The Use of Various Measurement Methods for Estimating the Fracture Energy of PLA (Polylactic Acid)
Abstract
1. Introduction
2. Materials and Methods
2.1. Materials and Injection Moulding Conditions
2.2. The Essential Work of Fracture (EWF)
2.3. Impact Toughness
3. Results
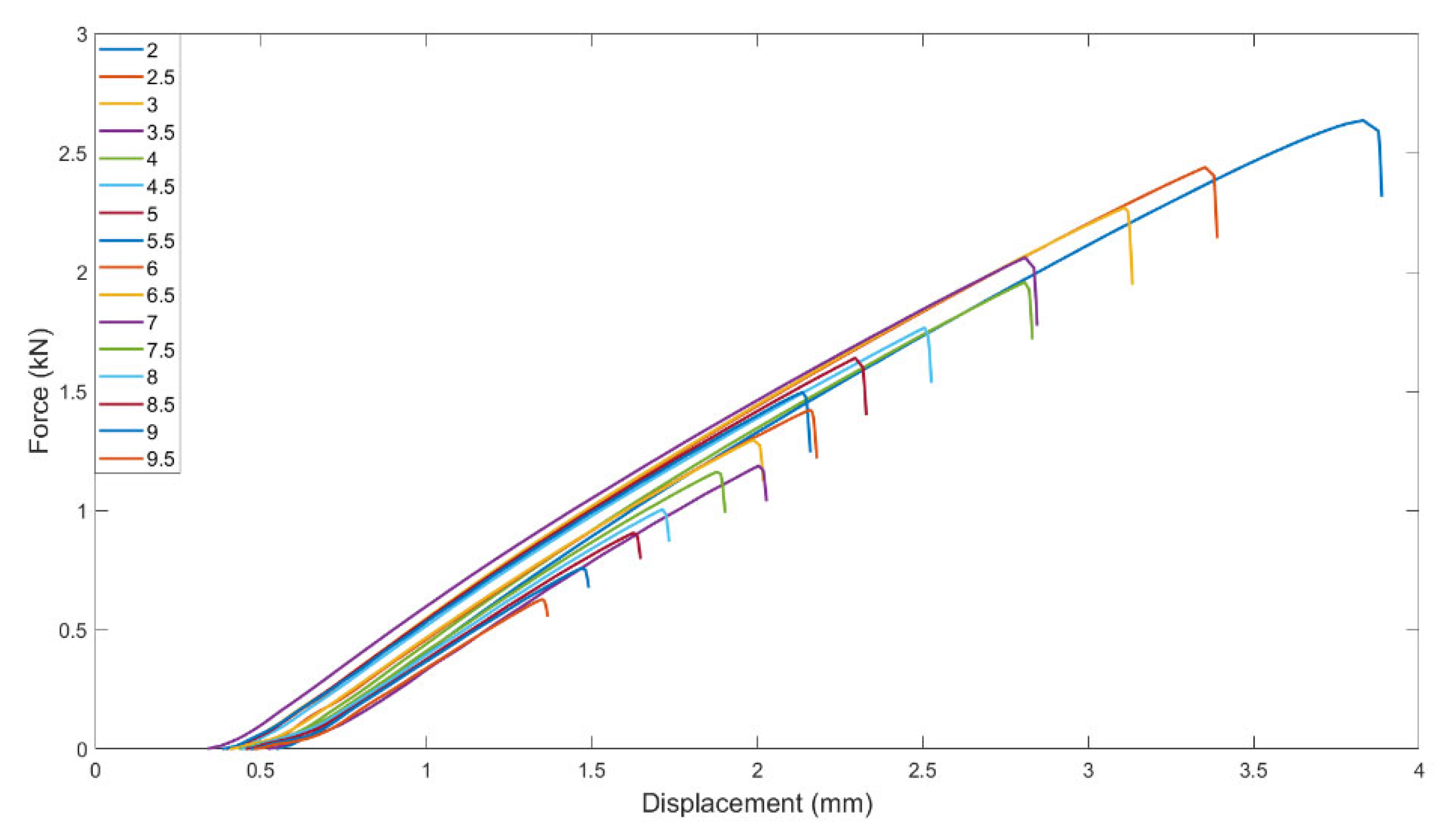
3.1. Analysis of PLA EWF Toughness
- (a)
- The ligament is under plane state of stress;
- (b)
- The ligament is fully yielded prior to crack initiation and small enough to avoid edge effects.
3.2. Dynamic Toughness
3.3. Diversity of EWF, Izod and Charpy Impact Tests
4. Conclusions
Author Contributions
Funding
Data Availability Statement
Acknowledgments
Conflicts of Interest
References
- Pilla, S.; Kramschuster, A.; Lee, J.; Clemons, C.; Gong, S.; Turng, L.-S. Microcellular processing of polylactide–hyperbranched polyester–nanoclay composites. J. Mater. Sci. 2010, 45, 2732–2746. [Google Scholar] [CrossRef]
- Pilla, S.; Kramschuster, A.; Yang, L.; Lee, J.; Gong, S.; Turng, L.-S. Microcellular injection-molding of polylactide with chain-extender. Mater. Sci. Eng. C 2009, 29, 1258–1265. [Google Scholar] [CrossRef]
- Nagarajan, V.; Zhang, K.; Misra, M.; Mohanty, A.K. Overcoming the fundamental challenges in improving the impact strength and crystallinity of PLA biocomposites: Influence of nucleating agent and mold temperature. ACS Appl. Mater. Interfaces 2015, 7, 11203–11214. [Google Scholar] [CrossRef] [PubMed]
- Bertocco, A.; Bruno, M.; Armentani, E.; Esposito, L.; Perrella, M. Stress Relaxation Behavior of Additively Manufactured Polylactic Acid (PLA). Materials 2022, 15, 3509. [Google Scholar] [CrossRef] [PubMed]
- Dillon, B.; Doran, P.; Fuenmayor, E.; Healy, A.V.; Gately, N.M.; Major, I.; Lyons, J.G. Influence of Annealing and Biaxial Expansion on the Properties of Poly(l-Lactic Acid) Medical Tubing. Polymers 2019, 11, 1172. [Google Scholar] [CrossRef] [PubMed]
- Vozniak, A.; Bartczak, Z. Deformation of poly-l-lactid acid (Plla) under uniaxial tension and plane-strain compression. Polymers 2021, 13, 4432. [Google Scholar] [CrossRef] [PubMed]
- Bajpai, P.K.; Singh, I.; Madaan, J. Development and characterization of PLA-based green composites: A review. J. Thermoplast. Compos. Mater. 2014, 27, 52–81. [Google Scholar] [CrossRef]
- Nagarajan, V.; Mohanty, A.K.; Misra, M. Perspective on Polylactic Acid (PLA) based Sustainable Materials for Durable Applications: Focus on Toughness and Heat Resistance. ACS Sustain. Chem. Eng. 2016, 4, 2899–2916. [Google Scholar] [CrossRef]
- Lin, L.; Deng, C.; Lin, G.-P.; Wang, Y.-Z. Super Toughened and High Heat-Resistant Poly(Lactic Acid) (PLA)-Based Blends by Enhancing Interfacial Bonding and PLA Phase Crystallization. Ind. Eng. Chem. Res. 2015, 54, 5643–5655. [Google Scholar] [CrossRef]
- Houari, T.; Benguediab, M.; Belaziz, A.; Belhamiani, M.; Aid, A. Fracture Toughness Characterization of High-Density Polyethylene Using Essential Work of Fracture Concept. J. Fail. Anal. Prev. 2020, 20, 315–322. [Google Scholar] [CrossRef]
- Rigotti, D.; Elhajjar, R.; Pegoretti, A. Adiabatic effects on the temperature and rate dependency of the fracture toughness of an ethylene-fluoroethylene film. Eng. Fract. Mech. 2019, 214, 260–269. [Google Scholar] [CrossRef]
- De Oliveira, C.J.V.; Weber, R.P.; Monteiro, S.N.; Vital, H.; Dias, M.L. Evaluation of Fracture Toughness of Ultraviolet-Irradiated Polycarbonate Using the Essential Work of Fracture Method. Mater. Res. 2018, 21. [Google Scholar] [CrossRef]
- Yilmaz, S.; Kodal, M.; Yilmaz, T.; Ozkoc, G. Fracture toughness analysis of O-POSS/PLA composites assessed by essential work of fracture method. Compos. Part B Eng. 2014, 56, 527–535. [Google Scholar] [CrossRef]
- Cuesta, I.; Martinez-Pañeda, E.; Díaz, A.; Alegre, J. The Essential Work of Fracture parameters for 3D printed polymer sheets. Mater. Des. 2019, 181, 107968. [Google Scholar] [CrossRef]
- Santana, O.O.; Rodríguez, C.; Belzunce, J.; Gámez-Pérez, J.; Carrasco, F.; Maspoch, M.L. Fracture behaviour of de-aged poly(lactic acid) assessed by essential work of fracture and J-Integral methods. Polym. Test. 2010, 29, 984–990. [Google Scholar] [CrossRef]
- Luo, H.; Wang, X.; Liu, Z.; Yang, Z. Influence of refined hierarchical martensitic microstructures on yield strength and impact toughness of ultra-high strength stainless steel. J. Mater. Sci. Technol. 2020, 51, 130–136. [Google Scholar] [CrossRef]
- Mao, Z.; Jiang, T.; Zhang, X.; Jiang, G.; Zhang, J. Co-continuous phase structure formed in melt processing inducing shear bands to prevent crack propagation: Significant improvement in impact toughness of PMMA. Polym. Test. 2020, 85, 106425. [Google Scholar] [CrossRef]
- Fasce, L.; Bernal, C.; Frontini, P.; Mai, Y.-W. On the impact essential work of fracture of ductile polymers. Polym. Eng. Sci. 2001, 41, 1–14. [Google Scholar] [CrossRef]
- Purnomo, P.H.; Setyarini; Cahyandari, D. Fracture toughness characterization of polymers-based composites using essential work of fracture method. IOP Conf. Ser. Mater. Sci. Eng. 2018, 403, 2086. [Google Scholar] [CrossRef]







| Parameters | Setting |
|---|---|
| Feed Zone (°C) | 165 |
| Transition Zone (°C) | 185 |
| Metering Zone (°C) | 190 |
| Mold Temperature (°C) | 30 |
| Screw Speed (rpm) | 100–175 |
| Holding Pressure (MPa) | 80 |
| Back Pressure (MPa) | 0.35–0.69 |
| Cooling Time (s) | 17 |
| Injection Speed (cm3/s) | 20 |
| Method | Dimension (mm3) | Ligament (mm) | Notch Shape | Notch Angle (°) | Toughness (kJ/m2) |
|---|---|---|---|---|---|
| EWF | 100 × 10 × 3 | 2–4 | V | 90 | 9.90 |
| Charpy | 64 × 3 × 10 | 5–7 | V | 90 | 6.06 |
| Izod | 64 × 3 × 10 | 5–7 | V | 90 | 5.56 |
Publisher’s Note: MDPI stays neutral with regard to jurisdictional claims in published maps and institutional affiliations. |
© 2022 by the authors. Licensee MDPI, Basel, Switzerland. This article is an open access article distributed under the terms and conditions of the Creative Commons Attribution (CC BY) license (https://creativecommons.org/licenses/by/4.0/).
Share and Cite
Gao, L.; Drozdov, A.D. The Use of Various Measurement Methods for Estimating the Fracture Energy of PLA (Polylactic Acid). Materials 2022, 15, 8623. https://doi.org/10.3390/ma15238623
Gao L, Drozdov AD. The Use of Various Measurement Methods for Estimating the Fracture Energy of PLA (Polylactic Acid). Materials. 2022; 15(23):8623. https://doi.org/10.3390/ma15238623
Chicago/Turabian StyleGao, Luyao, and Aleksey D. Drozdov. 2022. "The Use of Various Measurement Methods for Estimating the Fracture Energy of PLA (Polylactic Acid)" Materials 15, no. 23: 8623. https://doi.org/10.3390/ma15238623
APA StyleGao, L., & Drozdov, A. D. (2022). The Use of Various Measurement Methods for Estimating the Fracture Energy of PLA (Polylactic Acid). Materials, 15(23), 8623. https://doi.org/10.3390/ma15238623

