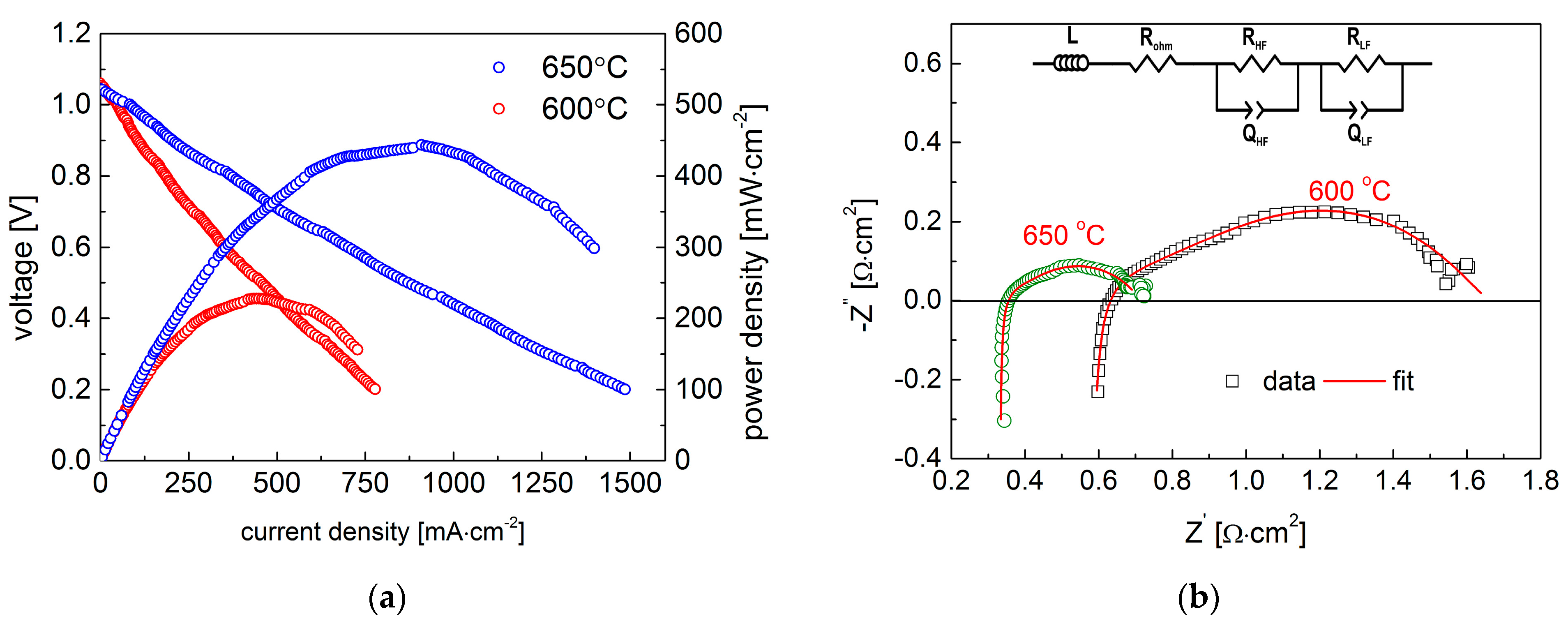
3.4. Electrochemical Performance of IT-SOFC with La0.95Sr0.05Ni0.5Cu0.5O3−δ
| Cathode Material | Crystal Structure | TEC [×10−6 K−1] | Towards Electrolyte | Cell Performance [mW·cm−2] | Ref. |
|---|---|---|---|---|---|
| La0.95Sr0.05Ni0.5Cu0.5O3−δ | R3-c | 14.1 | Stable with CGO10 | 450 at 650 °C, 230 at 600 °C in wet H2 | This work |
| LaNi0.5Cu0.5O3−δ | R3-c | 14.5 | Stable with LSGM | 120 at 650 °C in wet H2 | [40] |
| La1.5Ba1.5Cu3O7±δ | P4/mmm | 15.5 | Stable with LSGM | 162 at 600 °C, 250 at 650 °C in wet H2 | [28] |
| LaNiO3 | R-3c | 13.7 | Stable with CGO20 | 477 at 650 °C in wet H2 with LaNiO3/GDC composite cathode | [51,60,61] |
| La0.54Sr0.46Fe0.80Cu0.20O3−δ | Two tetragonal phases | - | - | 452 at 600 °C in H2 | [62] |
| LaNi0.6Fe0.403−δ | R-3c | 14.5 | Stable with BZCY (below 700 °C) | 431 at 650 °C, 232 at 600 °C in wet H2 | [63,64] |
| La2Ni0.5Cu0.5O4+δ | Fmmm, F4/mmm | 12.8, 13.9 | Stable with CGO20 | - | [34,56] |
| Nd1.9Ce0.1CuO4 | I4/mmm | 11.17 | Stable with CGO | 283 at 700 °C in wet H2 | [65] |
| NdBa0.5Sr0.5Cu2O5+δ | P4/mmm | 14.6 | Stable with LSGM | 343 at 750 °C | [66] |
| PrNiO3−δ | Pnma | 12.7 | Stable with CGO20 | - | [55] |
| Pr2NiO4+δ | Fmmm | - | Stable with CGO25 | 50 at 600 °C, 80 at 650 °C in dry H2 | [67] |
| Pr2Ni0.5Cu0.5O4+δ | Bmab | 12.7 | Stable with CGO20 | 35 at 650 °C in dry H2 | [34] |
| Pr2CuO4±δ | I4/mmm | 13.0 | Stable with CGO20 | 25 at 650 °C in dry H2 | [33] |
| Pr1.7Ca0.3NiO4+δ | Fmmm | - | Stable with BCGCu | 96 at 650 °C, 61 at 600 °C in wet H2 | [68] |
| PrBa0.5Sr0.5Cu2O5+δ | P4/mmm | 14.2 | Stable with LSGM | 369 at 750 °C | [66] |
| (Pr0.5Nd0.5)0.7Sr0.3MnO3−δ + SDC or 8YSZ (in molar ratio 3:2) | - | - | Stable with SDC and 8YSZ | 166 at 650 °C in wet H2, 172 at 600 °C in wet H2 | [69,70] |
| Sr2Fe1.2Mg0.2Mo0.6O6−δ | Fm-3m | 12.9-14.6 in air; 14.6-16.7 in 5% H2 | Stable with CGO20 | - | [71] |
| BaCe0.05Fe0.95O3−δ | Pm-3m | - | Stable with SDC | 315 at 650 °C, 212 at 600 °C in wet H2 | [72] |
4. Conclusions
Author Contributions
Funding
Institutional Review Board Statement
Informed Consent Statement
Data Availability Statement
Conflicts of Interest
References
- Boldrin, P.; Brandon, N.P. Progress and outlook for solid oxide fuel cells for transportation applications. Nat. Catal. 2019, 2, 571–577. [Google Scholar] [CrossRef]
- Develos-Bagarinao, K.; Ishiyama, T.; Kishimoto, H.; Shimada, H.; Yamaji, K. Nanoengineering of cathode layers for solid oxide fuel cells to achieve superior power densities. Nat. Commun. 2021, 12, 3979. [Google Scholar] [CrossRef] [PubMed]
- Park, S.; Vohs, J.M.; Gorte, R.J. Direct oxidation of hydrocarbons in a solid-oxide fuel cell. Nature 2000, 404, 265–267. [Google Scholar] [CrossRef] [PubMed]
- Lenka, R.K.; Patro, P.K.; Patel, V.; Muhmood, L.; Mahata, T. Comparative investigation on the functional properties of alkaline earth metal (Ca, Ba, Sr) doped Nd2NiO4+δ oxygen electrode material for SOFC applications. J. Alloy. Compd. 2021, 860, 158490. [Google Scholar] [CrossRef]
- Ding, H.; Tao, Z.; Liu, S.; Zhang, J. A High-Performing Sulfur-Tolerant and Redox-Stable Layered Perovskite Anode for Direct Hydrocarbon Solid Oxide Fuel Cells. Sci. Rep. 2015, 5, 18129. [Google Scholar] [CrossRef]
- Brett, D.J.L.; Atkinson, A.; Brandon, N.P.; Skinner, S.J. Intermediate temperature solid oxide fuel cells. Chem Soc. Rev. 2008, 37, 1568–1578. [Google Scholar] [CrossRef] [PubMed]
- Shao, Z.; Tadé, M.O. Intermediate-Temperature Solid Oxide Fuel Cells: Materials and Applications; Springer-Verlag: Berlin/Heidelberg, Germany, 2016. [Google Scholar]
- Dong, Z.; Xia, T.; Li, Q.; Wang, J.; Li, S.; Sun, L.; Huo, L.; Zhao, H. Addressing the origin of highly catalytic activity of A-site Sr-doped perovskite cathodes for intermediate-temperature solid oxide fuel cells. Electrochem. Commun. 2022, 140, 107341. [Google Scholar] [CrossRef]
- Xu, X.; Su, C.; Shao, Z. Fundamental Understanding and Application of Ba0.5Sr0.5Co0.8Fe0.2O3−δ Perovskite in Energy Storage and Conversion: Past, Present, and Future. Energy Fuels 2021, 35, 13585–13609. [Google Scholar] [CrossRef]
- Ndubuisi, A.; Abouali, S.; Singh, K.; Thangadurai, V. Recent advances, practical challenges, and perspectives of intermediate temperature solid oxide fuel cell cathodes. J. Mater. Chem. A 2022, 10, 2196–2227. [Google Scholar] [CrossRef]
- Kumar, R.V.; Khandale, A.P. A review on recent progress and selection of cobalt-based cathode materials for low temperature-solid oxide fuel cells. Renew. Sustain. Energy Rev. 2022, 156, 111985. [Google Scholar] [CrossRef]
- Liu, B.; Zhang, Y.; Zhang, L. Cathode for solid oxide fuel cell. Int. J. Hydrog. Energy 2009, 34, 1008–1014. [Google Scholar] [CrossRef]
- Tietz, F.; Arul Raj, I.; Zahid, M.; Stöver, D. Electrical conductivity and thermal expansion of La0.8Sr0.2(Mn,Fe,Co)O3-δ perovskites. Solid State Ion. 2006, 177, 1753–1756. [Google Scholar] [CrossRef]
- Yin, J.; Yin, Y.; Lu, J.; Zhang, C.; Minh, N.Q.; Ma, Z. Structure and Properties of Novel Cobalt-Free Oxides Temperature Solid Oxide Fuel Cells. J. Phys. Chem. C. 2014, 118, 13357–13368. [Google Scholar] [CrossRef]
- Jiang, S.P. Development of Lanthanum Strontium Manganite Perovskite Cathode Materials of Solid Oxide Fuel Cells: A Review. J. Mater. Sci. 2008, 43, 6799–6833. [Google Scholar] [CrossRef]
- Li, X.; Jiang, X.; Xu, H.; Xu, Q.; Jiang, L.; Shi, Y.; Zhang, Q. Scandium-doped PrBaCo2−xScxO6−δ oxides as cathode material for intermediate-temperature solid oxide fuel cells. Int. J. Hydrog. Energy 2013, 38, 12035–12042. [Google Scholar] [CrossRef]
- Gumeci, C.; Parrondo, J.; Hussain, A.M.; Thompson, D.; Dale, N. Praseodymium based double-perovskite cathode nanofibers for intermediate temperature solid oxide fuel cells (IT-SOFC). Int. J. Hydrog. Energy 2021, 46, 31798–31806. [Google Scholar] [CrossRef]
- Pelosato, R.; Cordaro, G.; Stucchi, D.; Cristiani, C.; Dotelli, G. Cobalt based layered perovskites as cathode material for intermediate temperature Solid Oxide Fuel Cells: A brief review. J. Power Sources 2015, 298, 46–67. [Google Scholar] [CrossRef]
- Jin, F.; Li, L.; He, T. NdBaCo2/3Fe2/3Cu2/3O5+δ double perovskite as a novel cathode material for CeO2- and LaGaO3-based solid oxide fuel cells. J. Power Sources 2015, 273, 591–599. [Google Scholar] [CrossRef]
- Bishop, S.R.; Marrocchelli, D.; Chatzichristodoulou, C.; Perry, N.H.; Mogensen, M.B.; Tuller, H.L.; Wachsman, E.D. Chemical expansion: Implications for electrochemical energy storage and conversion devices. Annu. Rev. Mate. R Res. 2014, 44, 205–239. [Google Scholar] [CrossRef]
- Bishop, S.R. Chemical expansion of solid oxide fuel cell materials: A brief overview. Acta Mech. 2013, 29, 312–317. [Google Scholar] [CrossRef]
- Pan, Z.; Liu, Q.; Ni, M.; Lyu, R.; Li, P.; Chan, S.H. Activation and failure mechanism of La0.6Sr0.4Co0.2Fe0.8O3-δ air electrode in solid oxide electrolyzer cells under high-current electrolysis. Int. J. Hydrog. Energy 2018, 43, 5437–5450. [Google Scholar] [CrossRef]
- Monge, M.; Gil-Alana, L.A. Automobile components: Lithium and cobalt. Evidence of persistence. Energy 2019, 169, 489–495. [Google Scholar] [CrossRef]
- Kim, J.H.; Manthiram, A. Layered LnBaCo2O5+δ perovskite cathodes for solid oxide fuel cells: An overview and perspective. J. Mater. Chem. 2015, 3, 24195–24210. [Google Scholar] [CrossRef]
- Hashim, S.S.; Liang, F.; Zhou, W.; Sunarso, J. Cobalt-Free Perovskite Cathodes for Solid Oxide Fuel Cells. Chem. Electro. Chem. 2019, 6, 3549–3569. [Google Scholar] [CrossRef]
- Baharuddin, N.A.; Muchtar, A.; Somalu, M.R. Short review on cobalt-free cathodes for solid oxide fuel cells. Int. J. Hydrog. Energy 2017, 42, 9149–9155. [Google Scholar] [CrossRef]
- Niemczyk, A.; Du, Z.; Olszewska, A.; Marzec, M.; Gajewska, M.; Świerczek, K.; Zhao, H.; Poudel, B.; Dąbrowski, B. Effective oxygen reduction on A-site substituted LaCuO3- δ: Toward air electrodes for SOFCs based on perovskite-type copper oxides. J. Mater. Chem. A. 2019, 7, 27403–27416. [Google Scholar] [CrossRef]
- Li, K.; Niemczyk, A.; Świerczek, K.; Stępień, A.; Naumovich, Y.; Dąbrowa, J.; Zajusz, M.; Zheng, K.; Dabrowski, B. Co-free triple perovskite La1.5Ba1.5Cu3O7±δ as a promising air electrode material for solid oxide fuel cells. J. Power Sources 2022, 532, 231371. [Google Scholar] [CrossRef]
- Kong, X.; Liu, G.; Yi, Z.; Ding, X. NdBaCu2O5+δ and NdBa0.5Sr0.5Cu2O5+δ layered perovskite oxides as cathode materials for IT-SOFCs. Int. J. Hydrog. Energy 2015, 40, 16477–16483. [Google Scholar] [CrossRef]
- Kong, X.; Ding, X. Novel layered perovskite SmBaCu2O5+δ as a potential cathode for intermediate temperature solid oxide fuel cells. Int. J. Hydrog. Energy 2011, 36, 15715–15721. [Google Scholar] [CrossRef]
- Ding, X.; Kong, X.; Wu, H.; Zhu, Y.; Tang, J.; Zhong, Y. SmBa0.5Sr0.5Cu2O5+δ and SmBa0.5Sr0.5CuFeO5+δ layered perovskite oxides as cathodes for IT-SOFCs. Int. J. Hydrog. Energy 2012, 37, 2546–2551. [Google Scholar] [CrossRef]
- Ding, P.; Li, W.; Zhao, H.; Wu, C.; Zhao, L.; Dong, B.; Wang, S. Review on Ruddlesden-Popper perovskites as cathode for solid oxide fuel cells. J. Phys. Mater. 2021, 4, 022002. [Google Scholar] [CrossRef]
- Zheng, K.; Gorzkowska-Sobas, A.; Świerczek, K. Evaluation of Ln2CuO4 (Ln: La, Pr, Nd) oxides as cathode materials for ITSOFCs. Mater. Res. Bull. 2012, 47, 4089–4095. [Google Scholar] [CrossRef]
- Zheng, K.; Świerczek, K. Evaluation of La2Ni0.5Cu0.5O4+δ and Pr2Ni0.5Cu0.5O4+δ Ruddlesden-Popper-type layered oxides as cathode materials for solid oxide fuel cells. Mater. Ress. Bull. 2016, 84, 259–266. [Google Scholar] [CrossRef]
- Gędziorowski, B.; Cichy, K.; Niemczyk, A.; Olszewska, A.; Zhang, Z.; Kopeć, S.; Zheng, K.; Marzec, M.; Gajewska, M.; Du, Z.; et al. Ruddlesden-Popper-type Nd2-xNi1-yCuyO4±δ layered oxides as candidate materials for MIEC-type ceramic membranes. J. Eur. Ceram. Soc. 2020, 40, 4056–4066. [Google Scholar] [CrossRef]
- Zhou, J.S.; Marshall, L.G.; Goodenough, J.B. Mass enhancement versus Stoner enhancement in strongly correlated metallic perovskites: LaNiO3 and LaCuO3. Phys. Rev. B 2014, 89, 245138. [Google Scholar] [CrossRef]
- Weigl, C.; Range, K.-J. Rhombohedral LaCuO3: High-pressure synthesis of single crystals and structure refinement. J. Alloy. Compd. 1993, 200, L1–L2. [Google Scholar] [CrossRef]
- Karppinen, M.; Yamauchi, H.; Ito, T.; Suematsu, H.; Fukunaga, O. High-pressure synthesis and thermal decomposition of LaCuO3. Mater. Sci. Eng. B 1996, 41, 59–62. [Google Scholar] [CrossRef]
- Liu, Y.X.; Wang, S.F.; Hsu, Y.F.; Kai, H.W.; Jasinski, P. Characteristics of LaCo0.4Ni0.6-xCuxO3-δ ceramics as a cathode material for intermediate-temperature solid oxide fuel cells. J. Eur. Ceram. Soc. 2018, 38, 1654–1662. [Google Scholar] [CrossRef]
- Niemczyk, A.; Zheng, K.; Cichy, K.; Berent, K.; Kuster, K.; Starke, U.; Poudel, B.; Dabrowski, B.; Świerczek, K. High Cu content LaNi1-xCuxO3-δ perovskites as candidate air electrode materials for Reversible Solid Oxide Cells. Int. J. Hydrog. Energy 2020, 45, 29449–29464. [Google Scholar] [CrossRef]
- Ren, Y.; Küngas, R.; Gorte, R.J.; Deng, C. The effect of A-site cation (Ln = La, Pr, Sm) on the crystal structure, conductivity and oxygen reduction properties of Sr-doped ferrite perovskites. Solid State Ion. 2012, 212, 47–54. [Google Scholar] [CrossRef]
- Wang, S.; Li, Z.; Qian, B.; Ni, Q.; Zheng, Y.; Ge, L.; Chen, H.; Yang, H. Evaluation of Cu-substituted La1.5Sr0.5NiO4+δ as air electrode for CO2 electrolysis in solid oxide electrolysis cells. Ceram Int. 2022, 48, 31509–31518. [Google Scholar] [CrossRef]
- Shen, Y.; Zhao, H.; Xu, J.; Zhang, X.; Zheng, K.; Świerczek, K. Effect of ionic size of dopants on the lattice structure, electrical and electrochemical properties of La2-xMxNiO4+δ (M = Ba, Sr) cathode materials. Int. J. Hydrog. Energy 2014, 39, 1023–1029. [Google Scholar] [CrossRef]
- Muñoz-García, A.B.; Ritzmann, A.M.; Pavone, M.; Keith, J.A.; Carter, E.A. Oxygen transport in perovskite-type solid oxide fuel cell materials: Insights from quantum mechanics. Acc. Chem. Res. 2014, 47, 3340–3348. [Google Scholar] [CrossRef] [PubMed]
- Larson, A.C.; Von Dreele, R.B. General Structure Analysis System (GSAS). Los Alamos National Laboratory LAUR 86-748, 2004. Available online: https://11bm.xray.aps.anl.gov/documents/GSASManual.pdf (accessed on 1 November 2022).
- Toby, B.H. EXPGUI, a graphical user interface for GSAS. J. Appl. Crystallogr. 2001, 34, 210–213. Available online: https://doi.org/10.1107/S0021889801002242 (accessed on 1 November 2022). [CrossRef]
- Xiao, J.; Zeng, X.; Li, M.; Dong, P.; Wo, H.; Xu, M.; Lin, Y.; Liu, J.; Xie, Y.; Zhang, Y. Effect of pre-calcined ceramic powders at different temperatures on Ni-YSZ anode-supported SOFC cell/stack by low pressure injection molding. Ceram Int. 2019, 45, 20066–20072. [Google Scholar] [CrossRef]
- Kupecki, J.; Kluczowski, R.; Papurello, D.; Lanzini, A.; Kawalec, M.; Krauz, M.; Santarelli, M. Characterization of a circular 80 mm anode supported solid oxide fuel cell (AS-SOFC) with anode support produced using high-pressure injection molding (HPIM). Int. J. Hydrog. Energy 2019, 44, 19405–19411. [Google Scholar] [CrossRef]
- Motylinski, K.; Wierzbicki, M.; Kupecki, J.; Jagielski, S. Investigation of off-design characteristics of solid oxide electrolyser (SOE) operating in endothermic conditions. Renew. Energy 2021, 170, 277–285. [Google Scholar] [CrossRef]
- Nielsen, J.; Hjelm, J. Impedance of SOFC electrodes: A review and a comprehensive case study on the impedance of LSM:YSZ cathodes. Electrochim. Acta 2014, 115, 31–45. [Google Scholar] [CrossRef]
- Retuerto, M.; Pereira, A.G.; Peérez-Alonso, F.J.; Peña, M.A.; Fierro, J.L.G.; Alonso, J.A.; Fernández-Díaz, M.T.; Pascula, L.; Rojas, S. Structural effects of LaNiO3 as electrocatalyst for the oxygen reduction reaction. Appl. Catal. B Environ. 2017, 203, 363–371. [Google Scholar] [CrossRef]
- Marrocchelli, D.; Perry, N.H.; Bishop, S.R. Understanding chemical expansion in perovskite-structured oxides. Phys. Chem. Chem. Phys. 2015, 17, 10028–10039. [Google Scholar] [CrossRef]
- Karim, D.P.; Aldred, A.T. Localized level hopping transport in La(Sr)CrO3. Phys. Rev. B. 1979, 20, 2255–2263. [Google Scholar] [CrossRef]
- Jemai, R.; Wederni, M.A.; Amorri, O.; Hzez, W.; Martín-Palma, R.J.; Khirouni, K. Effects of doping by copper on electrical properties of LaCrO3 based perovskite. Ceram. Int. 2022, 48, 14050–14059. [Google Scholar] [CrossRef]
- Vibhu, V.; Flura, A.; Nicollet, C.; Fourcade, S.; Penin, N.; Bassat, J.M.; Grenier, J.-C.; Rougier, A.; Pouchard, M. Characterization of PrNiO3-d as oxygen electrode for SOFCs. Solid State Sci. 2018, 81, 26–31. [Google Scholar] [CrossRef]
- Boehm, E.; Bassat, J.M.; Steil, M.C.; Dordor, P.; Mauvy, F.; Grenier, J.C. Oxygen transport properties of La2Ni1-xCuxO4-d mixed conducting oxides. Solid State Sci. 2003, 5, 973–981. [Google Scholar] [CrossRef]
- Zheng, K.; Świerczek, K. Physicochemical properties of rock salt-type ordered Sr2MMoO6 (M = Mg, Mn, Fe, Co, Ni) double perovskites. J. Eur. Ceram. Soc. 2014, 34, 4273–4284. [Google Scholar] [CrossRef]
- Sun, C.; Hui, R.; Roller, J. Cathode materials for solid oxide fuel cells: A review. J. Solid. State. Electrochem. 2010, 14, 1125–1144. [Google Scholar] [CrossRef]
- Kuroda, C.; Zheng, K.; Świerczek, K. Characterization of novel GdBa0.5Sr0.5Co2−xFexO5+δ perovskites for application in IT-SOFC cells. Int. J. Hydrog. Energy 2013, 38, 1027–1038. [Google Scholar] [CrossRef]
- Yaremchenko, A.; Arias-Serrano, B.I.; Zakharchuk, K.; Frade, J.R. Perovskite-like LaNiO3-δ as Oxygen Electrode Material for Solid Oxide Electrolysis Cells. ECS Trans. 2019, 91, 2399. [Google Scholar] [CrossRef]
- Rehman, S.U.; Shaur, A.; Song, R.-H.; Lim, T.-H.; Hong, J.-E.; Park, S.-J.; Lee, S.-B. Nano-fabrication of a high-performance LaNiO3 cathode for solid oxide fuel cells using an electrochemical route. J. Power Sources 2019, 429, 97–104. [Google Scholar] [CrossRef]
- Hussain, M.; Muneer, M.; Abbas, G.; Shakir, I.; Iqbal, A.; Javed, M.A.; Iqbal, M.; Rehman, Z.U.; Raza, R. Cobalt free LaxSr1-xFe1-yCuyO3-δ (x = 0.54, 0.8, y = 0.2, 0.4) perovskite structured cathode for SOFC. Ceram. Int. 2020, 46, 18208–18215. [Google Scholar] [CrossRef]
- Zhu, Z.; Qian, J.; Wang, Z.; Dang, J.; Liu, W. High-performance anode-supported solid oxide fuel cells based on nickel-based cathode and Ba(Zr0.1Ce0.7Y0.2)O3−δ electrolyte. J. Alloy. Compd. 2013, 581, 832–835. [Google Scholar] [CrossRef]
- Vidal, K.; Morán-Ruiz, A.; Larrañaga, A.; Porras-Vázquez, J.M.; Slater, P.R.; Arriortua, M.I. Characterization of LaNi0.6Fe0.4O3 perovskite synthesized by glycine-nitrate combustion method. Solid State Ion. 2015, 269, 24–29. [Google Scholar] [CrossRef]
- Bo, L.; Na, L.; Liping, S.; Qiang, L.; Lihua, H.; Hui, Z. Rare-earth elements doped Nd2CuO4 as Cu-based cathode for intermediate-temperature solid oxide fuel cells. J. Alloy. Compd. 2021, 870, 159397. [Google Scholar] [CrossRef]
- Meng, X.; Lü, S.; Yu, W.W.; Ji, Y.; Sui, Y.; Wei, M. Layered perovskite LnBa0.5Sr0.5Cu2O5+δ (Ln = Pr and Nd) as cobalt-free cathode materials for solid oxide fuel cells. Int. J. Hydrog. Energy 2018, 43, 4458–4470. [Google Scholar] [CrossRef]
- Han, J.; Zheng, K.; Świerczek, K. Nickel-based layered perovskite cathode materials for application in intermediate-temperature solid oxide fuel cells. Funct. Mater. Lett. 2011, 4, 151–155. [Google Scholar] [CrossRef]
- Pikalova, E.; Kolchugin, A.; Bogdanovich, N.; Medvedev, D.; Lyagaeva, J.; Vedmid, L.; Ananyev, M.; Plaksin, S.; Farlenkov, A. Suitability of Pr2–xCaxNiO4+δ as cathode materials for electrochemical devices based on oxygen ion and proton conducting solid state electrolytes. Int. J. Hydrog. Energy 2020, 45, 13612–13624. [Google Scholar] [CrossRef]
- Liu, M.; Dong, D.; Zhao, F.; Gao, J.; Ding, D.; Liu, X.; Meng, G. High-performance cathode-supported SOFCs prepared by a single-step co-firing process. J. Power Sources 2008, 182, 585–588. [Google Scholar] [CrossRef]
- Zhang, X.; Lin, B.; Ling, Y.; Dong, Y.; Meng, G.; Liu, X. An anode-supported hollow fiber solid oxide fuel cell with (Pr0.5Nd0.5)0.7Sr0.3MnO3−δ–YSZ composite cathode. J. Alloy. Compd. 2010, 497, 386–389. [Google Scholar] [CrossRef]
- Zheng, K.; Lach, J.; Zhao, H.; Huang, X.; Qi, K. Magnesium-Doped Sr2(Fe,Mo)O6-δ Double Perovskites with Excellent Redox Stability as Stable Electrode Materials for Symmetrical Solid Oxide Fuel Cells. Membranes 2022, 12, 1006. [Google Scholar] [CrossRef]
- Liu, H.; Zhu, K.; Liu, Y.; Li, W.; Cai, L.; Zhu, X.; Cheng, M.; Yang, W. Structure and electrochemical properties of cobalt-free perovskite cathode materials for intermediate-temperature solid oxide fuel cells. Electrochim. Acta 2018, 279, 224–230. [Google Scholar] [CrossRef]














| Composition | Space Group | a = b [Å] | c [Å] | V [Å3] | Density [g/cm3] | Rp [%] | Rwp [%] |
|---|---|---|---|---|---|---|---|
| LaNi0.75Cu0.25O3−δ | R-3c | 5.4687(1) | 13.1877(1) | 341.56(1) | 7.20 | 4.22 | 6.64 |
| La0.95Sr0.05Ni0.75Cu0.25O3−δ | R-3c | 5.4591(1) | 13.1814(1) | 340.21(1) | 7.15 | 3.64 | 2.51 |
| La0.9Sr0.1Ni0.75Cu0.25O3−δ | R-3c | 5.4539(1) | 13.2055(1) | 340.17(1) | 7.08 | 4.80 | 3.21 |
| LaNi0.5Cu0.5O3−δ | R-3c | 5.4730(1) | 13.2166(1) | 342.85(1) | 7.19 | 4.19 | 2.97 |
| La0.95Sr0.05Ni0.5Cu0.5O3−δ | R-3c | 5.4660(1) | 13.2318(1) | 342.37(1) | 7.14 | 4.24 | 3.00 |
| Sample | Phase Transition Temperature |
|---|---|
| LaNi0.75Cu0.25O3−δ | 850 °C [40] |
| La0.95Sr0.05Ni0.75Cu0.25O3−δ | 550 °C |
| La0.9Sr0.1Ni0.75Cu0.25O3−δ | 450 °C |
| LaNi0.5Cu0.5O3−δ | 750 °C [40] |
| La0.95Sr0.05Ni0.5Cu0.5O3−δ | 450 °C |
| HT-XRD (25-400/500 °C) | HT-XRD (500–800 °C) | Dilatometry (25–400 °C) | Dilatometry (550–800 °C) | HT-XRD (25–800 °C) | Dilatometry (25–800 °C) | |
|---|---|---|---|---|---|---|
| LaNi0.75Cu0.25O3−δ | - | - | 11.1 | 15.0 | - | 14.3 |
| La0.95Sr0.05Ni0.75Cu0.25O3−δ | 12.8 | 11.8 | 11.1 | 15.4 | 12.7 | 14.6 |
| La0.9Sr0.1Ni0.75Cu0.25O3−δ | 12.5 | 13.9 | 11.1 | 15.8 | 13.2 | 15.1 |
| LaNi0.5Cu0.5O3−δ | - | - | 11.1 | 15.0 | - | 13.9 |
| La0.95Sr0.05Ni0.5Cu0.5O3−δ | 11.2 | 15.1 | 11.5 | 15.2 | 12.9 | 14.1 |
| Average Oxidation State of B-Site Cations Cu/Ni at RT | Oxygen Content at RT | Oxygen Content at 600 °C | |
|---|---|---|---|
| LaNi0.75Cu0.25O3−δ | 2.82 | 2.91 | 2.85 |
| La0.95Sr0.05Ni0.75Cu0.25O3−δ | 2.83 | 2.89 | 2.80 |
| La0.9Sr0.1Ni0.75Cu0.25O3−δ | 2.83 | 2.86 | 2.75 |
| LaNi0.5Cu0.5O3−δ | 2.78 | 2.89 | 2.80 |
| La0.95Sr0.05Ni0.5Cu0.5O3−δ | 2.79 | 2.87 | 2.78 |
Publisher’s Note: MDPI stays neutral with regard to jurisdictional claims in published maps and institutional affiliations. |
© 2022 by the authors. Licensee MDPI, Basel, Switzerland. This article is an open access article distributed under the terms and conditions of the Creative Commons Attribution (CC BY) license (https://creativecommons.org/licenses/by/4.0/).
Share and Cite
Lach, J.; Zheng, K.; Kluczowski, R.; Niemczyk, A.; Zhao, H.; Chen, M. Tuning Cu-Content La1−xSrxNi1−yCuyO3−δ with Strontium Doping as Cobalt-Free Cathode Materials for High-Performance Anode-Supported IT-SOFCs. Materials 2022, 15, 8737. https://doi.org/10.3390/ma15248737
Lach J, Zheng K, Kluczowski R, Niemczyk A, Zhao H, Chen M. Tuning Cu-Content La1−xSrxNi1−yCuyO3−δ with Strontium Doping as Cobalt-Free Cathode Materials for High-Performance Anode-Supported IT-SOFCs. Materials. 2022; 15(24):8737. https://doi.org/10.3390/ma15248737
Chicago/Turabian StyleLach, Jakub, Kun Zheng, Ryszard Kluczowski, Anna Niemczyk, Hailei Zhao, and Min Chen. 2022. "Tuning Cu-Content La1−xSrxNi1−yCuyO3−δ with Strontium Doping as Cobalt-Free Cathode Materials for High-Performance Anode-Supported IT-SOFCs" Materials 15, no. 24: 8737. https://doi.org/10.3390/ma15248737
APA StyleLach, J., Zheng, K., Kluczowski, R., Niemczyk, A., Zhao, H., & Chen, M. (2022). Tuning Cu-Content La1−xSrxNi1−yCuyO3−δ with Strontium Doping as Cobalt-Free Cathode Materials for High-Performance Anode-Supported IT-SOFCs. Materials, 15(24), 8737. https://doi.org/10.3390/ma15248737

