Abstract
Shrinkage greatly influences the mechanical and fatigue properties of compacted graphite iron and it is necessary in order to study the causes of shrinkage in compacted graphite iron and to predict it effectively. In this paper, a kind of cylindrical necking test sample was designed to evaluate the shrinkage in compacted graphite iron, and a method to calculate the size of shrinkage was proposed. By observing the microstructure around the shrinkage zone, it is concluded that concentrated shrinkage mainly appears in the solidification region where the dendritic gap is closed, and the isolated shrinkage mainly occurs in the final solidification region, and the supersaturated carbon elements are gathered on the surface of the shrinkage. The cause of shrinkage in compacted graphite iron is caused by its solidification method, where the austenite dendrites and the eutectic clusters are generated close to the melt zone during the solidification process, leading to the inability to feed the shrinkage. Based on the thermodynamic analysis, the equations between the volume change of each phase, solid phase rate, and time during solidification of compacted graphite iron were established to theoretically explain the formation mechanism of the shrinkage. Taking nine parameters such as the chemical elements and characteristic values of thermal analysis as the input nods, a four-layer BP neural network model for predicting the size of shrinkage in compacted graphite iron was constructed, and the R-squared of the model reached 97%, which indicates it could be used to predict the shrinkage tendency.
1. Introduction
Compacted graphite iron has excellent thermal conductivity and anti-vibration and anti-fatigue properties, and can be used for a longer period of time under the complex working environment of diesel engines, and, at the same time, it has good casting properties and mechanical properties. This is inseparable from the different roles played by the various forms of carbon in the material. In addition, these excellent properties provide the material basis for the development of high-performance diesel engines [1,2,3,4,5,6].
Shrinkage is a key factor affecting the performance of compacted graphite iron castings, and it can lead to a serious decline in the performance of castings. In recent years, research on the shrinkage of compacted graphite iron has been focused on and developed [7,8]. Vazehrad et al. [9] performed a test specimen by cutting from a diesel engine cylinder block in the region of different cooling rates, and found that the shrinkage tendency of the castings with different cooling rates was different and it was also related to the nodularity. Lekakh et al. [10] designed a set of cylindrical specimens arranged in a ring to express the shrinkage of the spheroidal graphite iron by simulation and actual pouring, performed the analysis of the solidification process and modeled the nodularity of graphite spheres as a mathematical function of the shrinkage rate. Boeri et al. [11] designed three different shapes of stepped specimens to evaluate the compacted graphite iron, and it was found that the shrinkage was mainly generated at the interstices of the dendritic arms. Ramos et al. [12] observed the microstructure of compacted graphite iron near the shrinkage zone and found that the eutectic undercooling plays a key role in the microstructure of compacted graphite iron, as well as in the generation of shrinkage, and it was found that a decrease in the eutectic undercooling could reduce the generation of shrinkage.
On-line inspection of the solidification process using the thermal analysis technique is currently a rapid method for the inspection of cast iron [13]. Kanno et al. [14,15] used the thermal analysis method to predict the shrinkage tendency of spheroidal graphite iron, and a mathematical fitting analysis between the thermal analysis characteristic values and shrinkage tendency was performed to obtain the relationship index for predicting the shrinkage. The experimental results of Fourlakidis [16] showed that the carbonization of hypoeutectic ductile iron could reduce the occurrence of shrinkage, and the formation and growth of shrinkage correlated well with the typical characteristic values of the thermal analysis.
However, the causes of shrinkage in compacted graphite iron were not well described in the above study. In this paper, by simulation and experimental verification, a cylindrical necking test sample was designed to express the shrinkage tendency in compacted graphite iron. Then, the microstructure around the shrinkage zone was observed using a hot alkali corrosion method in order to analyze the causes and growth patterns of shrinkage, and the generation of each phase during solidification was calculated according to the thermodynamic and solidification processes. Finally, the shrinkage tendency of compacted graphite iron was predicted by a four-layer BP (Back Propagation) artificial neural network according to the thermal analysis characteristic values and chemical compositions.
2. Experiments
2.1. Experiment Materials
An ABP20t medium frequency induction furnace was used to melt the compacted graphite iron, and the cored-wire injection method was used for vermicularization and inoculation. The chemical compositions of molten iron were measured using an optical emission spectrometer (SPECTROLAB S, Kleve, Germany) and carbon-sulfur analyzer (LECO, Saint Joseph, MI, USA). The nominal chemical compositions of compacted graphite iron are shown in Table 1. The test materials with a low sulfur content were used to ensure the quality of the compacted graphite iron melt and the adjustment of the molten iron composition through carburant, ferrosilicon, and ferromanganese.
Table 1.
Nominal chemical compositions of compacted graphite iron.
2.2. Design of Shrinkage Test Block
In order to characterize the shrinkage tendency in the solidification process of compacted graphite iron, three kinds of cylindrical necking test samples were designed according to the casting solidification modulus method, and their sizes were Ø26 × 55 mm, Ø30 × 60 mm, and Ø40 × 70 mm. In reference to the shrinkage modulus (about 0.6) of the actual castings, as shown in Figure 1, the moduli of the test samples were set as 0.5, 0.6, and 0.78, respectively.
Figure 1.
Shrinkage defects in the actual casting with modulus of 0.6.
After pouring, three kinds of samples were cut along the middle symmetry plane, as shown in Figure 2. It can be found that with the increase in the sample diameter and casting modulus, the appearance of hole-like defects gradually increased, and the inner surface of defects gradually presented as being smooth and round, which shows the characteristics of the gas hole. Therefore, the cylindrical necking test sample with a large modulus was more likely to form a gas hole. The size of the gas holes was larger than the shrinkage, which would result in a large shrinkage rate for the evaluation. Consequently, the cylindrical necking test sample with Ø26 × 55 mm was more suitable.
Figure 2.
Pouring results of three different sizes of cylindrical necking test samples: (a) Ø26 × 55 mm, (b) Ø30 × 60 mm, and (c) Ø40 × 70 mm.
In order to further reduce the effect of the gas hole on the shrinkage evaluation, the neck size of the sample was further optimized by changing its height and depth. Four samples with different neck heights and depths were designed, and the neck sizes are shown in Table 2. The numerical simulations were used to appraise the solidification of the molten iron in the samples, and the results are shown in Figure 3. It can be seen that the neck depth and height had a decisive effect on the final solidification of the molten iron. The greater the neck depth and height, the lower the final solidification area, and the slenderer it also becomes. Figure 4 shows the possible zones of shrinkage in the four samples. As the final solidification area moved downward, the possible zones of shrinkage also moved downward, and the increase in neck depth and height led to the shrinkage becoming larger and more concentrated. Finally, the shrinkage was gradually separated into two parts.
Table 2.
Four different neck sizes for the Ø26 × 55 mm sample (mm).
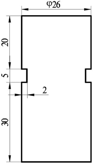
The results of the actual pouring castings using the above samples are shown in Figure 5. The shrinkage became more obvious as the neck depth and height increased, but the gas in an area with too low solidification could not be discharged from the upper of the molten iron, resulting in a significant gas hole. Therefore, considering the effect of the gas hole on the shrinkage, the final cylindrical necking test sample is shown in Figure 6. The height and depth of neck were 5 mm and 2 mm, and the distance from the top was 20 mm.
Figure 6.
Dimension of the final cylindrical necking test sample (mm).
When the shrinkage of compacted graphite iron was evaluated using the designed cylindrical necking test sample, the volume of the shrinkage could not be calculated directly because most of the shrinkage being small and scattered. Therefore, the area around the shrinkage zone could be measured, and the shrinkage intensity index was used to evaluate the shrinkage zone with the same area. The shrinkage was quantified from two scales of the shrinkage area and the shrinkage intensity index, and the statistical method was as follows [17].
- (1)
- Measure the total area of the shrinkage zone on profile As. A rectangle was used to mark the shrinkage zone, and the rectangular area was be as small as possible under the premise of including all of the defects in the shrinkage zone. The area of the rectangle was marked as AS.
- (2)
- The shrinkage intensity index (IS) was defined according to the shrinkage diameter. When the shrinkage diameter did not exceed 0.5 mm, it was defined as micro-shrinkage, and the shrinkage intensity index IS was 1. When the diameter was 0.5 mm to 2 mm, it was defined as macro-shrinkage, and the shrinkage intensity index IS was 2.
- (3)
- The shrinkage value Pi was the product of the shrinkage area AS multiplied by the shrinkage intensity index IS, i.e., Pi = AS × IS.
When the cylindrical necking test sample was poured, a thermal analyzer was used to collect the temperature of the molten iron. The typical cooling curve and thermal analysis characteristic values are shown in Figure 7, and the meanings of the characteristic value points are shown in Table 3. Only the basic characteristic value points are listed here, and more characteristic value points to be used in the model will be introduced later.
Figure 7.
Typical cooling curve, cooling rate curve, and characteristic points of compacted graphite iron.
Table 3.
Meanings of each thermal analysis characteristic point.
3. Results and Analysis
3.1. Mechanism of Shrinkage Generation in Compacted Graphite Iron
The microstructure around the shrinkage after corroding for 10 s using 4% nitric acid alcohol is shown in Figure 8. It can be seen that the shrinkage was located in the center of the eutectic cluster, and it had an irregular shape and bumpy appearance at the edge. There was light-colored austenite crossing the shrinkage, and there was no graphite inside the austenite.
Figure 8.
Optical metallographic microstructure around the shrinkage in compacted graphite iron.
The shrinkage in the compacted graphite iron was mainly caused by its solidification characteristics and solidification mode. The solidification characteristics of the compacted graphite iron were between spherical graphite iron and flaky graphite iron, and its inside solidification was similar to the spherical graphite iron, showing paste solidification. So, it had a long eutectic solidification time, and there was a large difference between the morphology of the first solidified part and the later one. When the chemical composition was near the eutectic point, there was a solidification pattern similar to that of flaky graphite iron, that is, the precipitation of austenite dendrites followed by graphite generation [18].
The chemical composition of the experimental compacted graphite iron was micro-sub-eutectic, showing first the precipitation of austenite and then vermicular graphite and the austenite eutectic solidification mode. When the eutectic clusters of graphite and austenite were in contact with each other, the unsolidified molten iron was divided into several discontinuous isolated melt pools by austenite dendrites and eutectic clusters, and there was no feeding channel to make up for the shrinkage.
At the same time, with the growth process of graphite eutectic groups, it became larger and larger. When they were in contact with each other, the expansion force caused by the graphite eutectic group made the austenite dendrite gap increase, so that the final solidification part could not be fed and thus the shrinkage formed.
The hot alkali corrosion method was performed to further observed the microstructure and analyze the mechanism of shrinkage formation in compacted graphite cast iron. The parameters of the hot alkali corrosion solution are shown in Table 4, and Figure 9 shows the color metallographic photographs of the shrinkage zone.
Table 4.
Parameters of a hot alkali corrosion solution and etching process.

Figure 9.
Color metallographic microstructure around the shrinkage: (a,b) shrinkage in the dendritic gap and (c,d) shrinkage in the final solidification zone.
It can be seen that there were two locations where shrinkage occurred. It appeared in the dendritic gap, such as in Figure 9a,b. It also appeared in the final solidification zone, as shown in Figure 9c,d.
The solidification around the shrinkage in the dendrite gap was earlier. During the growth of the primary austenite dendrites, they overlapped each other to form a skeleton, and the liquid metal was divided into different zones. After the eutectic growth of the liquid metal in the gap, the dendrite gap also expanded, resulting in shrinkage formation in the dendrite gap. In addition, the cooling time of Figure 9b was later than that of Figure 9a. The austenite around the defects in Figure 9a is light yellow and orange-red, which was the first precipitated austenite dendrite. However, the austenite in Figure 9b is blue, which was the austenite generated by eutectic solidification, and the solidification time was later.
Another kind of shrinkage appeared in the final solidification zone outside the eutectic cluster. The color metallography showed that the zone around the shrinkage was brown, which indicates that the solidification time was the latest. There was no liquid metal to feed this zone, and the graphite was smaller and the eutectic cluster did not grow. Therefore, it could not achieve the self-feeding of graphite, resulting in the formation of shrinkage.
SEM of the interdendritic shrinkage was performed and the results are shown in Figure 10. The interconnected dendrites and the morphology of the interdendritic shrinkage could be clearly seen. The shrinkage was concentrated in the interstices of dendrites, and the dendrites could be found to penetrate through the shrinkage. There was less graphite around the shrinkage, and the graphite size was also smaller. One way to prevent the generation of shrinkage in compacted graphite iron is to control the solidification state of molten iron to be eutectic, which can reduce the amount of austenite dendrites, so as to depress the overlap of austenite dendrites and the formation of enclosed zones.
Figure 10.
SEM of shrinkage defects in compacted graphite iron.
The EDS analysis of the shrinkage zone is shown in Figure 11. The results show that the inner surface of shrinkage had mainly C without Fe, which indicates that the remaining C in the molten iron finally precipitated on the surface of the shrinkage during solidification. The results of the line scan show that the inner surface of shrinkage had almost C, and there was a certain deviation of Si around the shrinkage. The closer the shrinkage, the less the Si, which indicated that the concentration of Si in the molten iron decreased when the isolated shrinkage was formed. According to the anti-deviation behavior of Si in austenite, the zone around the shrinkage was in the final solidification, and the supersaturated C in the final solidification zone precipitated on the inner surface of the shrinkage in the form of graphite. Therefore, another feasible way to reduce shrinkage was to make the supersaturated C in the molten iron precipitate in the form of graphite, which could have a self-feeding effect due to the low density of graphite.

Figure 11.
EDS analysis of shrinkage in compacted graphite iron: (a) shrinkage morphology and line scan path, (b) Fe element distribution, (c) C element distribution, (d) Si element distribution, and (e) line scan curve.
According to the above analysis, the shrinkage of compacted graphite iron was related to the volume of austenite dendrites and eutectic graphite during solidification. Through the thermodynamic analysis of this process, it can be obtained.
where is the total heat change of the system, is the cooling without transformation, and is the release of the total latent heat of crystallization in solidification.
The cooling of the system without transformation could be calculated according to the thermal analysis zero curve based on the Newtonian method [19], and the zero curve could be given by Stefanescu [20].
where is the specific heat of the liquid phase, is the density of the liquid phase, is the volume of the sample cup, and is the temperature change of the zero curve.
The release of the latent heat of crystallization can be divided into two parts of primary and eutectic latent heat, and the eutectic latent heat can be divided into eutectic austenite latent heat and eutectic graphite latent heat. The release of latent heat of crystallization is calculated as follows:
where and are the latent heat of the solidification per unit volume of graphite and austenite, and and are the volume of graphite and austenite, respectively.
The total heat change of the system can be expressed as follows:
where is specific heat capacity of mixture, is the mass of mixture, and is the temperature change or the undercooling.
The variation of the specific heat capacity of the mixture at a primary crystallization stage with time can be expressed as follows:
where is the specific heat of the mixture at the primary crystallization stage, are the mass fraction of the liquid phase, austenite phase, and graphite phase, respectively, and all of the vary with time .
where is the temperatures of the liquid phase line, is the temperatures at time of , and is the volume of austenite in the primary crystallization stage.
The change in the solid phase mass is mainly related to the nucleation of primary austenite, and the main driving force of nucleation is undercooling. The greater the undercooling, the greater the driving force, and the bigger the reaction rate. According to the equation of the metal nucleation rate, it can be expressed as [21]:
where is the metal nucleation rate, is the diffusion activation energy of liquid metal atoms crossing the solid–liquid interface, is nucleation coefficient (constant), is Boltzmann constant, is interfacial free energy per unit between liquid phase - nucleus, is latent heat of crystallization, is the undercooling, is temperature, and is the equilibrium crystallization point of the metals.
During the process of austenite nucleation, the change in with the temperature is very little, and it is mainly affected by the undercooling degree. The greater the undercooling degree, the greater the nucleation rate. At the pre-nucleating stage, the change in nucleation rate with undercooling can be regarded as linear. Because the composition is almost unchanged, it can be assumed that the solid phase quality is only related to the undercooling, and at the primary crystallization stage it is only determined by the mass of primary austenite. Therefore,
where is the time corresponding to , is the nucleation coefficient of primary austenite, and is the undercooling, and undercooling is the value on the experimentally determined temperature–time curve corresponding to time t. According to the Equations (5) and (8), it can be obtained.
where is the specific heat of the austenite.
According to Equations (2), (3), and (9), the following equation can be obtained.
where .
For the eutectic stage, the heat change of the system is as follows.
where is the total heat change at the eutectic stage, is the cooling without the phase change at the eutectic stage, and is the volume of austenite at the eutectic stage.
Under the premise of constant mass, the following assumptions can be made.
Assumption (1): Only graphite is formed at the eutectic stage, and so there is:
Substituting Equation (13) into Equation (11), the following equation can be obtained.
where is the heat change of the system when only graphite is formed during solidification.
Assumption (2): Only austenite is formed at the eutectic stage, and so there is:
Substituting Equation (15) into Equation (11), we can obtain the following:
where is the heat change of the system when only austenite is formed during solidification.
The actual volume ratio of austenite and graphite can be calculated according to Equation (17).
Substituting Equations (11), (12), (14), and (16) into Equation (17), the following equation can be obtained.
where , and , , are the volumes, which vary with time.
The eutectic growth rate can be described as:
where R is the eutectic growth rate, is the undercooling, and and are the coefficients of eutectic growth. For the eutectic solidification process of cast iron, = 2. So, the eutectic growth rate R of compacted graphite iron is proportional to the square of the undercooling [22]. Therefore, the variation of the solid phase mass with time during the eutectic period can be written as:
where is the ratio of solid phase mass at the eutectic stage. When , , and can be calculated. In addition, the mass ratio of graphite at the eutectic stage can be calculated using Equation (21).
where is the mass ratio of graphite at the eutectic stage.
The specific heat capacity of the eutectic stage is:
According to the law of conservation of mass, the following can be obtained:
Equations (11), (12), (22), and (23), give us the following.
where , , are volume variables with time.
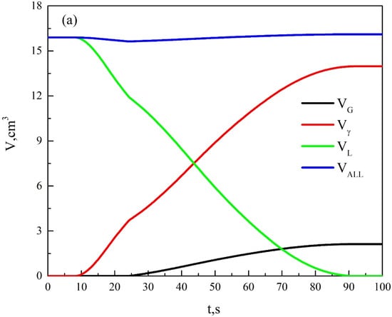
The values of the thermophysical parameters in the above equations are shown in Table 5. Using Equations (18), (23), and (24), we can obtain and . According to the thermal analysis curve and the thermophysical parameters in Table 5 [23,24,25], the relationship curves between the phase volume change, solid phase rate of the solidification process and time can be obtained, as shown in Figure 12.
Table 5.
Selected thermophysical data.

Figure 12.
Changes of phase volume and solid-phase rate during solidification: (a) change of the phase volume and (b) change of the solid phase rate.
As can be seen from Figure 12a, the total volume of the melt at the primary crystallization stage decreases with the precipitation of the primary austenite, expressing a tendency to shrink. When the precipitation of the primary austenite is increased, the shrinkage of the melt is also accelerated. At the eutectic stage, the precipitation of graphite causes the total volume to expand continuously, which plays a role of self-feeding. The calculated results of the solidification process are in agreement with the previous microstructure observation. The overall curve of the solidification process is shown in Figure 12b. The solid phase rate at the primary crystallization stage increases with the increase in undercooling. The change in solid phase rate at the eutectic stage is the same as the change of the temperature curve. The faster the temperature rises back, the faster the solid phase rate increases. The faster the latent heat of the crystallization releases at the eutectic stage, the faster the temperature rises back. This is consistent with the theoretical analysis. Thus, the solidification of compacted graphite iron can be judged by the volume change of each phase during solidification, and the volume change of each phase can be characterized by the cooling curve of the solidification process.
3.2. Shrinkage Prediction in Compacted Graphite Iron
According to formation mechanism of shrinkage, by analyzing the relationship between the thermal analysis curve and the solidification process, some new characteristic points can be achieved, mainly including the characteristic temperature difference of the thermal analysis, the time difference corresponding to the characteristic temperatures, the initial heat release, and the overall heat release of eutectic process. Their meanings and calculation formulas are shown in Table 6, where represents the temperature–time function.
Table 6.
The meanings and calculation formulas of the thermal analysis characteristic points.
A typical correlation analysis was carried out on the parameters, such as the main elements of iron, the characteristic values of thermal analysis, the initial heat release, and the overall heat release, in order to find the correlation between each parameter and the shrinkage, and the results are shown in Table 7 [26]. In this paper, we used the typical correlation analysis function of SPSS software for typical correlation analysis of each group of data, to obtain the data shown in Table 7.
Table 7.
Standardized canonical correlation coefficient, canonical loadings and cross loadings of each variable.
From the canonical loadings, there are nine parameters that have a greater impact on the shrinkage, and they are Mn, P, S, Cu, , , , , and . Among them, the parameters of Cu, , and are negatively correlated and the rest are positively correlated.
Based on the results of the typical correlation analysis, the artificial neural network with superior nonlinear mapping capability is used to predict the shrinkage tendency. A BP neural network model is established as shown in Figure 13, which includes a 9-node input layer, two hidden layers with 12 nodes and 4 nodes, and a 1-node output layer. The nodes of the input layer are nine parameters obtained from the typical correlation analysis, and the node of the output layer is the shrinkage tendency of iron. After training the model, the results are shown in Figure 14, and its R value is obtained as 97%.
Figure 13.
The BP neural network model for predicting the shrinkage tendency of compacted graphite iron.
Figure 14.
The training and testing results of BP neural network.
Figure 15 shows the relationship between the shrinkage tendency Pi and the shrinkage shape. Here the shrinkage is circled in red. The larger Pi, the greater the shrinkage tendency. Therefore, Pi calculated by the BP model can be used to make an effective prediction of the shrinkage tendency of compacted graphite iron.
Figure 15.
Relationship between Pi and shrinkage tendency. (a) Pi = 0; (b) Pi = 0.263; (c) Pi = 0.67; (d) Pi = 1.24.
4. Conclusions
- (1)
- A cylindrical necking test sample was designed to evaluate the shrinkage tendency of compacted graphite iron, which significantly reduces the influence of the gas hole on the shrinkage during solidification. The size of the sample is Ø26 × 55 mm, the height and depth of the neck are 5 mm and 2 mm, respectively, and the neck distance from the top of the sample is 20 mm.
- (2)
- Concentrated shrinkage in compacted graphite iron mainly occurs in the solidification zone where the dendritic gap is enclosed. Because this zone cannot be fed, shrinkage forms in the melt solidification process. Isolated shrinkage is mainly formed in the final solidification zone where less graphite formation during solidification makes self-feeding difficult. The supersaturated C gathers on the surface of the shrinkage. The cause of shrinkage in compacted graphite iron is caused by its solidification method, where the austenite dendrites and the eutectic clusters are generated close to the melt zone during the solidification process, leading to the inability to fill the shrinkage.
- (3)
- Through thermodynamic analysis, the equations between the volume change of each phase, solid phase rate, and time during solidification were established, and the curves of the volume change of each step and solid phase rate versus time were obtained, though which the formation mechanism of shrinkage was theoretically clarified.
- (4)
- Taking nine parameters, such as the chemical elements of iron and the characteristic values of thermal analysis, as the input and the shrinkage as output, a four-layer BP neural network model was constructed to predict the shrinkage. The R-squared of the model reaches 97%, and it can effectively predict the shrinkage tendency of compacted graphite iron.
Author Contributions
Conceptualization, D.S. and Z.L.; methodology, D.S. and Z.L.; software, Z.L.; validation, Z.L. and G.G.; data curation, Z.L.; writing—original draft preparation Z.L.; writing—review and editing, D.S., G.G. and Y.F.; visualization, Z.L.; supervision, D.S.; project administration, D.S.; funding acquisition, D.S. All authors have read and agreed to the published version of the manuscript.
Funding
This research received no external funding.
Institutional Review Board Statement
Not applicable.
Informed Consent Statement
Not applicable.
Conflicts of Interest
The authors declare no conflict of interest.
References
- Lopez-Covaleda, E.A.; Ghodrat, S.; Kestens, L.A.I.; Sacre, C.H.; Pardoen, T. Proposal of Characterization Procedure of Metal(-)Graphite Interface Strength in Compacted Graphite Iron. Materials 2018, 11, 1159. [Google Scholar] [CrossRef] [PubMed]
- Anca, D.-E.; Stan, I.; Riposan, I.; Stan, S. Graphite Compactness Degree and Nodularity of High-Si Ductile Iron Produced via Permanent Mold versus Sand Mold Casting. Materials 2022, 15, 2712. [Google Scholar] [CrossRef]
- Kim, S.; Cockcroft, S.L.; Omran, A.M. Optimization of the process parameters affecting the microstructures and properties of compacted graphite iron. J. Alloy. Compd. 2009, 476, 728–732. [Google Scholar] [CrossRef]
- Ghasali, E.; Ebadzadeh, T.; Alizadeh, M.; Razavi, M. Spark plasma sintering of WC-based cermets/titanium and vanadium added composites: A comparative study on the microstructure and mechanical properties. Ceram. Int. 2018, 44, 10646–10656. [Google Scholar] [CrossRef]
- Ghasali, E.; Alizadeh, M.; Pakseresht, A.H.; Ebadzadeh, T. Preparation of silicon carbide/carbon fiber composites through high-temperature spark plasma sintering. J. Asian Ceram. Soc. 2017, 5, 472–478. [Google Scholar] [CrossRef]
- Lee, Y.S.; Lee, J.O.; Choi, Y.J.; Lee, S.H.; Lee, H.S.; Jun, J.T.; Kim, J.H. Stress Analysis of the Heavy Duty Diesel Engine with Compacted Graphite Iron. Key Eng. Mater. 2007, 345–346, 897–900. [Google Scholar] [CrossRef]
- Boonmee, S.; Chuencharoen, L. The Study of Solidification Behavior in Cast Irons Using the Linear Displacement Method. Solid State Phenom. 2017, 263, 77–81. [Google Scholar] [CrossRef]
- Hajkowski, J.; Roquet, P.; Khamashta, M.; Codina, E.; Ignaszak, Z. Validation Tests of Prediction Modules of Shrinkage Defects in Cast Iron Sample. Arch. Foundry Eng. 2017, 17, 57–66. [Google Scholar] [CrossRef][Green Version]
- Vazehrad, S.; Elfsberg, J.; Diószegi, A. On Factors Influencing Macro Shrinkage Porosity Formation in Compacted Graphite Iron. Mater. Sci. Forum 2014, 790–791, 429–434. [Google Scholar] [CrossRef]
- Lekakh, S.N.; Hrebec, B. Solidification Kinetics of Graphite Nodules in Cast Iron and Shrinkage Porosity. Int. J. Met. 2016, 10, 389–400. [Google Scholar] [CrossRef]
- Boeri, R.E.; López, M.G.; Tenaglia, N.E.; Massone, J.M. Solidification, Macrostructure and Shrinkage Formation of Ductile and Compacted Irons. Int. J. Met. 2020, 14, 1172–1182. [Google Scholar] [CrossRef]
- Ramos, A.K.; Diószegi, A.; Guesser, W.L.; Cabezas, C.S. Microstructure of Compacted Graphite Iron Near Critical Shrinkage Areas in Cylinder Blocks. Int. J. Met. 2020, 14, 736–744. [Google Scholar] [CrossRef]
- Liu, J.-H.; Yan, J.-S.; Zhao, X.-B.; Fu, B.-G.; Xue, H.-T.; Zhang, G.-X.; Yang, P.-H. Precipitation and evolution of nodular graphite during solidification process of ductile iron. China Foundry 2020, 17, 260–271. [Google Scholar] [CrossRef]
- Kanno, T.; Iwami, Y.; Kang, I. Prediction of Graphite Nodule Count and Shrinkage Tendency in Ductile Cast Iron, with 1 Cup Thermal Analysis. Int. J. Met. 2016, 11, 1–7. [Google Scholar] [CrossRef]
- Kanno, T.; Iwami, Y.; Kang, I. Prediction of Graphite Nodule Count and Shrinkage Tendency of Spheroidal Graphite Cast Iron by One Cup Thermal Analysis. Mater. Trans. 2018, 59, 456–461. [Google Scholar] [CrossRef]
- Fourlakidis, V. A Study on Ductile Iron Production without the Use of Feeders. Key Eng. Mater. 2010, 457, 499–504. [Google Scholar] [CrossRef]
- Anjos, V.; Ribeiro, C. Maximization and Control of Nodular Iron Melt’s Self-Feeding Characteristics to Minimize Shrinkage. Mater. Sci. Forum 2018, 925, 147–154. [Google Scholar] [CrossRef]
- Ding, X.F.; Li, X.Z.; Feng, Q.; Matthias, W.; Huang, S.Y. Microstructure evolution in grey cast iron during directional solidification. Int. J. Miner. Metall. Mater. 2017, 24, 884–890. [Google Scholar] [CrossRef][Green Version]
- Alonso, G.; Larranaga, P.; Sertucha, J.; Suarez, R.; Gray, D.M. Cast Iron with High Austenite-to-Eutectic Ratio Part I—Calculation and Experimental Evaluation of the Fraction of Primary Austenite in Cast Iron. Trans. Am. Foundry Soc. 2012, 120, 329–335. Available online: https://www.researchgate.net/publication/260037797 (accessed on 13 August 2022).
- Upadhya, K.G.; Stefanescu, D.M.; Lieu, K.; Yeger, D.P. Computer-aided Cooling Curve Analysis, Principles and Applications in Metal Casting. Trans. AFS 1989, 97, 61–66. Available online: https://www.researchgate.net/publication/260086296 (accessed on 18 August 2022).
- Elliott, R. Chapter 2—The eutectic solidification process. In Eutectic Solidification Processing; Elsevier: Amsterdam, The Netherlands, 1983; pp. 55–91. [Google Scholar] [CrossRef]
- Diószegi, A. Evaluation of eutectic growth in grey cast iron by means of inverse modelling. Cast Met. 2003, 16, 301–306. [Google Scholar] [CrossRef]
- Diószegi, A.; Hattel, J. Inverse thermal analysis method to study solidification in cast iron. Cast Met. 2004, 17, 311–318. [Google Scholar] [CrossRef]
- Majchrzak, E.; Dziewoński, M.; Kałuża, G. Numerical algorithm of cast steel latent heat identifications. J. Achiev. Mater. Manuf. Eng. 2007, 22, 61–64. Available online: https://yadda.icm.edu.pl/yadda/element/bwmeta1.element.baztech-article-BOS3-0017-0018 (accessed on 22 September 2022).
- Fraś, E.; Górny, M.; Kapturkiewicz, W.; Chilling, H. Tendency and Chill of Cast Iron. Tsinghua Sci. Technol. 2008, 13, 177–183. [Google Scholar] [CrossRef]
- Härdle, W.K.; Simar, L. Canonical Correlation Analysis. In Applied Multivariate Statistical Analysis; Springer: Berlin/Heidelberg, Germany, 2012; pp. 385–395. [Google Scholar] [CrossRef]
Publisher’s Note: MDPI stays neutral with regard to jurisdictional claims in published maps and institutional affiliations. |
© 2022 by the authors. Licensee MDPI, Basel, Switzerland. This article is an open access article distributed under the terms and conditions of the Creative Commons Attribution (CC BY) license (https://creativecommons.org/licenses/by/4.0/).