Direct Observation of Evolution from Amorphous Phase to Strain Glass
Abstract
1. Introduction
2. Experimental Procedure
3. Results and Discussion
3.1. Amorphous Characterization of Cold-Rolled Alloys
3.2. Evolution from Amorphous Phase to Strain Glass State
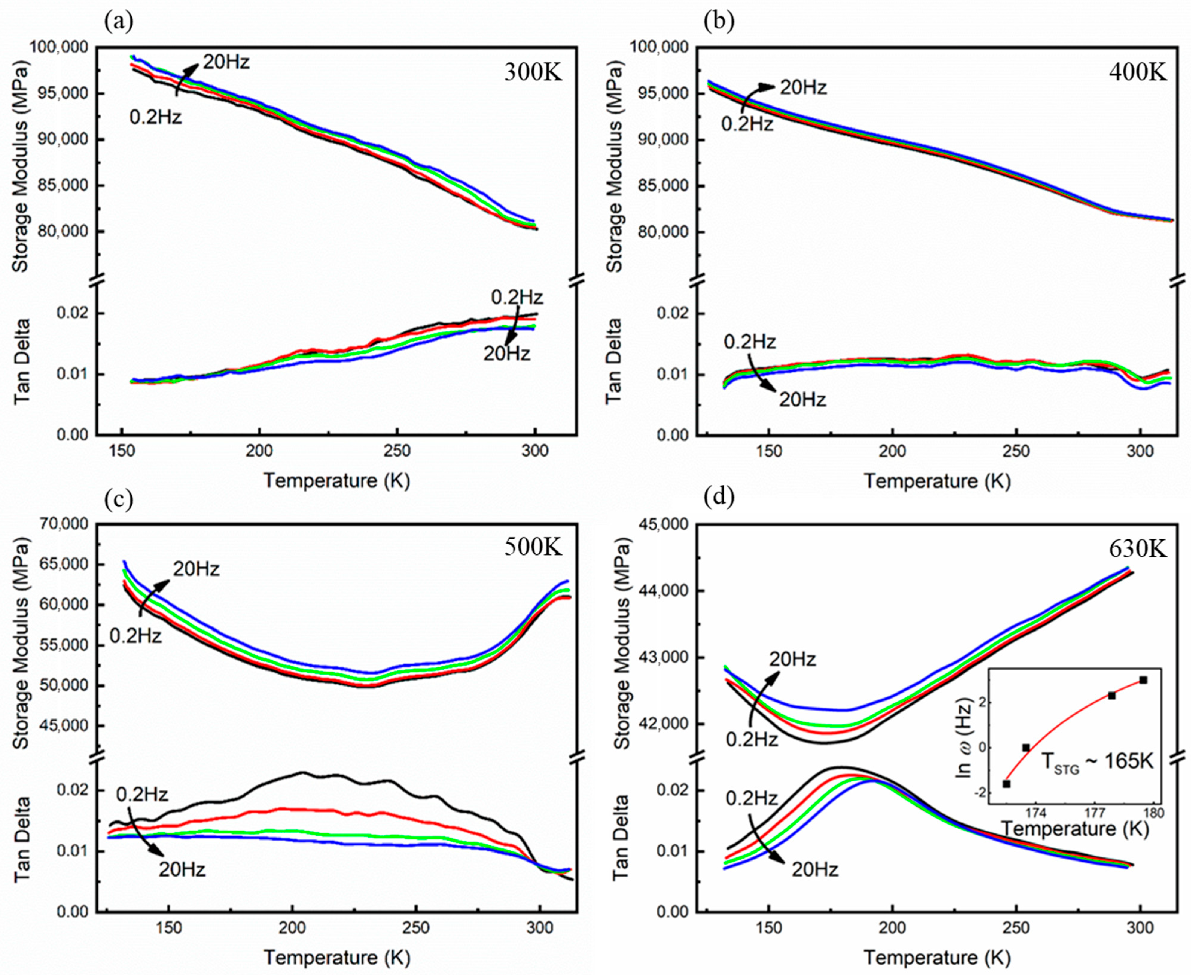
3.3. Structure Analysis of Recrystallized Strain Glass State
4. Conclusions
Author Contributions
Funding
Institutional Review Board Statement
Informed Consent Statement
Data Availability Statement
Acknowledgments
Conflicts of Interest
References
- Li, J.; Doubek, G.; McMillon-Brown, L.; Taylor, A.D. Recent Advances in Metallic Glass Nanostructures: Synthesis Strategies and Electrocatalytic Applications. Adv. Mater. 2019, 31, 1802120. [Google Scholar] [CrossRef]
- Liu, C.; Ji, Y.; Tang, J.; Otsuka, K.; Wang, Y.; Hou, M.; Hao, Y.; Ren, S.; Luo, P.; Ma, T.; et al. A lightweight strain glass alloy showing nearly temperature-independent low modulus and high strength. Nat. Mater. 2022, 21, 1003–1007. [Google Scholar] [CrossRef]
- Greer, A.L. Metallic glasses. Science 1995, 267, 1947–1953. [Google Scholar] [CrossRef] [PubMed]
- Suryanarayana, C.; Inoue, A. Bulk Metallic Glasses, 2nd ed.; CRC Press: Boca Raton, FL, USA, 2017; p. 520. [Google Scholar]
- Chen, M. A brief overview of bulk metallic glasses. NPG Asia Mater. 2011, 3, 82–90. [Google Scholar] [CrossRef]
- Lin, H.; Chen, D.; Kuo, J. Grain Boundary Evolution of Cold-Rolled FePd Alloy during Recrystallization at Disordering Temperature. Materials 2015, 8, 3254–3267. [Google Scholar] [CrossRef]
- Hofmann, D.C.; Suh, J.Y.; Wiest, A.; Duan, G.; Lind, M.L.; Demetriou, M.D.; Johnson, W.L. Designing metallic glass matrix composites with high toughness and tensile ductility. Nature 2008, 451, 1085–1089. [Google Scholar] [CrossRef]
- Pauly, S.; Gorantla, S.; Wang, G.; Kühn, U.; Eckert, J. Transformation-mediated ductility in CuZr-based bulk metallic glasses. Nat. Mater. 2010, 9, 473–477. [Google Scholar] [CrossRef]
- Douglas, C.H. Shape Memory Bulk Metallic Glass Composites. Science 2010, 329, 1294–1295. [Google Scholar]
- Wu, Y.; Wang, H.; Liu, X.; Chen, X.H.; Hui, X.D.; Zhang, Y.; Lu, Z.P. Designing bulk metallic glass composites with enhanced formability and plasticity. J. Mater. Sci. Technol. 2014, 30, 566–575. [Google Scholar] [CrossRef]
- Vizureanu, P.; Nabialek, M.; Sandu, A.V.; Jez, B. Investigation into the Effect of Thermal Treatment on the Obtaining of Magnetic Phases: Fe5Y, Fe23B6, Y2Fe14B and αFe within the Amorphous Matrix of Rapidly-Quenched Fe61+xCo10−xW1Y8B20 Alloys (Where x = 0, 1 or 2). Materials 2020, 13, 835. [Google Scholar] [CrossRef]
- Semin, V.; Jiang, J.; Polkin, V.I.; Saito, M.; Ikuhara, Y.; Louzguine-Luzgin, D.V. Crystallization of Ti-Ni-Cu-(Cr, Fe, Mn) metallic glasses. J. Alloys Compd. 2021, 876, 160185. [Google Scholar] [CrossRef]
- Liu, J.; Li, Y.; Lu, S.; Wan, J.; Gao, W. Study on the crystallization mechanism of TiNiNb amorphous alloy. Mater. Lett. 2021, 294, 129761. [Google Scholar]
- Wu, Q.; He, F.; Li, J.; Kim, H.S.; Wang, Z.; Wang, J. Phase-selective recrystallization makes eutectic high-entropy alloys ultra-ductile. Nat. Commun. 2022, 13, 4697. [Google Scholar] [CrossRef] [PubMed]
- Jiang, D.; Jiang, X.; Ren, Y.; Cui, L.; An, J.; Liu, Y.; Ma, Z.; Liu, F.; Yang, H.; Ren, X.; et al. Nanocrystalline strain glass TiNiPt and its superelastic behavior. Phys. Rev. B 2021, 104, 024102. [Google Scholar] [CrossRef]
- Waitz, T.; Kazykhanov, V.; Karnthaler, H.P. Martensitic phase transformations in nanocrystalline NiTi studied by TEM. Acta Mater. 2004, 52, 137–147. [Google Scholar] [CrossRef]
- Sarkar, S.; Ren, X.; Otsuka, K. Evidence for Strain Glass in the Ferroelastic-Martensitic System Ti50−xNi50+x. Phys. Rev. Lett. 2005, 95, 205702. [Google Scholar] [CrossRef]
- Wang, D.; Hou, S.; Wang, Y.; Ding, X.; Ren, S.; Ren, X.; Wang, Y. Superelasticity of slim hysteresis over a wide temperature range by nanodomains of martensite. Acta Mater. 2014, 66, 349–359. [Google Scholar] [CrossRef]
- Wang, Y.; Ren, X.; Otsuka, K. Shape Memory Effect and Superelasticity in a Strain Glass Alloy. Phys. Rev. Lett. 2006, 97, 225703. [Google Scholar] [CrossRef]
- Ren, S.; Xue, D.; Ji, Y.; Liu, X.; Yang, S.; Ren, X. Low-Field Triggered Large Magnetostriction in Iron-Palladium Strain Glass Alloys. Phys. Rev. Lett. 2017, 119, 125701. [Google Scholar] [CrossRef]
- Shi, X.; Cui, L.; Jiang, D.; Yu, C.; Guo, F.; Yu, M.; Ren, Y.; Liu, Y. Grain size effect on the R-phase transformation of nanocrystalline NiTi shape memory alloys. J. Mater. Sci. 2014, 49, 4643–4647. [Google Scholar] [CrossRef]
- Nakayama, H.; Tsuchiya, K.; Liu, Z.-G.; Umemoto, M.; Morii, K.; Shimizu, K. Process of nanocrystallization and partial amorphization by cold rolling in TiNi. Mater. Trans. 2001, 42, 1987–1993. [Google Scholar] [CrossRef]
- Ewert, J.C.; Bohm, I.; Peter, R.; Haider, F. The role of the martensite transformation for the mechanical amorphisation of NiTi. Acta Mater. 1997, 45, 2197–2206. [Google Scholar] [CrossRef]
- Srivastava, A.K.; Schryvers, D.; Van Humbeeck, J. Grain growth and precipitation in an annealed cold-rolled Ni50.2Ti49.8 alloy. J. Intermet. 2007, 15, 1538–1547. [Google Scholar] [CrossRef]
- Nakayama, H.; Tsuchiya, K.; Umemoto, M. Crystal refinement and amorphisation by cold rolling in TiNi shape memory alloys. Scr. Mater. 2001, 44, 1781–1785. [Google Scholar] [CrossRef]
- Zheng, Y.F.; Huang, B.M.; Zhang, J.X.; Zhao, L.C. The microstructure and linear superelasticity of cold-drawn TiNi alloy. Mater. Sci. Eng. A 2000, 279, 25–35. [Google Scholar] [CrossRef]
- Tsuchiya, K.; Hada, Y.; Koyano, T.; Nakajima, K.; Ohnuma, M.; Koike, T.; Todaka, Y.; Umemoto, M. Production of TiNi amorphous/nanocrystalline wires with high strength and elastic modulus by severe cold drawing. Scr. Mater. 2009, 60, 749–752. [Google Scholar] [CrossRef]
- Sergueeva, A.V.; Song, C.; Valiev, R.Z.; Mukherjee, A.K. Structure and properties of amorphous and nanocrystalline NiTi prepared by severe plastic deformation and annealing. Mater. Sci. Eng. A 2003, 339, 159–165. [Google Scholar] [CrossRef]
- Segal, V.M. Materials processing by simple shear. Mater. Sci. Eng. A 1995, 197, 157–164. [Google Scholar] [CrossRef]
- Karaman, I.; Kockar, B.; Kulkarni, A.; Chumlyakov, Y.; Kireeva, I.V. A method to enhance cyclic reversibility of NiTiHf high temperature shape memory alloys. J. Nucl. Mater. 2007, 361, 298. [Google Scholar]
- Ji, Y.; Wang, D.; Wang, Y.; Zhou, Y.; Xue, D.; Otsuka, K.; Wang, Y.; Ren, X. Ferroic glasses. NPJ Comput. Mater. 2017, 3, 43. [Google Scholar] [CrossRef]
- Wang, Y.; Gao, J.; Wu, H.; Yang, S.; Ding, X.; Wang, D.; Ren, X.; Wang, Y.; Song, X.; Gao, J. Strain glass transition in a multifunctional β-type Ti alloy. Sci. Rep. 2014, 4, 3995. [Google Scholar] [CrossRef] [PubMed]
- Zhou, Y.; Wu, G. Analysis Methods in Materials Science, 4th ed.; China Machine Press: Beijing, China, 2020. [Google Scholar]
- Zener, C. Elasticity and Anelasticity of Metals, 6th ed.; The University of Chicago Press: Chicago, IL, USA, 1948. [Google Scholar]
- Ren, X. Strain glass and ferroic glass—Unusual properties from glassy nano-domains. Phys. Status Solidi B 2014, 251, 1982–1992. [Google Scholar] [CrossRef]






| HRTEM Region | {110} Plane Atomic Spacing (Å) | a (Å) | b (Å) | c (Å) | Lattice | |
|---|---|---|---|---|---|---|
| General Fe3Pd | 2.7 | 2.37 | 3.818 | 3.818 | 3.818 | FCC |
| a1 | 2.7 | 2.37 | 3.818 | 3.818 | 3.818 | FCC |
| a2 | 2.7 | 2.56 | 3.818 | 3.818 | 4.350 | FCT |
| a3 | 2.7 | 2.32 | 3.818 | 3.818 | 3.774 | FCT |
Publisher’s Note: MDPI stays neutral with regard to jurisdictional claims in published maps and institutional affiliations. |
© 2022 by the authors. Licensee MDPI, Basel, Switzerland. This article is an open access article distributed under the terms and conditions of the Creative Commons Attribution (CC BY) license (https://creativecommons.org/licenses/by/4.0/).
Share and Cite
Xiao, A.; Zhou, Z.; Qian, Y.; Wang, X. Direct Observation of Evolution from Amorphous Phase to Strain Glass. Materials 2022, 15, 7900. https://doi.org/10.3390/ma15227900
Xiao A, Zhou Z, Qian Y, Wang X. Direct Observation of Evolution from Amorphous Phase to Strain Glass. Materials. 2022; 15(22):7900. https://doi.org/10.3390/ma15227900
Chicago/Turabian StyleXiao, Andong, Zhijian Zhou, Yu Qian, and Xu Wang. 2022. "Direct Observation of Evolution from Amorphous Phase to Strain Glass" Materials 15, no. 22: 7900. https://doi.org/10.3390/ma15227900
APA StyleXiao, A., Zhou, Z., Qian, Y., & Wang, X. (2022). Direct Observation of Evolution from Amorphous Phase to Strain Glass. Materials, 15(22), 7900. https://doi.org/10.3390/ma15227900

