Enhanced and Selective Absorption of Molybdenum Nanostructured Surfaces for Concentrated Solar Energy Applications
Abstract
1. Introduction
2. Materials and Methods
3. Results
3.1. Characterization of the Samples before Thermal Ageing
3.1.1. Morphology and Chemical Analysis
3.1.2. Optical Measurements
3.2. Characterization of the Samples after Thermal Ageing
3.2.1. Morphological Measurements
3.2.2. Optical Measurements
3.2.3. Raman Spectroscopy
4. Discussion
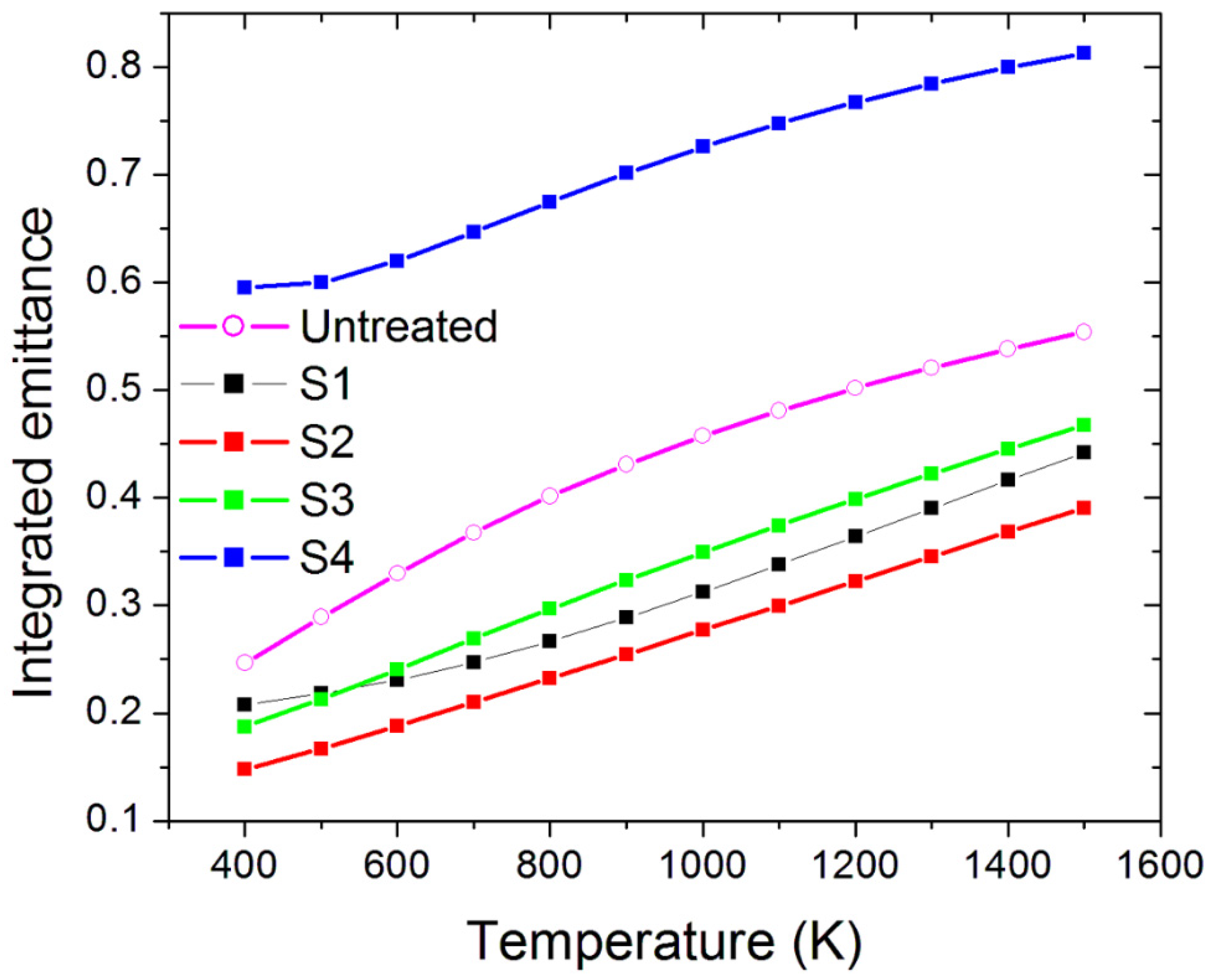
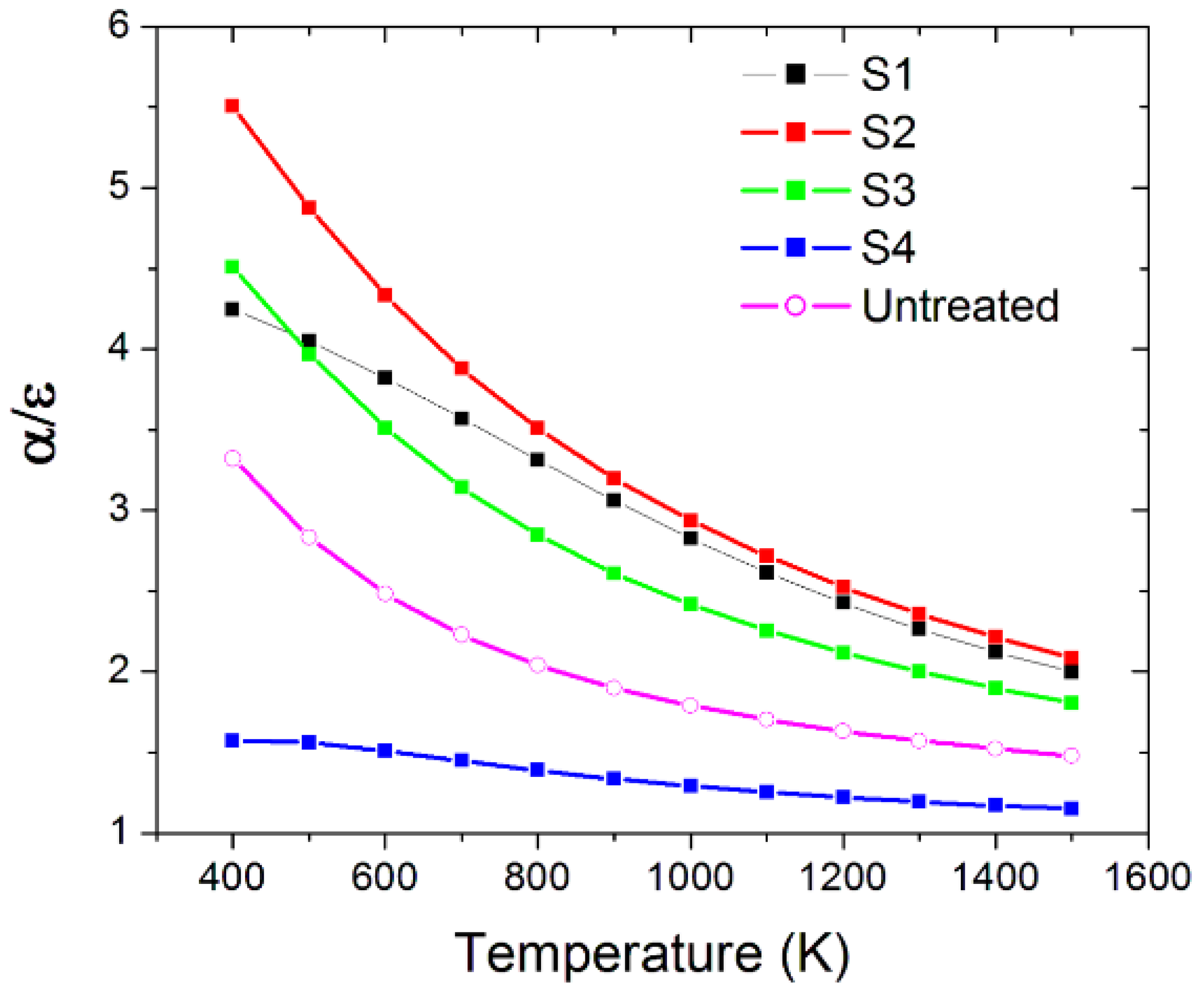
4.1. Solar Selectivity and Thermal Stability
4.2. Formation of Nanostructured Mo Oxides and Their Role: Future Challenge
5. Conclusions
Author Contributions
Funding
Institutional Review Board Statement
Informed Consent Statement
Data Availability Statement
Acknowledgments
Conflicts of Interest
References
- Islam, M.T.; Huda, N.; Abdullah, A.B.; Saidur, R. A Comprehensive Review of State-of-the-Art Concentrating Solar Power (CSP) Technologies: Current Status and Research Trends. Renew. Sustain. Energy Rev. 2018, 91, 987–1018. [Google Scholar] [CrossRef]
- Khodasevych, I.E.; Wang, L.; Mitchell, A.; Rosengarten, G. Micro- and Nanostructured Surfaces for Selective Solar Absorption. Adv. Opt. Mater. 2015, 3, 852–881. [Google Scholar] [CrossRef]
- Platzer, W.J.; Hildebrandt, C. Absorber Materials for Solar Thermal Receivers in Concentrating Solar Power Systems. In Concentrating Solar Power Technology; Lovegrove, K., Stein, W., Eds.; Elsevier: Amsterdam, The Netherlands, 2021; pp. 511–544. ISBN 9780128199701. [Google Scholar]
- Chou, J.B.; Yeng, Y.X.; Lenert, A.; Rinnerbauer, V.; Celanovic, I.; Soljačić, M.; Wang, E.N.; Kim, S.-G. Design of Wide-Angle Selective Absorbers/Emitters with Dielectric Filled Metallic Photonic Crystals for Energy Applications. Opt. Express 2014, 22, A144–A154. [Google Scholar] [CrossRef]
- Li, Y.; Li, D.; Zhou, D.; Chi, C.; Yang, S.; Huang, B. Efficient, Scalable, and High-Temperature Selective Solar Absorbers Based on Hybrid-Strategy Plasmonic Metamaterials. Sol. RRL 2018, 2, 1800057. [Google Scholar] [CrossRef]
- Verma, S.K.; Gupta, N.K.; Rakshit, D. A Comprehensive Analysis on Advances in Application of Solar Collectors Considering Design, Process and Working Fluid Parameters for Solar to Thermal Conversion. Sol. Energy 2020, 208, 1114–1150. [Google Scholar] [CrossRef]
- Trucchi, D.M.; Bellucci, A.; Girolami, M.; Calvani, P.; Cappelli, E.; Orlando, S.; Polini, R.; Silvestroni, L.; Sciti, D.; Kribus, A. Solar Thermionic-Thermoelectric Generator (ST2G): Concept, Materials Engineering, and Prototype Demonstration. Adv. Energy Mater. 2018, 8, 1802310. [Google Scholar] [CrossRef]
- Birnbaum, M. Semiconductor Surface Damage Produced by Ruby Lasers. J. Appl. Phys. 1965, 36, 3688–3689. [Google Scholar] [CrossRef]
- Vorobyev, A.Y.; Makin, V.S.; Guo, C. Periodic Ordering of Random Surface Nanostructures Induced by Femtosecond Laser Pulses on Metals. J. Appl. Phys. 2007, 101, 34903. [Google Scholar] [CrossRef]
- Mastellone, M.; Pace, M.L.; Curcio, M.; Caggiano, N.; De Bonis, A.; Teghil, R.; Dolce, P.; Mollica, D.; Orlando, S.; Santagata, A.; et al. LIPSS Applied to Wide Bandgap Semiconductors and Dielectrics: Assessment and Future Perspectives. Materials 2022, 15, 1378. [Google Scholar] [CrossRef]
- Van Driel, H.M.; Sipe, J.E.; Young, J.F. Laser-Induced Periodic Surface Structure on Solids: A Universal Phenomenon. Phys. Rev. Lett. 1982, 49, 1955–1958. [Google Scholar] [CrossRef]
- Bonse, J.; Rosenfeld, A.; Krüger, J. On the Role of Surface Plasmon Polaritons in the Formation of Laser-Induced Periodic Surface Structures upon Irradiation of Silicon by Femtosecond-Laser Pulses. J. Appl. Phys. 2009, 106, 104910. [Google Scholar] [CrossRef]
- Huang, M.; Zhao, F.; Cheng, Y.; Xu, N.; Xu, Z. Origin of Laser-Induced near-Subwavelength Ripples: Interference between Surface Plasmons and Incident Laser. ACS Nano 2009, 3, 4062–4070. [Google Scholar] [CrossRef] [PubMed]
- Borowiec, A.; Haugen, H.K. Subwavelength Ripple Formation on the Surfaces of Compound Semiconductors Irradiated with Femtosecond Laser Pulses. Appl. Phys. Lett. 2003, 82, 4462–4464. [Google Scholar] [CrossRef]
- Bonse, J.; Gräf, S. Maxwell Meets Marangoni—A Review of Theories on Laser-Induced Periodic Surface Structures. Laser Photon. Rev. 2020, 14, 2000215. [Google Scholar] [CrossRef]
- Florian, C.; Déziel, J.-L.; Kirner, S.; Siegel, J.; Bonse, J. The Role of the Laser-Induced Oxide Layer in the Formation of Laser-Induced Periodic Surface Structures. Nanomaterials 2020, 10, 147. [Google Scholar] [CrossRef] [PubMed]
- Bellucci, A.; Calvani, P.; Girolami, M.; Orlando, S.; Polini, R.; Trucchi, D.M. Optimization of Black Diamond Films for Solar Energy Conversion. Appl. Surf. Sci. 2016, 380, 8–11. [Google Scholar] [CrossRef]
- Girolami, M.; Bellucci, A.; Mastellone, M.; Orlando, S.; Valentini, V.; Montereali, R.M.; Vincenti, M.A.; Polini, R.; Trucchi, D.M. Optical Characterization of Double-Nanotextured Black Diamond Films. Carbon N. Y. 2018, 138, 384–389. [Google Scholar] [CrossRef]
- Calvani, P.; Bellucci, A.; Girolami, M.; Orlando, S.; Valentini, V.; Polini, R.; Trucchi, D.M. Black Diamond for Solar Energy Conversion. Carbon N. Y. 2016, 105, 401–407. [Google Scholar] [CrossRef]
- Cappelli, E.; Orlando, S.; Sciti, D.; Bellucci, A.; Lettino, A.; Trucchi, D.M. Fs Laser Surface Nano-Structuring of High Refractory Ceramics to Enhance Solar Radiation Absorbance. Appl. Phys. A Mater. Sci. Process. 2014, 117, 243–251. [Google Scholar] [CrossRef]
- Sciti, D.; Trucchi, D.M.; Bellucci, A.; Orlando, S.; Zoli, L.; Sani, E. Effect of Surface Texturing by Femtosecond Laser on Tantalum Carbide Ceramics for Solar Receiver Applications. Sol. Energy Mater. Sol. Cells 2017, 161, 1–6. [Google Scholar] [CrossRef]
- Sani, E.; Sciti, D.; Silvestroni, L.; Bellucci, A.; Orlando, S.; Trucchi, D.M. Tailoring Optical Properties of Surfaces in Wide Spectral Ranges by Multi-Scale Femtosecond-Laser Texturing: A Case-Study for TaB2 Ceramics. Opt. Mater. 2020, 109, 110347. [Google Scholar] [CrossRef]
- Mastellone, M.; Bellucci, A.; Girolami, M.; Serpente, V.; Polini, R.; Orlando, S.; Santagata, A.; Sani, E.; Hitzel, F.; Trucchi, D.M. Deep-Subwavelength 2D Periodic Surface Nanostructures on Diamond by Double-Pulse Femtosecond Laser Irradiation. Nano Lett. 2021, 21, 4477–4483. [Google Scholar] [CrossRef] [PubMed]
- Mastellone, M.; Bellucci, A.; Girolami, M.; Montereali, R.M.; Orlando, S.; Polini, R.; Serpente, V.; Sani, E.; Valentini, V.; Vincenti, M.A.; et al. Enhanced Selective Solar Absorption of Surface Nanotextured Semi-Insulating 6H–SiC. Opt. Mater. 2020, 107, 109967. [Google Scholar] [CrossRef]
- Scorticati, D.; Römer, G.-W.R.B.E.; de Lange, D.F.; Huis in ’t Veld, B. Ultra-Short-Pulsed Laser-Machined Nanogratings of Laser-Induced Periodic Surface Structures on Thin Molybdenum Layers. J. Nanophotonics 2012, 6, 63528. [Google Scholar] [CrossRef][Green Version]
- Dar, M.H.; Saad, N.A.; Sahoo, C.; Naraharisetty, S.R.G.; Desai, N.R. Ultrafast Laser-Induced Reproducible Nano-Gratings on a Molybdenum Surface. Laser Phys. Lett. 2017, 14, 26101. [Google Scholar] [CrossRef]
- Zhao, B.; Zheng, X.; Lei, Y.; Xie, H.; Zou, T.; Yuan, G.; Xin, W.; Yang, J. High-Efficiency-and-Quality Nanostructuring of Molybdenum Surfaces by Orthogonally Polarized Blue Femtosecond Lasers. Appl. Surf. Sci. 2022, 572, 151371. [Google Scholar] [CrossRef]
- Liu, J.M. Simple Technique for Measurements of Pulsed Gaussian-Beam Spot Sizes. Opt. Lett. 1982, 7, 196–198. [Google Scholar] [CrossRef]
- Bonse, J.; Gräf, S. Ten Open Questions about Laser-Induced Periodic Surface Structures. Nanomaterials 2021, 11, 3326. [Google Scholar] [CrossRef]
- Dieterle, M.; Mestl, G. Raman Spectroscopy of Molybdenum Oxides Part II. Resonance Raman Spectroscopic Characterization of the Molybdenum Oxides Mo4O11 and MoO2. Phys. Chem. Chem. Phys. 2002, 4, 822–826. [Google Scholar] [CrossRef]
- de Melo, O.; Agulló-Rueda, F.; Torres-Costa, V. Spatially Resolved MoOx Phases by the Laser Oxidation of MoO2: A Possible Route for All-Molybdenum Oxide Devices. J. Mater. Chem. C 2021, 9, 6579–6588. [Google Scholar] [CrossRef]
- Kotsedi, L.; Mthunzi, P.; Nuru, Z.Y.; Eaton, S.M.; Sechoghela, P.; Mongwaketsi, N.; Ramponi, R.; Maaza, M. Femtosecond Laser Surface Structuring of Molybdenum Thin Films. Appl. Surf. Sci. 2015, 353, 1334–1341. [Google Scholar] [CrossRef]
- Liu, R.; Zhang, D.; Li, Z. Femtosecond Laser Induced Simultaneous Functional Nanomaterial Synthesis, in Situ Deposition and Hierarchical LIPSS Nanostructuring for Tunable Antireflectance and Iridescence Applications. J. Mater. Sci. Technol. 2021, 89, 179–185. [Google Scholar] [CrossRef]
- Alsaif, M.M.Y.A.; Chrimes, A.F.; Daeneke, T.; Balendhran, S.; Bellisario, D.O.; Son, Y.; Field, M.R.; Zhang, W.; Nili, H.; Nguyen, E.P.; et al. High-Performance Field Effect Transistors Using Electronic Inks of 2D Molybdenum Oxide Nanoflakes. Adv. Funct. Mater. 2016, 26, 91–100. [Google Scholar] [CrossRef]
- Inzani, K.; Nematollahi, M.; Vullum-Bruer, F.; Grande, T.; Reenaas, T.W.; Selbach, S.M. Electronic Properties of Reduced Molybdenum Oxides. Phys. Chem. Chem. Phys. 2017, 19, 9232–9245. [Google Scholar] [CrossRef] [PubMed]
- Dang, J.; Zhang, G.-H.; Chou, K.-C.; Reddy, R.G.; He, Y.; Sun, Y. Kinetics and Mechanism of Hydrogen Reduction of MoO3 to MoO2. Int. J. Refract. Met. Hard Mater. 2013, 41, 216–223. [Google Scholar] [CrossRef]
- Wang, B.B.; Qu, X.L.; Zhu, M.K.; Chen, Y.A.; Zheng, K.; Zhong, X.X.; Cvelbar, U.; Ostrikov, K. Plasma Produced Photoluminescent Molybdenum Sub-Oxide Nanophase Materials. J. Alloys Compd. 2018, 765, 1167–1173. [Google Scholar] [CrossRef]



















| Sample | Single Pulse Fluence (J/cm2) | Longitudinal Translational Speed (10−3 m/s) | Number of Pulses per Spot |
|---|---|---|---|
| S1 | 1.8 | 2.0 | 30 |
| S2 | 3.6 | 2.0 | 30 |
| S3 | 7.2 | 2.0 | 30 |
| S4 | 14.4 | 2.0 | 30 |
Publisher’s Note: MDPI stays neutral with regard to jurisdictional claims in published maps and institutional affiliations. |
© 2022 by the authors. Licensee MDPI, Basel, Switzerland. This article is an open access article distributed under the terms and conditions of the Creative Commons Attribution (CC BY) license (https://creativecommons.org/licenses/by/4.0/).
Share and Cite
Santagata, A.; Pace, M.L.; Bellucci, A.; Mastellone, M.; Bolli, E.; Valentini, V.; Orlando, S.; Sani, E.; Failla, S.; Sciti, D.; et al. Enhanced and Selective Absorption of Molybdenum Nanostructured Surfaces for Concentrated Solar Energy Applications. Materials 2022, 15, 8333. https://doi.org/10.3390/ma15238333
Santagata A, Pace ML, Bellucci A, Mastellone M, Bolli E, Valentini V, Orlando S, Sani E, Failla S, Sciti D, et al. Enhanced and Selective Absorption of Molybdenum Nanostructured Surfaces for Concentrated Solar Energy Applications. Materials. 2022; 15(23):8333. https://doi.org/10.3390/ma15238333
Chicago/Turabian StyleSantagata, Antonio, Maria Lucia Pace, Alessandro Bellucci, Matteo Mastellone, Eleonora Bolli, Veronica Valentini, Stefano Orlando, Elisa Sani, Simone Failla, Diletta Sciti, and et al. 2022. "Enhanced and Selective Absorption of Molybdenum Nanostructured Surfaces for Concentrated Solar Energy Applications" Materials 15, no. 23: 8333. https://doi.org/10.3390/ma15238333
APA StyleSantagata, A., Pace, M. L., Bellucci, A., Mastellone, M., Bolli, E., Valentini, V., Orlando, S., Sani, E., Failla, S., Sciti, D., & Trucchi, D. M. (2022). Enhanced and Selective Absorption of Molybdenum Nanostructured Surfaces for Concentrated Solar Energy Applications. Materials, 15(23), 8333. https://doi.org/10.3390/ma15238333

