Probability Distribution Characteristics of Horizontal and Vertical Mechanical Properties of Rubber Bearings
Abstract
1. Introduction
2. Materials and Methods
2.1. Test Specimen
2.2. Test Facility and Method
3. Results
3.1. Results in the Incremental Tests
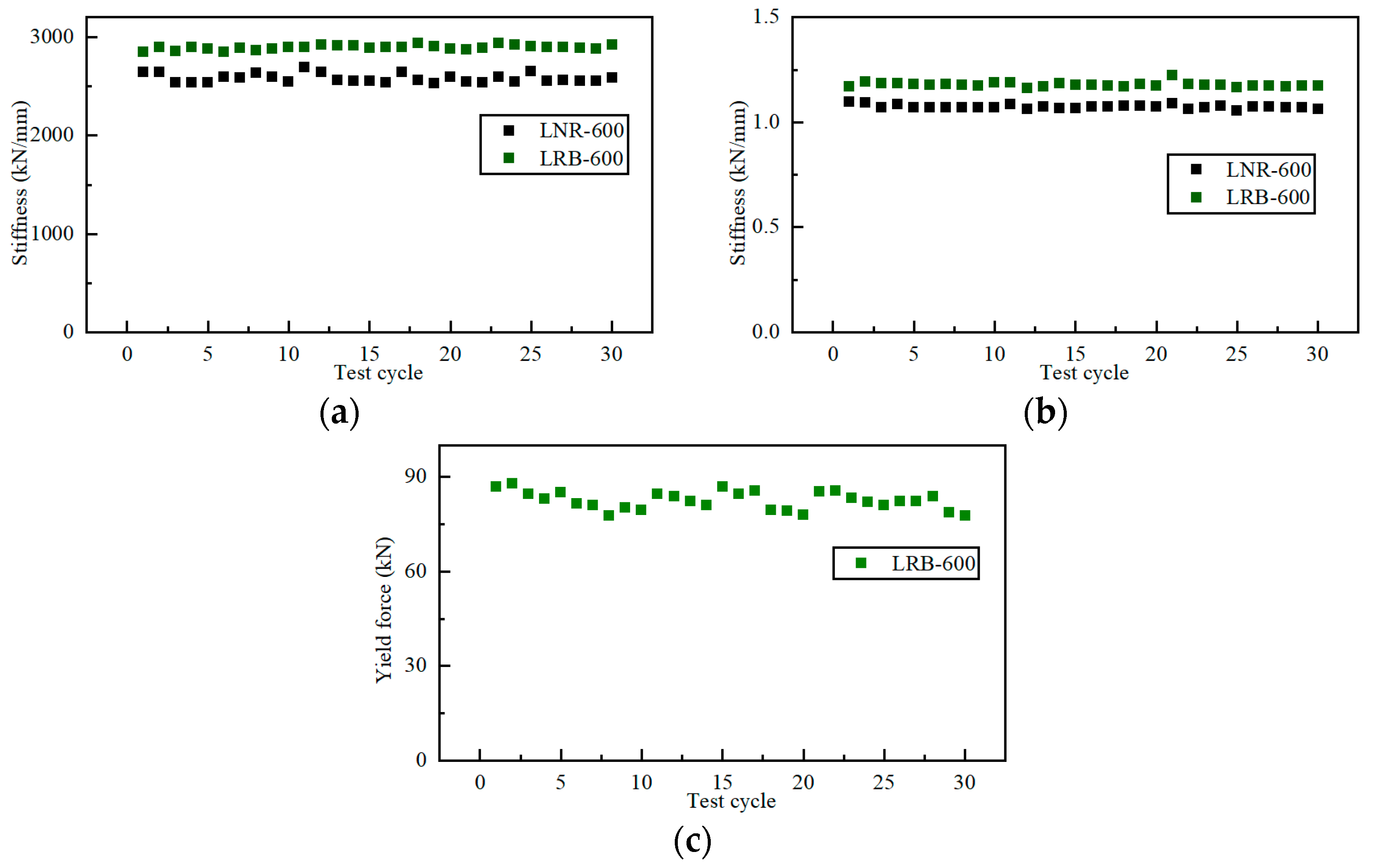
3.2. Results in the Cyclic Tests
4. Discussion
5. Conclusions
Author Contributions
Funding
Data Availability Statement
Conflicts of Interest
References
- Zhou, F.; Tan, P. Recent progress and application on seismic isolation energy dissipation and control for structures in China. Earthq. Eng. Eng. Vib. 2018, 17, 19–27. [Google Scholar] [CrossRef]
- Ren, X.; Lu, W.; Zhu, Y.; He, Y.; Li, T. Compressive behavior of low shape factor lead-rubber bearings: Full-scale testing and numerical modeling. Eng. Struct. 2020, 209, 110030. [Google Scholar] [CrossRef]
- Wu, D.; Tesfamariam, S.; Xiong, Y. FRP-laminated Rubber Isolator: Theoretical Study and Shake Table Test on Isolated Building. J. Earthq. Eng. 2022, 1–22. [Google Scholar] [CrossRef]
- Yuan, Y.; Wei, W.; Tan, P.; Igarashi, A.; Zhu, H.; Iemura, H.; Aoki, T. A rate-dependent constitutive model of high damping rubber bearings: Modeling and experimental verification. Earthq. Eng. Struct. Dyn. 2016, 45, 1875–1892. [Google Scholar] [CrossRef]
- Wu, D.; Xiong, Y.; Yang, Z. Numerical and experimental study of mechanical behaviors of the steel-confined rubber bearing. Constr. Build. Mater. 2022, 352, 128900. [Google Scholar] [CrossRef]
- Cho, C.B.; Kim, Y.J.; Chin, W.J.; Lee, J.Y. Comparing rubber bearings and eradi-quake system for seismic isolation of bridges. Materials 2020, 13, 5247. [Google Scholar] [CrossRef]
- Chaudhuri, A.; Chakraborty, S. Reliability of linear structures with parameter uncertainty under non-stationary earthquake. Struct. Saf. 2006, 28, 231–246. [Google Scholar] [CrossRef]
- Gupta, S.; Manohar, C.S. Reliability analysis of randomly vibrating structures with parameter uncertainties. J. Sound Vib. 2006, 297, 1000–1024. [Google Scholar] [CrossRef]
- Wu, Q.; Yan, H.; Zhu, H.; Ding, L. Probabilistic performance-based assessment for critical separation distance of adjacent buildings: Theoretical analysis. J. Perform. Constr. Facil. 2020, 34, 04020047. [Google Scholar] [CrossRef]
- Matsuzaki, H. Time-dependent seismic reliability of isolated bridges considering ageing deterioration of lead rubber bearings. Struct. Infrastruct. Eng. 2022, 18, 1526–1541. [Google Scholar] [CrossRef]
- Ma, Y.; Li, Y.; Zhao, G.; Zhou, F. Experimental research on the time-varying law of performance for natural rubber laminated bearings subjected to seawater dry-wet cycles. Eng. Struct. 2019, 195, 159–171. [Google Scholar] [CrossRef]
- Han, R.; Li, Y.; van de Lindt, J. Seismic risk of base isolated non-ductile reinforced concrete buildings considering uncertainties and mainshock–aftershock sequences. Struct. Saf. 2014, 50, 39–56. [Google Scholar] [CrossRef]
- Mishra, S.K.; Chakraborty, S. Performance of a Base-Isolated Building with Sys-tem Parameter Uncertainty Subjected to a Stochastic Earthquake. Int. J. Acoust. Vib. 2013, 18, 7–19. [Google Scholar]
- Fan, J.; Long, X.; Zhang, Y. Optimum design of lead-rubber bearing system with uncertainty parameters. Struct. Eng. Mech. Int. J. 2015, 56, 959–982. [Google Scholar] [CrossRef]
- Nassar, M.; Guizani, L.; Nollet, M.J.; Tahan, A. Effects of temperature, analysis and modelling uncertainties on the reliability of base-isolated bridges in Eastern Canada. Structures 2022, 37, 295–304. [Google Scholar] [CrossRef]
- Saha, S.K.; Matsagar, V.; Chakraborty, S. Uncertainty quantification and seismic fragility of base-isolated liquid storage tanks using response surface models. Probabilistic Eng. Mech. 2016, 43, 20–35. [Google Scholar] [CrossRef]
- Alhan, C.; Hisman, K. Seismic isolation performance sensitivity to potential deviations from design values. Smart Struct. Syst. 2016, 18, 293–315. [Google Scholar] [CrossRef]
- Li, H.; Xu, Z.; Gomez, D.; Gai, P.; Wang, F.; Dyke, S.J. A modified fractional-order derivative zener model for rubber-like devices for structural control. J. Eng. Mech. 2022, 148, 04021119. [Google Scholar] [CrossRef]
- Politopoulos, I.; Pham, H.K. Sensitivity of seismically isolated structures. Earthq. Eng. Struct. Dyn. 2009, 38, 989–1007. [Google Scholar] [CrossRef]
- Scozzese, F.; Dall’Asta, A.; Tubaldi, E. Seismic risk sensitivity of structures equipped with anti-seismic devices with uncertain properties. Struct. Saf. 2019, 77, 30–47. [Google Scholar] [CrossRef]
- Gazi, H.; Alhan, C. Probabilistic sensitivity of base-isolated buildings to uncertainties. Smart Struct. Syst. 2018, 22, 441–457. [Google Scholar]
- Zhou, W.; Wang, C.; Fan, P.; Kuang, Y.; Dong, Z. The Sealing Effect Improvement Prediction of Flat Rubber Ring in Roller Bit Based on Yeoh_Revised Model. Materials 2022, 15, 5529. [Google Scholar] [CrossRef] [PubMed]
- Xu, X.; Zhang, Z.; Hu, Y.; Wang, X. Bearing strength of crumb rubber concrete under partial area loading. Materials 2020, 13, 2446. [Google Scholar] [CrossRef] [PubMed]
- Zhang, R.; Li, A. Probability distribution characteristics and statistical parameters of the horizontal stiffness of rubber isolation bearings. J. Earthq. Eng. 2022, 26, 2437–2449. [Google Scholar] [CrossRef]
- Zhang, F.; Gu, M.; Lu, F.; Dong, Y.; Pei, M. Probabilistic and statistical analysis of rubber bearing’s limit horizontal displacement. Eur. J. Environ. Civ. Eng. 2013, 17 (Suppl. 1), s334–s345. [Google Scholar] [CrossRef]
- Kumar, M.; Whittaker, A.S.; Kennedy, R.P.; Johnson, J.J.; Kammerer, A. Seismic probabilistic risk assessment for seismically isolated safety-related nuclear facilities. Nucl. Eng. Des. 2017, 313, 386–400. [Google Scholar] [CrossRef]
- Ahmadipour, M.; Alam, M.S. Sensitivity analysis on mechanical characteristics of lead-core steel-reinforced elastomeric bearings under cyclic loading. Eng. Struct. 2017, 140, 39–50. [Google Scholar] [CrossRef]
- Faber, M.H. On the Treatment of Uncertainties and Probabilities in Engineering Decision Analysis. J. Offshore Mech. Arct. Eng. 2005, 127, 243–248. [Google Scholar] [CrossRef]
- Der Kiureghian, A.; Ditlevsen, O. Aleatory or epistemic? Does it matter. Struct. Saf. 2009, 31, 105–112. [Google Scholar] [CrossRef]
- Zhai, C.; Wen, W.; Ji, D.; Li, S. The influences of aftershocks on the constant damage inelastic displacement ratio. Soil Dyn. Earthq. Eng. 2015, 79, 186–189. [Google Scholar] [CrossRef]
- Basim, M.C.; Pourreza, F.; Mousazadeh, M.; Hamed, A.A. The effects of modeling uncertainties on the residual drift of steel structures under mainshock-aftershock sequences. Structures 2022, 36, 912–926. [Google Scholar] [CrossRef]
- ISO 22762-1:2018; Elastomeric Seismic-Protection Isolators-Part 1: Test Methods. International Organization for Standardization (ISO): Geneva, Switzerland, 2018.













| Specimen | (kN/mm) | (kN/mm) | (kN/mm) | (kN) | (Mpa) | (mm) | (mm) |
|---|---|---|---|---|---|---|---|
| NRB-600 | 2700 | 1.00 | — | — | 0.392 | 120 | 5 |
| LRB-600 | 2500 | — | 1.20 | 80 | 0.392 | 118 | 5 |
| Item | Specimen | Measure Point (mm) | Average | |||
|---|---|---|---|---|---|---|
| Diameter | D1 | D2 | d1 | d2 | ||
| NRB-600 | 599 | 596 | — | — | — | |
| LRB-600 | 598 | 599 | 121 | 121 | — | |
| Height | a | b | c | d | ||
| NRB-600 | 250 | 248 | 249 | 249 | 249 | |
| LRB-600 | 220 | 219 | 219 | 219 | 219 | |
| No. | Specimen | Loading Style | Compression Load (MPa) | Horizontal Displacement (mm) | Loading Curve | Cycles |
|---|---|---|---|---|---|---|
| 1 | NRB-600 | Axial | 12 ± 30% | — | Ramp | 4 |
| 2 | NRB-600 | Shear | 12 | ±60, ±120, ±180 | Sine | 4 |
| 3 | LRB-600 | Axial | 12 ± 30% | — | Ramp | 4 |
| 4 | LRB-600 | Shear | 12 | ±59, ±118, ±177 | Sine | 4 |
| 5 | NRB-600 | Axial cycle | 12 ± 30% | — | Ramp | 30 |
| 6 | NRB-600 | Shear cycles | 12 | ±120 | Sine | 30 |
| 7 | LRB-600 | Axial cycle | 12 ± 30% | — | Ramp | 30 |
| 8 | LRB-600 | Shear cycles | 12 | ±118 | Sine | 30 |
| Scenario | Force Max (kN) | Force Min (kN) | Deformation Max (mm) | Deformation Min (mm) | (kN/mm) | (kN/mm) | Error (%) |
|---|---|---|---|---|---|---|---|
| 1 | 4279.86 | 2258.31 | 2.59 | 1.83 | 2640.82 | 2700 | −2.19 |
| 3 | 4271.72 | 2262.82 | 2.65 | 1.88 | 2585.46 | 2500 | 3.42 |
| Scenario | Specimen | Compression (MPa) | Shear Strain | (kN/mm) | (kN/mm) | (kN) |
|---|---|---|---|---|---|---|
| 2 | NRB-600 | 12 | ±50% | 1.19 | — | — |
| ±100% | 1.08 | — | — | |||
| ±150% | 1.00 | — | — | |||
| 4 | LRB-600 | 12 | ±50% | — | 1.23 | 74.69 |
| ±100% | — | 1.20 | 81.65 | |||
| ±150% | — | 1.14 | 87.21 |
| Distribution | Parameters | Probabilistic Density Function |
|---|---|---|
| GEV | ξ, , | |
| NORM | ||
| LOGN | ||
| EV |
| Parameter | ||||
|---|---|---|---|---|
| Statistic | p-Value | Statistic | p-Value | |
| GEV | 0.112 | 0.808 | 0.239 | 0.054 |
| NORM | 1.000 | 0.000 | 0.854 | 0.000 |
| EV | 1.000 | 0.000 | 0.706 | 0.000 |
| LOGN | 0.112 | 0.810 | 0.116 | 0.776 |
| Parameter | ||||||
|---|---|---|---|---|---|---|
| Statistic | p-Value | Statistic | p-Value | Statistic | p-Value | |
| GEV | 0.127 | 0.676 | 0.097 | 0.913 | 0.082 | 0.978 |
| NORM | 1.000 | 0.000 | 0.877 | 0.000 | 1.000 | 0.000 |
| EV | 1.000 | 0.000 | 0.731 | 0.000 | 1.000 | 0.000 |
| LOGN | 0.218 | 0.099 | 0.096 | 0.922 | 0.078 | 0.987 |
| Parameter | NRB-600 | LRB-600 | |||
|---|---|---|---|---|---|
| (kN/mm) | 2579.2 | 1.07 | 2891.7 | 1.18 | 82.3 |
| (kN/mm) | 45.93 | 0.01 | 22.16 | 0.01 | 4.63 |
| ξ (for GEV) | −0.062 | 0.147 | 2.63 | −0.0240 | −0.37 |
| COV (%) | 1.8 | 0.86 | 0.77 | 0.93 | 5.6 |
Publisher’s Note: MDPI stays neutral with regard to jurisdictional claims in published maps and institutional affiliations. |
© 2022 by the authors. Licensee MDPI, Basel, Switzerland. This article is an open access article distributed under the terms and conditions of the Creative Commons Attribution (CC BY) license (https://creativecommons.org/licenses/by/4.0/).
Share and Cite
Wu, D.; Li, C.; Yang, Z.; Liu, Y.; Xiong, Y.; Jiang, G. Probability Distribution Characteristics of Horizontal and Vertical Mechanical Properties of Rubber Bearings. Materials 2022, 15, 8031. https://doi.org/10.3390/ma15228031
Wu D, Li C, Yang Z, Liu Y, Xiong Y, Jiang G. Probability Distribution Characteristics of Horizontal and Vertical Mechanical Properties of Rubber Bearings. Materials. 2022; 15(22):8031. https://doi.org/10.3390/ma15228031
Chicago/Turabian StyleWu, Di, Caiming Li, Zhenyu Yang, Yang Liu, Yan Xiong, and Guoping Jiang. 2022. "Probability Distribution Characteristics of Horizontal and Vertical Mechanical Properties of Rubber Bearings" Materials 15, no. 22: 8031. https://doi.org/10.3390/ma15228031
APA StyleWu, D., Li, C., Yang, Z., Liu, Y., Xiong, Y., & Jiang, G. (2022). Probability Distribution Characteristics of Horizontal and Vertical Mechanical Properties of Rubber Bearings. Materials, 15(22), 8031. https://doi.org/10.3390/ma15228031

