A Study on the Preparation and Cavitation Erosion Mechanism of Polyether Polyurethane Coating
Abstract
1. Introduction
2. Materials and Methods
2.1. Materials
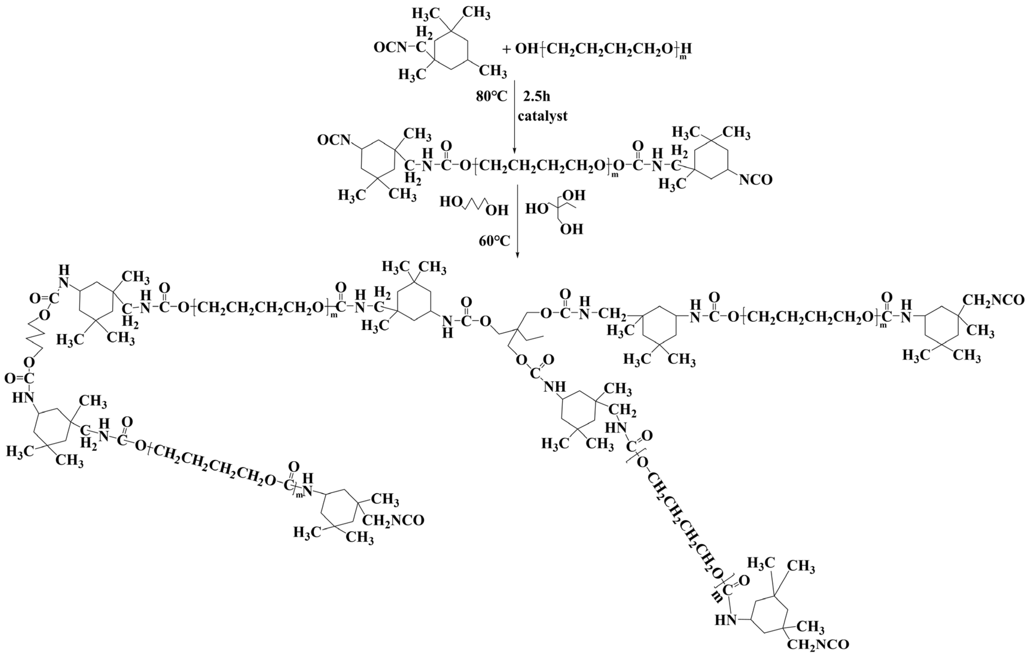
2.2. Synthesis of Polyurethane Elastomers
2.3. Characterization Methods
2.4. Cavitation Erosion Test
3. Results and Discussion
3.1. Structural Analysis
3.2. Mechanical Properties
3.3. Water Absorption
3.4. Thermal Stability
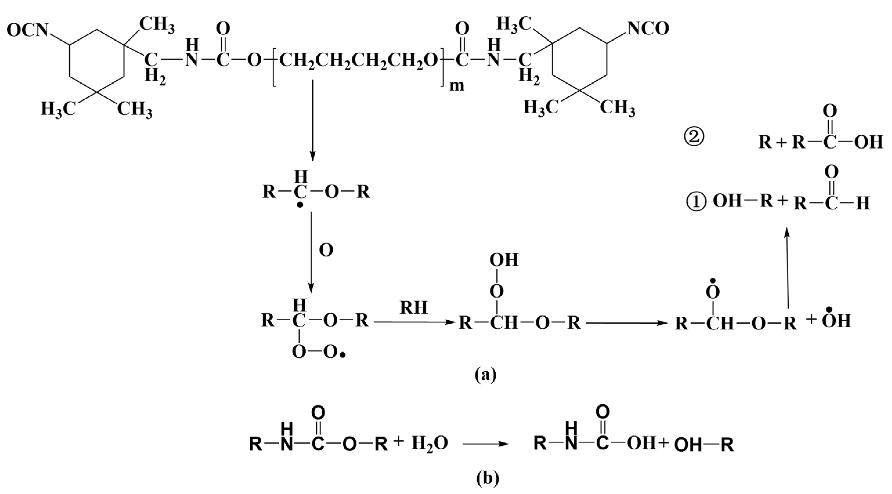
3.5. Cavitation Erosion Performance and Mechanism Analysis
4. Conclusions
- The ratio of BDO to TMP had a great influence on the mechanical properties, thermal properties and water absorption of polyether polyurethane. When the molar ratio was 0.4:0.6, the comprehensive performance of the prepared polyurethane (PU0.4) was the best.
- Cavitation load aggravated the degree of polyurethane coating’s microphase separation, making the brittle hard segment gradually concentrate on the surface. The cavitation heat accelerated the hydrolysis, pyrolysis and oxidation of carbamate groups and ether bonds, which encouraged polyurethane molecular chains to break.
- The malignant evolution of molecular structures caused by mechano-thermal coupling was the fundamental reason for the CE damage in those materials. Due to its good comprehensive properties, PU0.4 outperformed the other four coatings in terms of CE resistance, so it should find potential applications on the surfaces of hydraulic components in the future.
- Future studies on CE-resistant polyurethane coatings should focus on improving the compatibility, hydrolysis resistance and thermal stability of molecular chains.
Author Contributions
Funding
Institutional Review Board Statement
Informed Consent Statement
Data Availability Statement
Conflicts of Interest
References
- Tian, Y.; Zhang, H.J.; Chen, X.Y.; McDonald, A.; Wu, S.J.; Xiao, T.H.; Li, H. Effect of cavitation on corrosion behavior of HVOF-sprayed WC-10Co4Cr coating with post-sealing in artificial seawater. Surf. Coat. Technol. 2020, 397, 126012. [Google Scholar] [CrossRef]
- Hou, G.L.; Ren, Y.; Zhang, X.L.; Dong, F.X.; Au, Y.L.; Zhao, X.Q.; Zhou, H.D.; Chen, J.M. Cavitation erosion mechanisms in Co-based coatings exposed to seawater. Ultrason. Sonochem. 2019, 60, 104799. [Google Scholar] [CrossRef] [PubMed]
- Hong, S.; Lin, J.R.; Wu, Y.P.; Wu, J.H.; Zheng, Y.; Zhang, Y.Q.; Cheng, J.B.; Sun, W. Cavitation erosion characteristics at various flow velocities in NaCl medium of carbide-based cermet coatings prepared by HVOF spraying. Ceram. Int. 2021, 47, 1929–1939. [Google Scholar] [CrossRef]
- Ren, Y.; Hou, G.L.; An, Y.L.; Zhao, X.Q.; Wang, Y.J.; Zhou, H.D.; Chen, J.M. Influence of atomic migration mode at different temperatures on the microstructure, mechanical and cavitation erosion behaviors of Co-based alloy coating. J. Alloys Compd. 2021, 866, 158989. [Google Scholar] [CrossRef]
- Hao, E.K.; An, Y.L.; Liu, X.; Wang, Y.J.; Zhou, H.D.; Yan, F.Y. Effect of annealing treatment on microstructures, mechanical properties and cavitation erosion performance of high velocity oxy-fuel sprayed NiCoCrAlYTa coating. J. Mater. Sci. Technol. 2020, 53, 21–33. [Google Scholar] [CrossRef]
- Yin, D.Q.; Liang, G.B.; Fan, S.; Li, S.X. Ultrasonic cavitation erosion behavior of AlCoCrxCuFe high entropy alloy coatings synthesized by laser cladding. Materials 2020, 13, 4067. [Google Scholar] [CrossRef]
- Wang, J.X.; Jiang, S.L.; Yang, X.G. Cavitation erosion behavior of nickel foam/polyurethane co-continuous composite. Mater. Res. Express 2021, 8, 015304. [Google Scholar] [CrossRef]
- Zhao, X.; Qi, Y.H.; Zhang, Z.P. Study on anti-cavitation performance of elastomer composite coatings in a salt solution. Prog. Org. Coat. 2022, 163, 106629. [Google Scholar] [CrossRef]
- Espitia, L.A.; Toro, A. Cavitation resistance, microstructure and surface topography of materials used for hydraulic components. Tribol. Int. 2010, 43, 2037–2045. [Google Scholar] [CrossRef]
- Wang, Y.J.; Hao, E.K.; An, Y.L.; Hou, G.L.; Zhao, X.Q.; Zhou, H.D. The interaction mechanism of cavitation erosion and corrosion on HVOF sprayed NiCrWMoCuCBFe coating in artificial seawater. Appl. Surf. Sci. 2020, 525, 146499. [Google Scholar] [CrossRef]
- Wei, Z.; Wu, Y.P.; Hong, S.; Cheng, J.B.; Qiao, L.; Cheng, J.; Zhu, S.S. Effect of WC-10Co on cavitation erosion behaviors of AlCoCrFeNi coatings prepared by HVOF spraying. Ceram. Int. 2021, 47, 15121–15128. [Google Scholar] [CrossRef]
- Ponzio, F.; Kelber, J.; Laura, B.; Kamal, R.; Vincent, R.; Loïc, J.; David, E. Polydopamine film coating on polyurethane foams as efficient “sunscreen”. Application to photocatalysis under UV irradiation. Environ. Technol. Innov. 2021, 23, 101618. [Google Scholar] [CrossRef]
- Li, N.; Yang, R.; Lu, P.F.; Huang, P.F.; Li, H.; Chen, X.R. Synthesis of durable hydrophobic fluorinated polyurethanes with exceptional cavitation erosion resistance. Tribol. Int. 2022, 177, 10793. [Google Scholar] [CrossRef]
- Xion, S.; Laux, K.; Wang, H.L.; Hu, F.C.; Sue, H.J. Physical correlation between abrasive wear performance and scratch resistance in model polyurethane elastomers. Wear 2018, 418–419, 281–289. [Google Scholar]
- Chi, S.K.; Park, J.H.; Shon, M.Y. Study on cavitation erosion resistance and surface topologies of various coating materials used in shipbuilding industry. J. Ind. Eng. Chem. 2014, 26, 384–389. [Google Scholar] [CrossRef]
- Qiu, N.; Wang, L.Q.; Wu, S.H.; Likhachev, D.S. Research on cavitation erosion and wear resistance performance of coatings. Eng. Fail. Anal. 2015, 55, 208–223. [Google Scholar] [CrossRef]
- Yang, H.C.; Guo, X.J.; Chen, R.R.; Liu, Q.; Liu, J.Y.; Yu, J.; Lin, C.G.; Wang, J.; Zhang, M.L. Enhanced anti-biofouling ability of polyurethane anti-cavitation coating with ZIF-8: A comparative study of various sizes of ZIF-8 on coating. Eur. Polym. J. 2021, 144, 110212. [Google Scholar] [CrossRef]
- Pegoretti, A.; Fambri, L.; Penati, A. Hydrolytic resistance of model poly(ether urethane ureas) and poly(ester urethane ureas). J. Appl. Polym. Sci. 1998, 70, 577–586. [Google Scholar] [CrossRef]
- Roohpour, N.; Wasikiewicz, J.M.; Moshaverinia, A.; Paul, D.; Rehman, I.U.; Vadgama, P. Isopropyl myristate-modified polyether-urethane coatings as protective barriers for implantable medical devices. Materials 2009, 2, 719–733. [Google Scholar] [CrossRef]
- Qiao, X.N.; Chen, R.R.; Zhang, H.S.; Liu, J.Y.; Liu, Q.; Yu, J.; Liu, P.L.; Wang, J. Outstanding cavitation erosion resistance of hydrophobic polydimethylsiloxane-based polyurethane coatings. J. Appl. Polym. Sci. 2019, 136, 47666. [Google Scholar] [CrossRef]
- Hou, G.L.; Zhao, X.Q.; Zhou, H.D.; Lu, J.J.; An, Y.L.; Chen, J.M.; Yang, J. Cavitation erosion of several oxy-fuel sprayed coatings tested in deionized water and artificial seawater. Wear 2014, 311, 81–92. [Google Scholar] [CrossRef]
- Erceg, T.; Tanasi, J.; Banjanin, B.; Baloš, S.; Cvetinov, M.; Cakić, S.; Ristić, I. Surface, structural, and thermal properties of polydimethylsiloxane-based polyurethanes and their blends with thermoplastic polyurethane elastomer. Polym. Bull. 2022, 79, 10909–10929. [Google Scholar] [CrossRef]
- Luo, M.C.; Zeng, J.; Xie, Z.T.; Wei, L.Y.; Huang, G.S.; Wu, J.R. Impact of hydrogen bonds dynamics on mechanical behavior of supramolecular elastomer. Polymer 2016, 105, 221–226. [Google Scholar] [CrossRef]
- Liu, M.C.; Zhong, J.; Li, Z.J.; Rong, J.C.; Yang, K.; Zhou, J.Y.; Shen, L.; Gao, F.; Huang, X.L.; He, H.F. A high stiffness and self-healable polyurethane based on disulfide bonds and hydrogen bonding. Eur. Polym. J. 2020, 124, 109475. [Google Scholar] [CrossRef]
- Zhao, C.Y.; Wang, C.X.; Wang, Y.J.; Yao, D.G. Super stretchable chromatic polyurethane driven by anthraquinone chromogen as a chain extender. RSC Adv. 2019, 9, 2332–2342. [Google Scholar] [CrossRef]
- Mónica, F.; Abbas, K.; Francisco, R.L.; José, M.M.M. New waterborne polyurethane-urea synthesized with ether-carbonate copolymer and amino-alcohol chain extenders with tailored pressure-sensitive adhesion properties. Materials 2020, 13, 627. [Google Scholar]
- Yu, Y.X.; Wang, Y.F.; Xu, P.P.; Chang, J.M. Preparation and characterization of phenolic foam modified with bio-oil. Materials 2018, 11, 2228. [Google Scholar] [CrossRef]
- Shi, Z.F.; Wang, Y.J.; Du, C.; Huang, N.; Wang, L.; Ning, C.Y. Silicon nitride films for the protective functional coating: Blood compatibility and biomechanical property study. J. Mech. Behav. Biomed. Mater. 2012, 16, 9–20. [Google Scholar] [CrossRef]
- Lipatov, Y.S.; Kuksin, A.N.; Sergeeva, L.M. Investigation of the adhesion of polyurethanes at low separation rates. Sov. Mater. Sci. 1969, 5, 576–579. [Google Scholar] [CrossRef]
- Xu, C.A.; Lu, M.G.; Wu, K.; Shi, J. Effects of polyether and polyester polyols on the hydrophobicity and surface properties of polyurethane/polysiloxane elastomers. Macromol. Res. 2020, 28, 1032–1039. [Google Scholar] [CrossRef]
- Meng, Y.; Chen, K.; Yang, Y.Y.; Jiang, T.; Hao, T.H.; Lu, X.J.; Zhang, Q.C. Synthesis and characterization of crosslinked castor oil-based polyurethane nanocomposites based on novel silane-modified isocyanate and their potential application in heat insulating coating. Polymers 2022, 14, 1880. [Google Scholar] [CrossRef] [PubMed]
- Chattopadhyay, D.K.; Webster, D.C. Thermal stability and flame retardancy of polyurethanes. Prog. Polym. Sci. 2009, 34, 1068–1133. [Google Scholar] [CrossRef]
- Corcuera, M.A.; Rueda, L.; Saralegui, A.; Martín, M.D.; Fernández-d’Arlas, B.; Mondragon, I.; Eceiza, A. Effect of diisocyanate structure on the properties and microstructure of polyurethanes based on polyols derived from renewable resources. J. Appl. Polym. Sci. 2011, 122, 3677–3685. [Google Scholar] [CrossRef]
- Zhang, B.; Duan, H.J.; Tao, X.X.; Dong, W.J. Study on the mechanical properties of polyurethane based on PTMG-TMP System. Polym.-Plast. Technol. Eng. 2018, 57, 1743–1751. [Google Scholar] [CrossRef]
- Sundararajan, S.; Samui, A.B.; Kulkarni, P.S. Synthesis and characterization of poly(ethylene glycol) (PEG) based hyperbranched polyurethanes as thermal energy storage materials. Thermochim. Acta 2017, 650, 114–122. [Google Scholar] [CrossRef]
- Peng, C.; Tian, S.C.; Li, G.S. Joint experiments of cavitation jet: High-speed visualization and erosion test. Ocean Eng. 2018, 149, 1–13. [Google Scholar] [CrossRef]
- Choi, J.-K.; Chahine, G.L. Relationship between material pitting and cavitation field impulsive pressures. Wear 2016, 352–353, 42–53. [Google Scholar] [CrossRef]
- Lin, B.; Chen, J.; Li, Z.T.; He, F.A.; Li, D.H. Superhydrophobic modification of polyurethane sponge for the oil-water separation. Surf. Coat. Technol. 2019, 359, 216–226. [Google Scholar] [CrossRef]
- Pauline, M.; Chahine, G.L. Erosion and heating of polyurea under cavitating jets. Wear 2018, 414–415, 262–274. [Google Scholar]
- Rath, S.K.; Patri, M.; Maheshwari, P. Depth Profile of Chemical Composition and Free Volume of Polyurethane-Urea/Clay Nanocomposite. Mater. Sci. Forum 2013, 733, 175–178. [Google Scholar]
- Zhou, C.F.; Qi, Z.N.; Yue, Y.L. Changes of surface chemical composition of segmented polyether urethane by means of X-ray photoelectron spectroscopy dueing fatigue process. Chin. J. Anal. Chem. 1986, 14, 667–671. [Google Scholar]
- Lin, B.Z.; Zhou, S.X. Light-responsive nanoparticles with wettability changing from hydrophobicity to hydrophilicity and their application towards highly hydrophilic fluorocarbon coatings. Appl. Surf. Sci. 2015, 359, 380–387. [Google Scholar] [CrossRef]
- Li, L.J.; He, J.; Lei, J.X.; Xu, W.T.; Jing, X.; Ou, X.Y.; Wu, S.M.; Li, N.B.; Zhang, S.T. A sol–bath–gel approach to prepare hybrid coating for corrosion protection of aluminum alloy. Surf. Coat. Technol. 2015, 279, 72–78. [Google Scholar] [CrossRef]
- Kim, M.G.; Jo, K.I.; Kim, E.; Park, J.H.; Ko, J.W.; Lee, J.H. Preparation of polydimethylsiloxane-modified waterborne polyurethane coatings for marine applications. Polymers 2021, 13, 4283. [Google Scholar] [CrossRef]
- He, M.Y.; Gu, K.; Wang, Y.L.; Li, Z.Z.; Shen, Z.P.; Liu, S.; Wei, J.X. Development of high-performance thermoplastic composites based on polyurethane and ground tire rubber by in-situ synthesis. Resour. Conserv. Recycl. 2021, 173, 105713. [Google Scholar] [CrossRef]
- Zhang, W.R.; Lowe, C.; Smith, R. Depth profiling of coil coating using step-scan photoacoustic FTIR. Prog. Org. Coat. 2009, 65, 469–476. [Google Scholar] [CrossRef]
- Zhang, W.R.; Zhu, T.T.; Smith, R.; Lowe, C. A non-destructive study on the degradation of polymer coating I: Step-scan photoacoustic FTIR and confocal Raman microscopy depth profiling. Polym. Test. 2012, 31, 855–863. [Google Scholar] [CrossRef]
- Cai, G.Y.; Zhang, D.P.; Jiang, D.; Dong, Z.H. Degradation of fluorinated polyurethane coating under UVA and salt spray. Part Ⅱ: Molecular structures and depth profile. Prog. Org. Coat. 2018, 124, 25–32. [Google Scholar] [CrossRef]
- Rek, V.; Bravar, M.; Jocić, T. Ageing of solid polyester-based polyurethane. J. Elastomers Plast. 1984, 16, 256–264. [Google Scholar] [CrossRef]
- Gajewski, V. Chemical degradation of polyurethane. Rubber World 1990, 202, 15–18. [Google Scholar]
- Liu, X.D.; Sun, J.; Zhang, S.; Guo, J.; Tang, W.F.; Li, H.F.; Gu, X.Y. Effects of carboxymethyl chitosan microencapsulated melamine polyphosphate on the flame retardancy and water resistance of thermoplastic polyurethane. Polym. Degrad. Stab. 2019, 160, 168–176. [Google Scholar] [CrossRef]
- Yang, H.C.; Zhang, M.L.; Chen, R.R.; Qi, L. Polyurethane coating with heterogeneity structure induced by microphase separation: A new combination of antifouling and cavitation erosion resistance. Prog. Org. Coat. 2021, 151, 106032. [Google Scholar] [CrossRef]















| Sample | IPDI (g) | PTMG (g) | TMP/BDO a | Defoamer (g) |
|---|---|---|---|---|
| PU0.1 | 14 | 21 | 0.1:0.9 | 0.1 |
| PU0.2 | 14 | 21 | 0.2:0.8 | 0.1 |
| PU0.3 | 14 | 21 | 0.3:0.7 | 0.1 |
| PU0.4 | 14 | 21 | 0.4:0.6 | 0.1 |
| PU0.5 | 14 | 21 | 0.5:0.5 | 0.1 |
| Sample | T5% (°C) | T10% (°C) |
|---|---|---|
| PU0.1 | 280 | 298 |
| PU0.2 | 285 | 307 |
| PU0.3 | 297 | 315 |
| PU0.4 | 300 | 317 |
| PU0.5 | 310 | 326 |
| CE Time | AN | AO | AO/AN |
|---|---|---|---|
| 0 h | 874.6 | 25,824.4 | 29.53 |
| 30 h | 4019 | 51,028.9 | 12.70 |
Publisher’s Note: MDPI stays neutral with regard to jurisdictional claims in published maps and institutional affiliations. |
© 2022 by the authors. Licensee MDPI, Basel, Switzerland. This article is an open access article distributed under the terms and conditions of the Creative Commons Attribution (CC BY) license (https://creativecommons.org/licenses/by/4.0/).
Share and Cite
Su, Q.; Wang, T.; Hou, G.; Cui, H.; Chen, L.; An, Y.; Zhou, H.; Chen, J. A Study on the Preparation and Cavitation Erosion Mechanism of Polyether Polyurethane Coating. Materials 2022, 15, 8204. https://doi.org/10.3390/ma15228204
Su Q, Wang T, Hou G, Cui H, Chen L, An Y, Zhou H, Chen J. A Study on the Preparation and Cavitation Erosion Mechanism of Polyether Polyurethane Coating. Materials. 2022; 15(22):8204. https://doi.org/10.3390/ma15228204
Chicago/Turabian StyleSu, Qiong, Tiancong Wang, Guoliang Hou, Haixia Cui, Lei Chen, Yulong An, Huidi Zhou, and Jianmin Chen. 2022. "A Study on the Preparation and Cavitation Erosion Mechanism of Polyether Polyurethane Coating" Materials 15, no. 22: 8204. https://doi.org/10.3390/ma15228204
APA StyleSu, Q., Wang, T., Hou, G., Cui, H., Chen, L., An, Y., Zhou, H., & Chen, J. (2022). A Study on the Preparation and Cavitation Erosion Mechanism of Polyether Polyurethane Coating. Materials, 15(22), 8204. https://doi.org/10.3390/ma15228204

