Experimental Study and Finite Element Analysis on the Flexural Behavior of Steel Fiber Reinforced Recycled Aggregate Concrete Beams
Abstract
1. Introduction
2. Experimental Programs
2.1. Material Properties
2.2. Beam Specimen Characteristics
2.3. Experiment Setup and Test Method

3. Finite Element Analysis (FEA)
3.1. Finite Element Modeling
3.2. Material Modeling
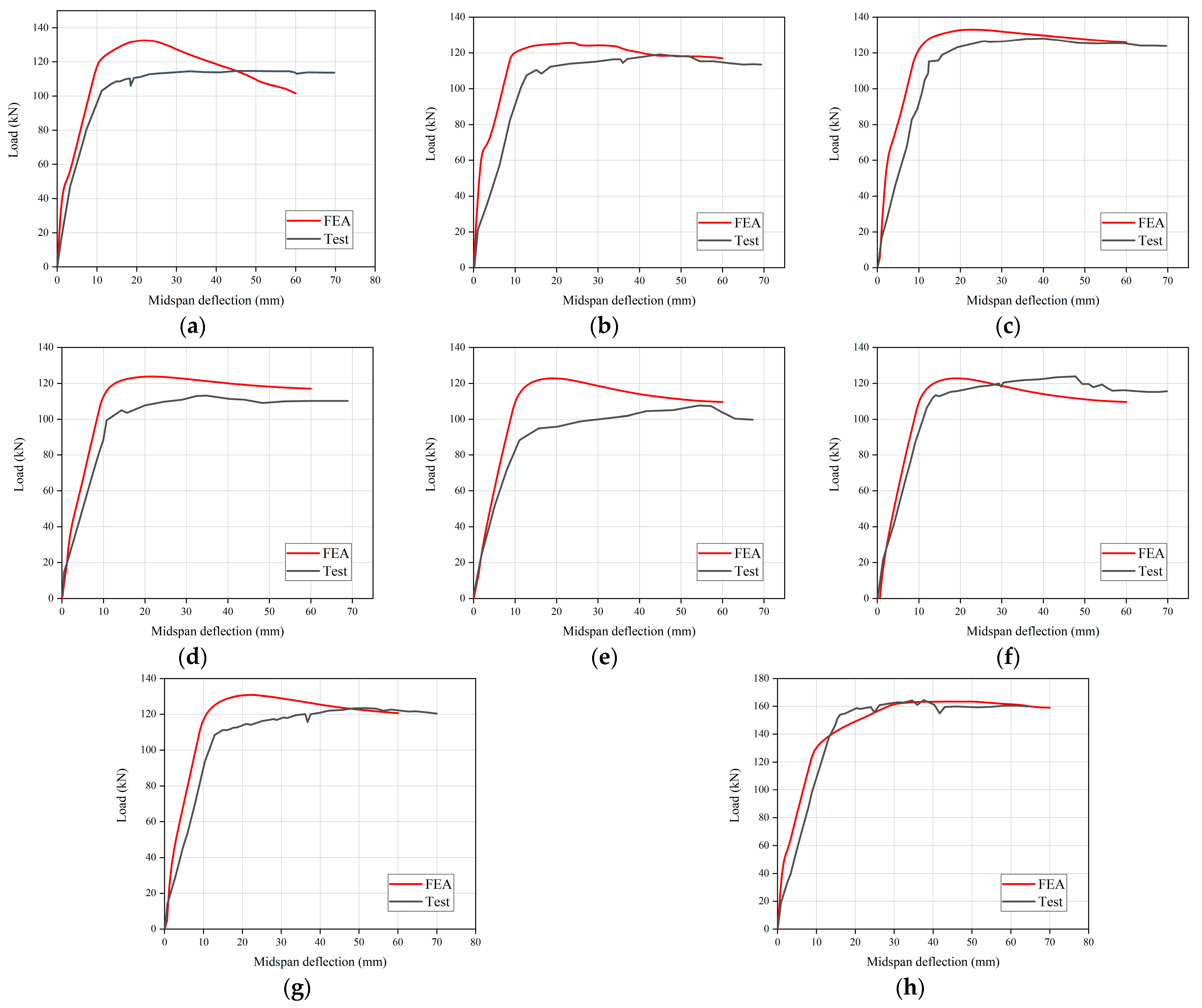
3.3. Validation of the FEA Model
4. Experimental Results and Discussions
4.1. Crack Development and Failure Mode



4.2. Load-Deflection Curves
4.3. Flexural Bearing Capacity
5. Analytical Models for Flexural Bearing Capacity
5.1. Fundamental Assumptions
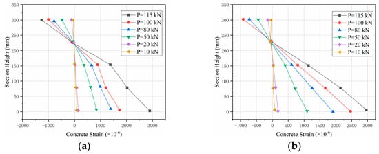
5.1.1. Flat Section Assumptions
5.1.2. Contribution of SFRAC in the Tension Zone
5.1.3. Material Stress–Strain Relationship
5.2. Calculation of Flexural Bearing Capacity
5.3. Formula Validation
6. Conclusions and Discussion
- The stressing process of SFRAC beams is similar to that of ordinary concrete beams, which undergoes the elastic stage, the working stage with cracks, and the damage stage. However, the slope of the curve cannot change significantly after cracking due to the inhibition of the development of concrete cracks by the incorporation of steel fibers. With the increase of steel fiber volume fraction, crack development is inhibited so that the ductility of SFRAC beams is well improved.
- The flexural bearing capacity of SFRAC beams increases with the increase of steel fiber volume fraction and concrete strength, while the decrease of recycled aggregate replacement ratio. The flexural bearing capacity of the SFRAC beams is greater than that of the normal concrete beams and recycled concrete beam with the same concrete strength.
- FE results are established and verified by the experimental results. Reasonable agreement is achieved between experimental and corresponding FE results. It demonstrated that the FEA model can fairly predict the flexural behavior of the SFRAC beams, including the failure modes and crack development.
- A model for calculating the flexural bearing capacity of SFRAC beams is established with consideration of the influence of steel fiber volume fraction and recycled aggregate replacement ratio. What is more, this calculated model directly adopts the stress and strain curve instead of the equivalent rectangular stress graph method, which avoids the problem of determining the characteristic parameters by experiments. The predicted results exhibited good agreement with experimental results.
- Due to the limitation of time and the author’s level, this paper only studied the flexural behavior of SFRAC beams under static load, and further research is needed to study the flexural behavior and establish the analytical model of SFRAC beams under fatigue load.
Author Contributions
Funding
Institutional Review Board Statement
Informed Consent Statement
Data Availability Statement
Conflicts of Interest
References
- Wang, C.; Xiao, J.; Liu, W.; Ma, Z. Unloading and reloading stress-strain relationship of recycled aggregate concrete reinforced with steel/polypropylene fibers under uniaxial low-cycle loadings. Cem. Concr. Compos. 2022, 131, 104597. [Google Scholar] [CrossRef]
- Soares, D.; de Brito, J.; Ferreira, J.; Pacheco, J. Use of coarse recycled aggregates from precast concrete rejects: Mechanical and durability performance. Constr. Build. Mater. 2014, 71, 263–272. [Google Scholar] [CrossRef]
- de Brito, J.; Ferreira, J.; Pacheco, J.; Soares, D.; Guerreiro, M. Structural, material, mechanical and durability properties and behaviour of recycled aggregates concrete. J. Build. Eng. 2016, 6, 1–16. [Google Scholar] [CrossRef]
- Herrador, R.; Pérez, P.; Garach, L.; Ordóñez, J. Use of Recycled Construction and Demolition Waste Aggregate for Road Course Surfacing. J. Transp. Eng. 2012, 138, 182–190. [Google Scholar] [CrossRef]
- Arisha, A.M.; Gabr, A.R.; El-Badawy, S.M.; Shwally, S.A. Performance Evaluation of Construction and Demolition Waste Materials for Pavement Construction in Egypt. J. Mater. Civ. Eng. 2018, 30, 04017270. [Google Scholar] [CrossRef]
- Nayana, A.; Kavitha, S. Evaluation of C02 emissions for green concrete with high volume slag, recycled aggregate, recycled water to build eco environment. Int. J. Civ. Eng. Technol 2017, 8, 703–708. [Google Scholar]
- Liang, C.; Cai, Z.; Wu, H.; Xiao, J.; Zhang, Y.; Ma, Z. Chloride transport and induced steel corrosion in recycled aggregate concrete: A review. Constr. Build. Mater. 2021, 282, 122547. [Google Scholar] [CrossRef]
- Mistri, A.; Bhattacharyya, S.K.; Dhami, N.; Mukherjee, A.; Barai, S.V. A review on different treatment methods for enhancing the properties of recycled aggregates for sustainable construction materials. Constr. Build. Mater. 2020, 233, 117894. [Google Scholar] [CrossRef]
- Wang, R.; Yu, N.; Li, Y. Methods for improving the microstructure of recycled concrete aggregate: A review. Constr. Build. Mater. 2020, 242, 118164. [Google Scholar] [CrossRef]
- Casuccio, M.; Torrijos, M.C.; Giaccio, G.; Zerbino, R. Failure mechanism of recycled aggregate concrete. Constr. Build. Mater. 2008, 22, 1500–1506. [Google Scholar] [CrossRef]
- Gonzalez-Corominas, A.; Etxeberria, M. Properties of high performance concrete made with recycled fine ceramic and coarse mixed aggregates. Constr. Build. Mater. 2014, 68, 618–626. [Google Scholar] [CrossRef]
- Rao, A.; Jha, K.N.; Misra, S. Use of aggregates from recycled construction and demolition waste in concrete. Resour. Conserv. Recycl. 2007, 50, 71–81. [Google Scholar] [CrossRef]
- Senaratne, S.; Gerace, D.; Mirza, O.; Tam, V.W.Y.; Kang, W.-H. The costs and benefits of combining recycled aggregate with steel fibres as a sustainable, structural material. J. Clean. Prod. 2016, 112, 2318–2327. [Google Scholar] [CrossRef]
- Seara-Paz, S.; González-Fonteboa, B.; Martínez-Abella, F.; Eiras-López, J. Flexural performance of reinforced concrete beams made with recycled concrete coarse aggregate. Eng. Struct. 2018, 156, 32–45. [Google Scholar] [CrossRef]
- González-Fonteboa, B.; Martínez-Abella, F.; Herrador, M.F.; Seara-Paz, S. Structural recycled concrete: Behaviour under low loading rate. Constr. Build. Mater. 2012, 28, 111–116. [Google Scholar] [CrossRef]
- Tang, Y.; Xiao, J.; Zhang, H.; Duan, Z.; Xia, B. Mechanical properties and uniaxial compressive stress-strain behavior of fully recycled aggregate concrete. Constr. Build. Mater. 2022, 323, 126546. [Google Scholar] [CrossRef]
- Sobuz, M.H.R.; Datta, S.D.; Akid, A.S.M.; Tam, V.W.Y.; Islam, S.; Rana, M.J.; Aslani, F.; Yalçınkaya, Ç.; Sutan, N.M. Evaluating the effects of recycled concrete aggregate size and concentration on properties of high-strength sustainable concrete. J. King Saud. Univ. Eng. Sci. 2022, in press. [Google Scholar] [CrossRef]
- Gao, D.; Li, W.; Pang, Y.; Huang, Y. Behavior analysis and strength prediction of steel fiber reinforced recycled aggregate concrete column under axial compression. Constr. Build. Mater. 2021, 290, 123278. [Google Scholar] [CrossRef]
- Zhao, Q.; Wang, Y.; Xie, M.; Huang, B. Experimental study on mechanical behavior of steel fiber reinforced geopolymeric recycled aggregate concrete. Constr. Build. Mater. 2022, 356, 129267. [Google Scholar] [CrossRef]
- Liew, K.M.; Akbar, A. The recent progress of recycled steel fiber reinforced concrete. Constr. Build. Mater. 2020, 232, 117232. [Google Scholar] [CrossRef]
- Gao, D.; Zhang, L.; Nokken, M. Compressive behavior of steel fiber reinforced recycled coarse aggregate concrete designed with equivalent cubic compressive strength. Constr. Build. Mater. 2017, 141, 235–244. [Google Scholar] [CrossRef]
- Carneiro, J.A.; Lima, P.R.L.; Leite, M.B.; Toledo Filho, R.D. Compressive stress–strain behavior of steel fiber reinforced-recycled aggregate concrete. Cem. Concr. Compos. 2014, 46, 65–72. [Google Scholar] [CrossRef]
- Li, L.; Zhang, Y.; Shi, Y.; Xue, Z.; Cao, M. Surface Cracking and Fractal Characteristics of Cement Paste after Exposure to High Temperatures. Fractal Fract. 2022, 6, 465. [Google Scholar] [CrossRef]
- Li, L.; Sun, H.-X.; Zhang, Y.; Yu, B. Surface Cracking and Fractal Characteristics of Bending Fractured Polypropylene Fiber-Reinforced Geopolymer Mortar. Fractal Fract. 2021, 5, 142. [Google Scholar] [CrossRef]
- Li, L.; Tao, J.-C.; Zhang, Y.; Sun, H.-X.; Yuen, K.-V.; You, P.-B. Crack fractal analysis of fractured polyethylene fiber reinforced alkali activated mortar under flexural load. Constr. Build. Mater. 2022, 345, 128428. [Google Scholar] [CrossRef]
- Gao, D.; Zhang, L.; Zhao, J.; You, P. Durability of steel fibre-reinforced recycled coarse aggregate concrete. Constr. Build. Mater. 2020, 232, 117119. [Google Scholar] [CrossRef]
- Chen, G.M.; Yang, H.; Lin, C.J.; Chen, J.F.; He, Y.H.; Zhang, H.Z. Fracture behaviour of steel fibre reinforced recycled aggregate concrete after exposure to elevated temperatures. Constr. Build. Mater. 2016, 128, 272–286. [Google Scholar] [CrossRef]
- Chen, G.M.; He, Y.H.; Yang, H.; Chen, J.F.; Guo, Y.C. Compressive behavior of steel fiber reinforced recycled aggregate concrete after exposure to elevated temperatures. Constr. Build. Mater. 2014, 71, 1–15. [Google Scholar] [CrossRef]
- Zong, S.; Liu, Z.; Li, S.; Lu, Y.; Zheng, A. Stress-strain behaviour of steel-fibre-reinforced recycled aggregate concrete under axial tension. J. Clean. Prod. 2021, 278, 123248. [Google Scholar] [CrossRef]
- Kang, W.-H.; Ramesh, R.B.; Mirza, O.; Senaratne, S.; Tam, V.; Wigg, D. Reliability Based Design of RC Beams With Recycled Aggregate and Steel Fibres. Structures 2017, 11, 135–145. [Google Scholar] [CrossRef]
- GB 175-2007; Common Portland Cement. China Standards Press: Beijing, China, 2007.
- JGJ 55-2011; Specification for Mix Proportion Design of Ordinary Concrete. China Architecture & Building Press: Beijing, China, 2011.
- GB/T50152-2012; Standard for Test Method of Concrete Structures. China Architecture & Building Press: Beijing, China, 2012.
- Gao, D.; Zhu, Q.; Liu, J. Constitutive model of SFRCAC under uniaxial compression. J. Basic Sci. Eng. 2020, 11, 396–406. [Google Scholar]
- Lu, Q.; Gui, L.; Hu, X. Relationship between axial tensile stress and strain of recycled aggregate concrete. Eng. J. Wuhan Univ. 2020, 53, 6. [Google Scholar]
- GB 50010—2010; Code for Design of Concrete Structures. China Architecture & Building Press: Beijing, China, 2010.
- Comite, A. 544, 2002. State of the Art Report on Fiber Reinforced Concrete Reported (ACI 544.1 R-96 Reapproved 2002). ACI Struct. J. 2002, 96, 66. [Google Scholar]
- JTG/T 465-2019; Standard for Design of Steel Fiber Reinforced Concrete Structures. China Architecture & Building Press: Beijing, China, 2019.
- Cheng, D.; Qiang, Z. Experimental analysis on flexural capacity of steel fiber reinforced recycled concrete beams. Concrete 2019, 5, 31–35. [Google Scholar]
- Liu, C.; Gao, Y.; Gu, Y.; Wu, Y.; Yu, G. Experimental study on flexural behavior of concrete beams with large particle size recycled coarse aggregate and steel fiber. Build. Struct. 2021, 51, 68–72, 89. [Google Scholar] [CrossRef]
- Anike, E.E.; Saidani, M.; Olubanwo, A.O.; Anya, U.C. Flexural performance of reinforced concrete beams with recycled aggregates and steel fibres. Structures 2022, 39, 1264–1278. [Google Scholar] [CrossRef]











| Aggregate Type | Apparent Density (kg/m3) | Bulk Density (kg/m3) | Water Absorption (%) | Crush Index (%) | Porosity (%) |
|---|---|---|---|---|---|
| RCA | 2660 | 1410 | 3.73 | 13.5 | 47 |
| NCA | 2730 | 1360 | 0.6 | 12 | 40 |
| NFA | 2640 | 1560 | -- | -- | 40 |
| Category | ds (mm) | fy (MPa) | fst (MPa) | δst (%) |
|---|---|---|---|---|
| Steel bar 1 | 8 | 325 | 493 | 41.3 |
| Steel bar 2 | 16 | 483 | 623 | 24.2 |
| Number | r | vsf | Concrete Mixing Proportion (kg/m3) | ||||||
|---|---|---|---|---|---|---|---|---|---|
| Water | Cement | NCA | RCA | Sand | Water Reducer | Additional Water | |||
| C30R50F1 | 50% | 1% | 166 | 302 | 540 | 540 | 884 | 3.02 | 19.06 |
| C45R0F0 | 0% | 0% | 166 | 415 | 1024 | 0 | 839 | 4.15 | 0 |
| C45R0F1 | 0% | 1% | 166 | 415 | 1024 | 0 | 839 | 4.15 | 0 |
| C45R30F1 | 30% | 1% | 166 | 415 | 717 | 307 | 839 | 4.15 | 10.85 |
| C45R50F0 | 50% | 0% | 166 | 415 | 512 | 512 | 839 | 4.15 | 36.16 |
| C45R50F1 | 50% | 1% | 166 | 415 | 512 | 512 | 839 | 4.15 | 18.08 |
| C45R50F2 | 50% | 2% | 166 | 415 | 512 | 512 | 838 | 4.15 | 18.08 |
| C45R100F1 | 100% | 1% | 166 | 415 | 0 | 1024 | 839 | 4.15 | 36.16 |
| C60R50F1 | 500% | 1% | 166 | 553 | 479 | 479 | 783 | 5.53 | 16.89 |
| Specimen Label | fts (MPa) | fc (MPa) | Ec (×104 MPa) | fcr (kN) | fmu (kN) |
|---|---|---|---|---|---|
| C30R50F1 | 3.73 | 27.7 | 3.16 | 13.37 | 114.81 |
| C45R0F0 | 2.11 | 38.8 | 3.35 | 18.23 | 97.62 |
| C45R0F1 | 4.54 | 40.5 | 3.64 | 25 | 164.7 |
| C45R30F1 | 4.89 | 39.4 | 3.45 | 19.5 | 119.28 |
| C45R50F0 | 1.69 | 31.7 | 3.13 | 18.01 | 103.15 |
| C45R50F1 | 4.09 | 39 | 3.3 | 20.17 | 123.31 |
| C45R50F2 | 6.1 | 40.5 | 3.55 | 20.28 | 128.73 |
| C45R100F1 | 3.98 | 34.4 | 2.97 | 19.61 | 113.7 |
| C60R50F1 | 3.58 | 38.9 | 3.6 | 17.68 | 123.54 |
| Data Sources | Specimens | b (mm) | h (mm) | r | vsf | Mexp (kN·m) | Mcal (kN·m) | MJTG (kN·m) | MACI (kN·m) | Mexp/Mcal | Mexp/MJTG | Mexp/MACI |
|---|---|---|---|---|---|---|---|---|---|---|---|---|
| This study | C30R50F1 | 150 | 300 | 0.5 | 0.01 | 51.66 | 46.69 | 55.00 | 46.68 | 1.11 | 0.94 | 1.11 |
| C45R30F1 | 150 | 300 | 0.3 | 0.01 | 53.68 | 50.39 | 59.03 | 49.88 | 1.07 | 0.91 | 1.08 | |
| C45R50F1 | 150 | 300 | 0.5 | 0.01 | 55.49 | 49.98 | 58.60 | 49.54 | 1.11 | 0.95 | 1.12 | |
| C45R100F1 | 150 | 300 | 1 | 0.01 | 51.17 | 49.66 | 58.46 | 49.43 | 1.03 | 0.88 | 1.04 | |
| C45R50F0 | 150 | 300 | 0.5 | 0 | 46.42 | 49.64 | 50.78 | 47.41 | 0.94 | 0.91 | 0.98 | |
| C45R50F2 | 150 | 300 | 0.5 | 0.02 | 57.93 | 50.27 | 66.13 | 51.69 | 1.15 | 0.88 | 1.12 | |
| C60R50F1 | 150 | 300 | 0.5 | 0.01 | 55.59 | 50.90 | 59.49 | 50.24 | 1.09 | 0.93 | 1.11 | |
| Cheng et al. [39] | FB-1 | 200 | 300 | 0.6 | 0.01 | 63.5 | 64.51 | 70.06 | 64.16 | 0.98 | 0.91 | 0.99 |
| FB-2 | 200 | 300 | 0.6 | 0.01 | 68.33 | 64.90 | 73.89 | 65.51 | 1.05 | 0.92 | 1.04 | |
| FB-3 | 200 | 300 | 0.6 | 0.02 | 70.21 | 64.93 | 77.58 | 66.63 | 1.08 | 0.90 | 1.05 | |
| Liu et al. [40] | L-1 | 200 | 400 | 0 | 0 | 102.53 | 98.01 | 101.93 | 95.54 | 1.05 | 1.01 | 1.07 |
| L-2 | 200 | 400 | 1 | 0 | 96.53 | 96.53 | 101.82 | 95.42 | 1.01 | 0.95 | 1.01 | |
| L-3 | 200 | 400 | 1 | 0.01 | 101.48 | 101.48 | 114.12 | 99.43 | 1.05 | 0.89 | 1.02 | |
| Emmanuel E. et al. [41] | NAC | 80 | 180 | 0.6 | 0 | 11.9 | 11.36 | 13.9 | 10.17 | 1.05 | 0.86 | 1.17 |
| SFRRAC | 80 | 180 | 0.6 | 0.005 | 13.8 | 11.50 | 17.77 | 10.43 | 1.20 | 0.78 | 1.32 | |
| AVG | 1.06 | 0.91 | 1.08 | |||||||||
| COV | 0.06 | 0.048 | 0.079 |
Publisher’s Note: MDPI stays neutral with regard to jurisdictional claims in published maps and institutional affiliations. |
© 2022 by the authors. Licensee MDPI, Basel, Switzerland. This article is an open access article distributed under the terms and conditions of the Creative Commons Attribution (CC BY) license (https://creativecommons.org/licenses/by/4.0/).
Share and Cite
Guan, Q.; Yang, M.; Shi, K.; Zhang, T. Experimental Study and Finite Element Analysis on the Flexural Behavior of Steel Fiber Reinforced Recycled Aggregate Concrete Beams. Materials 2022, 15, 8210. https://doi.org/10.3390/ma15228210
Guan Q, Yang M, Shi K, Zhang T. Experimental Study and Finite Element Analysis on the Flexural Behavior of Steel Fiber Reinforced Recycled Aggregate Concrete Beams. Materials. 2022; 15(22):8210. https://doi.org/10.3390/ma15228210
Chicago/Turabian StyleGuan, Qiaoyan, Mengyu Yang, Ke Shi, and Tao Zhang. 2022. "Experimental Study and Finite Element Analysis on the Flexural Behavior of Steel Fiber Reinforced Recycled Aggregate Concrete Beams" Materials 15, no. 22: 8210. https://doi.org/10.3390/ma15228210
APA StyleGuan, Q., Yang, M., Shi, K., & Zhang, T. (2022). Experimental Study and Finite Element Analysis on the Flexural Behavior of Steel Fiber Reinforced Recycled Aggregate Concrete Beams. Materials, 15(22), 8210. https://doi.org/10.3390/ma15228210

