Effect of Substrate Temperature on the Structural, Optical and Electrical Properties of DC Magnetron Sputtered VO2 Thin Films
Abstract
1. Introduction
2. Materials and Methods
3. Results
3.1. Microstructural Characterization by Raman Spectroscopy and XRD
3.2. Surface Morphology and Roughness Characterization by SEM and Profilometry
3.3. Optical Characterization by Spectrophotometry
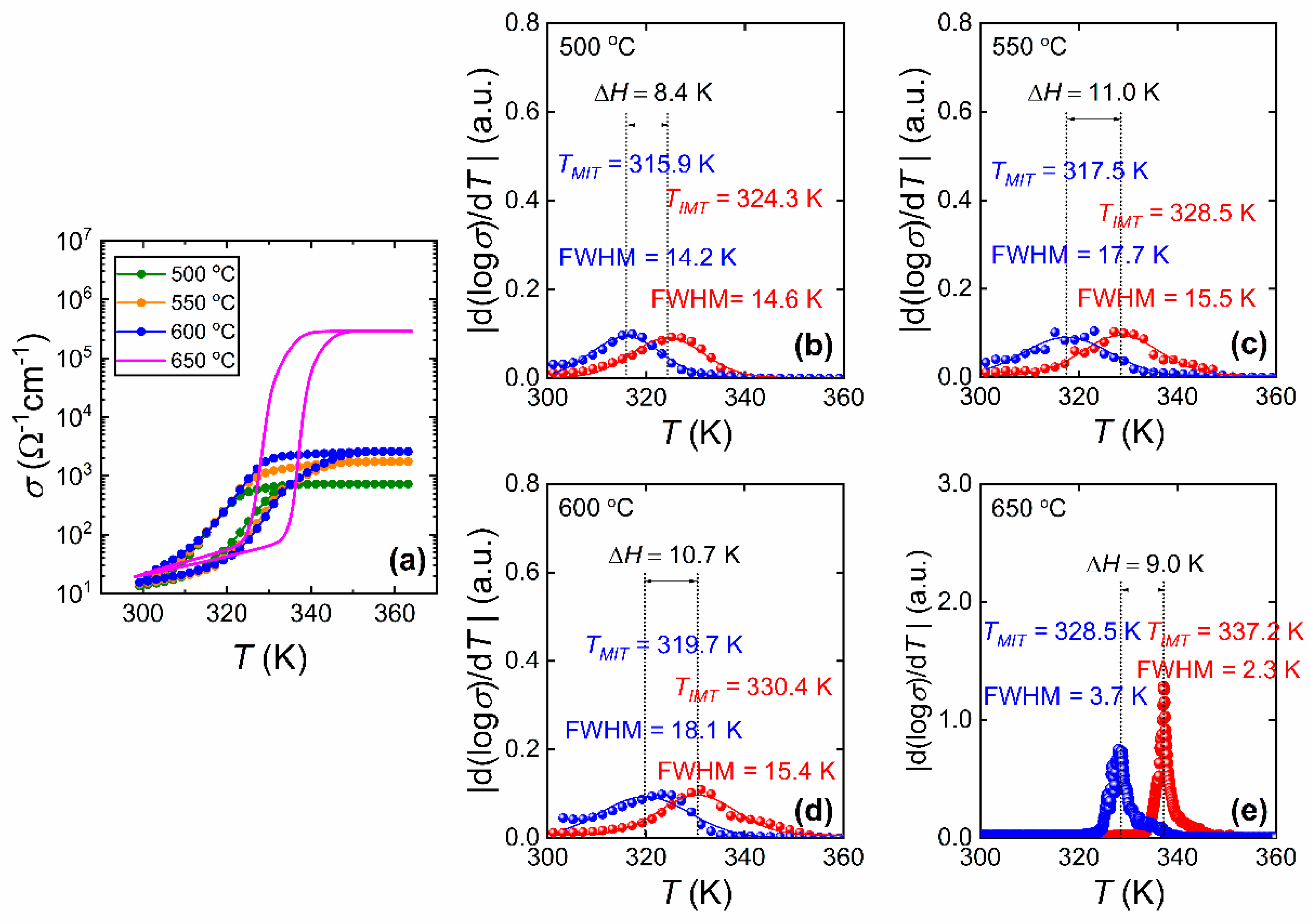
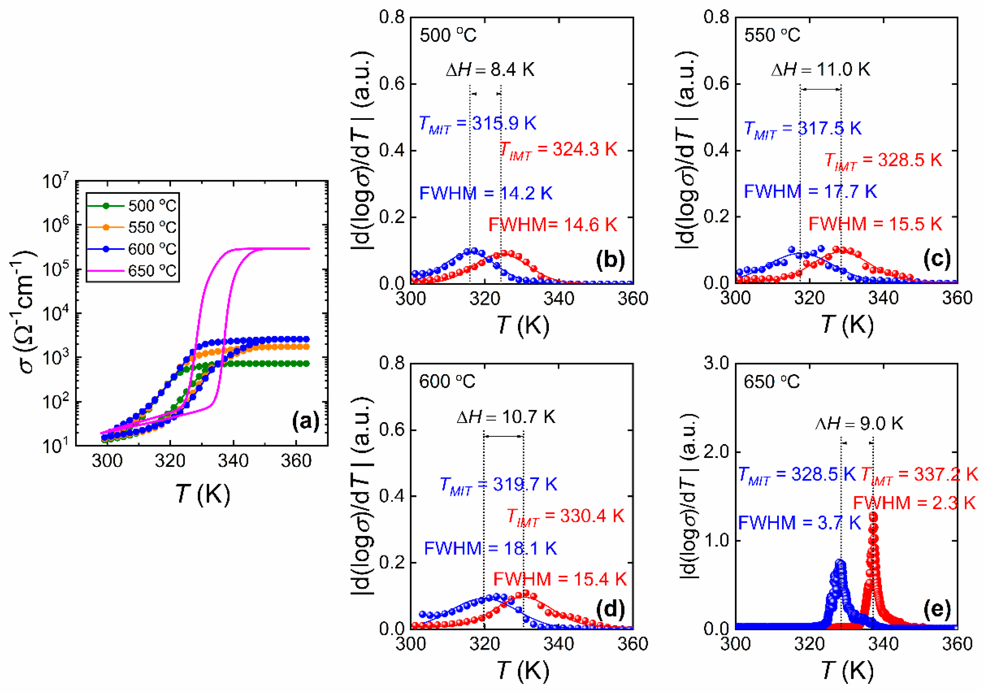
3.4. Electrical MIT Characterization
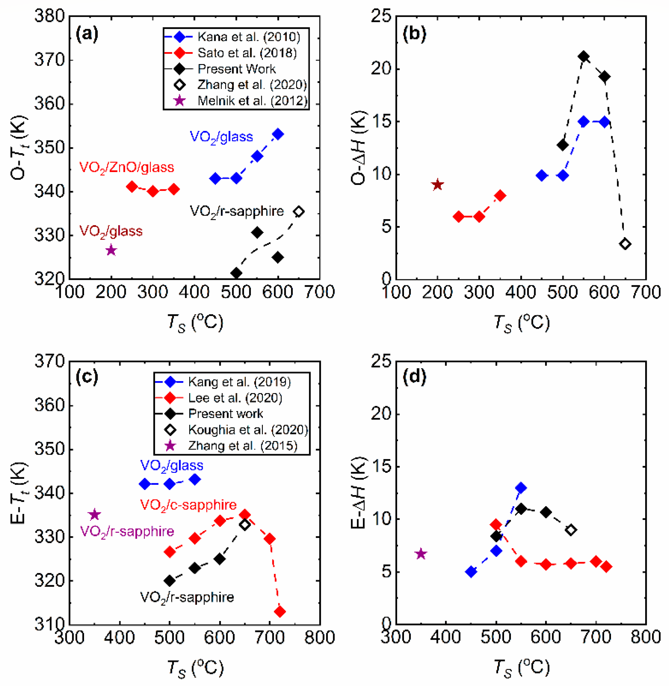
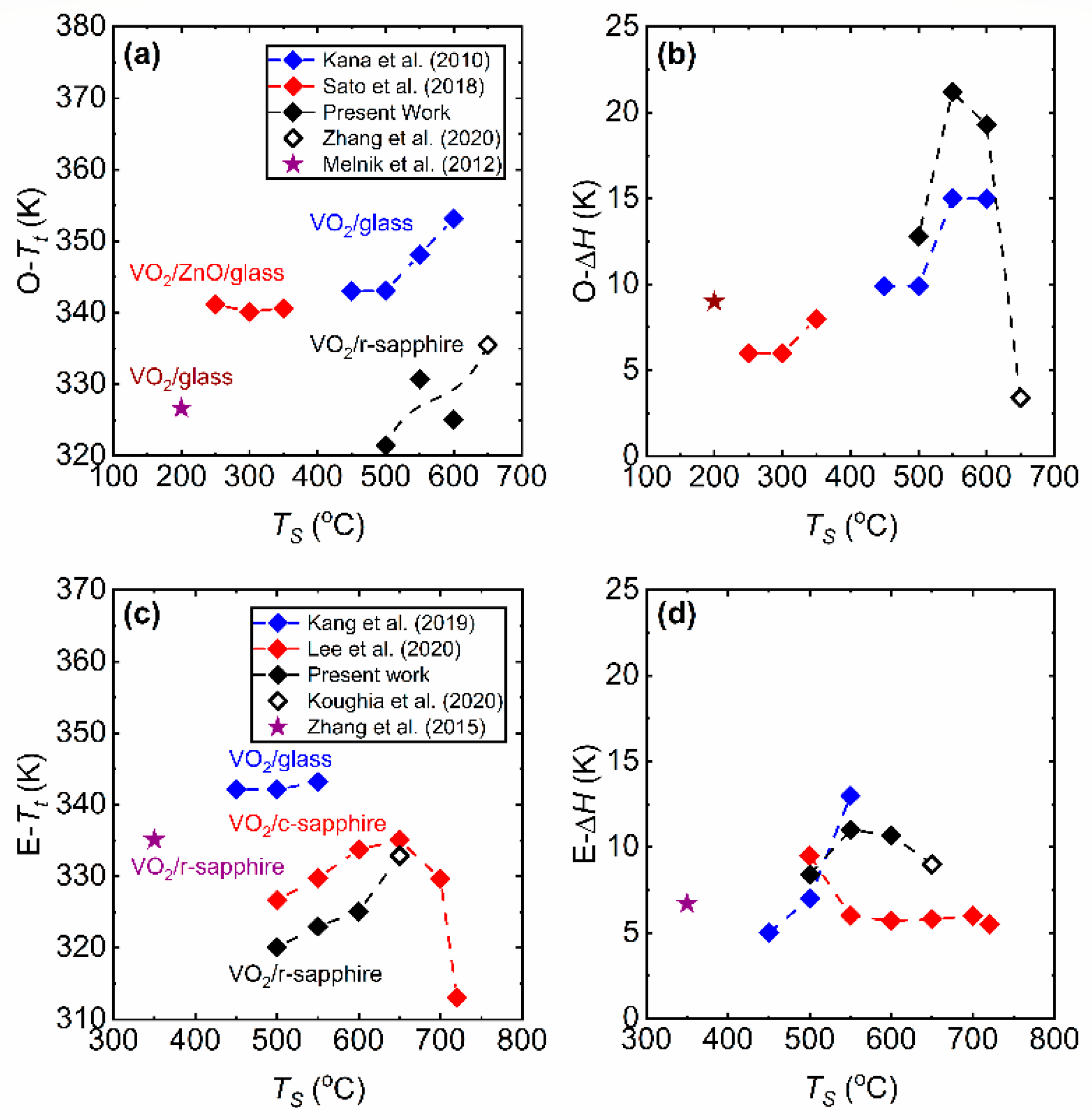
4. Discussion
5. Conclusions
Author Contributions
Funding
Data Availability Statement
Acknowledgments
Conflicts of Interest
References
- Zhou, H.; Li, J.; Xin, Y.; Sun, G.; Bao, S.; Jin, P. Optical and electrical switching properties of VO2 thin film on MgF2 (111) substrate. Ceram. Int. 2016, 42, 7655–7663. [Google Scholar] [CrossRef]
- Simo, A.; Kaviyarasu, K.; Mwakikunga, B.; Madjoe, R.; Gibaud, A.; Maaza, M. Phase transition study in strongly correlated VO2 based sensing systems. J. Electron Spectrosc. Relat. Phenom. 2017, 216, 23–32. [Google Scholar] [CrossRef]
- Malarde, D.; Powell, M.J.; Quesada-Cabrera, R.; Wilson, R.L.; Carmalt, C.J.; Sankar, G.; Parkin, I.P.; Palgrave, R.G. Optimized atmosphere-pressure Chemical Vapor Deposition thermochromic VO2 thin films for intelligent window applications. ACS Omega 2017, 2, 1040–1046. [Google Scholar] [CrossRef]
- Coy, H.; Cabrera, R.; Sepulveda, N.; Fernandez, F.E. Optoelectronic and all-optical multiple memory states in vanadium dioxide. J. Appl. Phys. 2010, 108, 113115. [Google Scholar] [CrossRef]
- Hong, X.; Loy, D.J.; Dananjaya, P.A.; Tan, F.; Ng, C.; Lew, W. Oxide-based RRAM materials for neuromorphic computing. J. Mater. Sci. 2018, 53, 8720–8746. [Google Scholar] [CrossRef]
- Yang, Z.; Ko, C.; Ramanathan, S. Oxide Electronics Utilizing Ultrafast Metal-Insulator Transitions. Annu. Rev. Mater. Res. 2011, 41, 337–367. [Google Scholar] [CrossRef]
- Jeong, J.; Jung, Y.; Qu, Z.; Cui, B.; Khanda, A.; Sharma, A.; Parkin, S.S.P.; Poon, J.K.S. VO2 electro-optic memory and oscillator for neuromorphic computing. In Proceedings of the 2020 Conference on Lasers and Electro-Optics (CLEO), San Jose, CA, USA, 10–15 May 2020. paper STh3R.2. [Google Scholar] [CrossRef]
- Liu, H.; Lu, J.; Wang, X.R. Metamaterials based on the phase transition of VO2. Nanotechnology 2018, 29, 024002. [Google Scholar] [CrossRef]
- Goodenough, J.B. The two components of the crystallographic transition in VO2. J. Solid State Chem. 1971, 3, 490–500. [Google Scholar] [CrossRef]
- Hajlaoui, T.; Emond, N.; Quirouette, C.; Drogoff, B.L.; Margot, J.; Chaker, M. Metal–insulator transition temperature of boron-doped VO2 thin films grown by reactive pulsed laser deposition. Scr. Mater. 2020, 177, 32–37. [Google Scholar] [CrossRef]
- Rajeswaran, B.; Umarji, A.M. Defect engineering of VO2 thin films synthesized by Chemical Vapor Deposition. Mater. Chem. Phys. 2020, 245, 122230. [Google Scholar] [CrossRef]
- Leroy, J.; Bessaudou, A.; Cosset, F.; Crunteanu, A. Structural, electrical and optical properties of thermochromic VO2 thin films obtained by reactive electron beam evaporation. Thin Solid Films 2012, 520, 4823–4825. [Google Scholar] [CrossRef]
- Gagaoudakis, E.; Aperathitis, E.; Michail, G.; Panagopoulou, M.; Katerinopoulou, D.; Binas, V.; Raptis, Y.S.; Kiriakidis, G. Low-temperature rf sputtered VO2 thin films as thermochromic coatings for smart glazing systems. Sol. Energy 2018, 165, 115–121. [Google Scholar] [CrossRef]
- Li, M.; Magdassi, S.; Gao, Y.; Long, Y. Hydrothermal Synthesis of VO2 Polymorphs: Advantages, Challenges and Prospects for the Application of Energy Efficient Smart Windows. Small 2017, 13, 1701147. [Google Scholar] [CrossRef] [PubMed]
- Zhang, C.Z.; Yang, Q.; Koughia, C.; Ye, F.; Sanayei, M.; Wen, S.J.; Kasap, S. Characterization of vanadium oxide thin films with different stoichiometry using Raman spectroscopy. Thin Solid Films 2016, 620, 64–69. [Google Scholar] [CrossRef]
- Lafane, S.; Abdelli-Messaci, S.; Kechouane, M.; Malek, S.; Guedouar, B.; Lappalainen, J.; Nemraoui, O.; Kerdj, T. Direct growth of VO2 nanoplatelets on glass and silicon by pulsed laser deposition through substrate temperature control. Thin Solid Films 2017, 632, 119–127. [Google Scholar] [CrossRef]
- Zhang, C.Z.; Koughia, C.; Güneş, O.; Luo, J.; Hossain, N.; Li, Y.S.; Cui, X.; Wen, S.J.; Wong, R.; Yang, Q.; et al. Synthesis, structure and optical properties of high-quality VO2 thin films grown on silicon, quartz and sapphire substrates by high temperature magnetron sputtering: Properties through the transition temperature. J. Alloys Compd. 2020, 848, 156323. [Google Scholar] [CrossRef]
- Umar, Z.A.; Ahmed, N.; Ahmed, R.; Arshad, M.; Anwar-Ul-Haq, M.; Hussain, T.; Baig, M.A. Substrate temperature effects on the structural, compositional, and electrical properties of VO2 thin films deposited by pulsed laser deposition, Surf. Interface Anal. 2018, 50, 297–303. [Google Scholar] [CrossRef]
- Diallo, A.; Ndiaye, N.M.; Ngom, B.D.; Khamlich, S.; Talla, K.; Ndiaye, S.; Manyala, N.; Nemraoui, O.; Madjoe, R.; Beye, A.C.; et al. Effect of substrate temperature on the structure and the metal insulator transition in pulsed laser deposed VO2\films on soda lime glass. J. Opt. 2015, 44, 36–44. [Google Scholar] [CrossRef][Green Version]
- Houska, J. Design and reactive magnetron sputtering of thermochromic coatings. J. Appl. Phys. 2022, 31, 110901. [Google Scholar] [CrossRef]
- Sato, K.; Hoshino, H.; Mian, S.; Okimura, K. Low-temperature growth of VO2 films on transparent ZnO/glass and Aldoped ZnO/glass and their optical transition properties. Thin Solid Films 2018, 651, 91–96. [Google Scholar] [CrossRef]
- Sun, G.; Cao, X.; Li, X.; Bao, S.; Li, N.; Liang, M.; Gloter, A.; Gu, H.; Jin, P. Low-temperature deposition of VO2 films with high crystalline degree by embedding multilayered structure. Sol. Energy Mater. Sol. Cells 2017, 161, 70–76. [Google Scholar] [CrossRef]
- Xiang, Z.; Wu, Z.; Ji, C.; Shi, Y.; Dai, J.; Huang, Z.; Xu, W.; Dong, X.; Wang, J.; Jiang, Y. Low temperature fabrication of high-performance VO2 film via embedding low vanadium buffer layer. Appl. Surf. Sci. 2020, 517, 146101. [Google Scholar] [CrossRef]
- Zhu, M.; Qi, H.; Li, C.; Wang, B.; Wang, H.; Guan, T.; Zhang, D. VO2 thin films with low phase transition temperature grown on ZnO/glass by applying substrate DC bias at low temperature of 250 °C. Appl. Surf. Sci. 2018, 453, 23–30. [Google Scholar] [CrossRef]
- Houska, J.; Kolenaty, D.; Vlcek, J.; Cerstvy, R. Properties of thermochromic VO2 films prepared by HiPIMS onto unbiased amorphous glass substrates at a low temperature of 300 °C. Thin Solid Films 2018, 660, 463–470. [Google Scholar] [CrossRef]
- Melnik, V.; Khatsevych, I.; Kladko, V.; Kuchuk, A.; Nikirin, V.; Romanyuk, B. Low-temperature method for thermochromic high ordered VO2 phase formation. Mater. Lett. 2012, 68, 215–217. [Google Scholar] [CrossRef]
- Guo, B.; Chen, L.; Shi, S.; Ishaq, A.; Wan, D.; Chen, Z.; Zhang, L.; Luo, H.; Gao, Y. Low temperature fabrication of thermochromic VO2 thin films by low-pressure chemical vapor deposition. RSC Adv. 2017, 7, 10798–10805. [Google Scholar] [CrossRef]
- Lee, D.; Yang, D.; Kim, H.; Kim, J.; Song, S.; Choi, K.S.; Bae, J.S.; Lee, J.; Lee, J.; Lee, Y.; et al. Deposi-tion-Temperature-Mediated Selective Phase Transition Mechanism of VO2 Films. J. Phys. Chem. C 2020, 124, 17282–17289. [Google Scholar] [CrossRef]
- McGee, R.; Goswami, A.; Khorshidi, B.; McGuire, K.; Schofield, K.; Thundat, T. Effect of process parameters on phase stability and metal-insulator transition of vanadium dioxide (VO2) thin films by pulsed laser deposition. Acta Mater. 2017, 137, 12–21. [Google Scholar] [CrossRef]
- Kana Kana, J.B.; Ndjaka, J.M.; Ngoma, B.D.; Fasasi, A.Y.; Nemraoui, O.; Nemutudi, R.; Knoesen, D.; Maaza, M. High substrate temperature induced anomalous phase transition temperature shift in sputtered VO2 thin films. Opt. Mater. 2010, 32, 739–742. [Google Scholar] [CrossRef]
- Kana Kana, J.B.; Ndjaka, J.M.; Ngom, B.D.; Manyala, N.; Nemraoui, O.; Fasasi, A.Y.; Nemutudi, R.; Gibaud, A.; Knoesen, D.; Maaza, M. Thermochromic nanocrystalline Au–VO2 composite thin films prepared by radiofrequency inverted cylindrical magne-tron sputtering. Thin Solid Films 2010, 518, 1641–1647. [Google Scholar] [CrossRef]
- Koughia, C.; Gunes, O.; Zhang, C.; Wen, S.J.; Wong, R.; Yang, Q.; Kasap, S.O. Topology of conductive clusters in sputtered high-quality VO2 thin films on the brink of percolation threshold during insulator-to-metal and metal-to-insulator transitions. J. Vac. Sci. Technol. A Vac. Surf. Films 2020, 38, 063401. [Google Scholar] [CrossRef]
- Zhang, C.; Gunes, O.; Li, Y.; Cui, X.; Mohammadtaheri, M.; Wen, S.J.; Yang, Q.; Kasap, S. The effect of substrate biasing during DC magnetron sputtering on the quality of VO2 thin films and their insulator–metal transition behavior. Materials 2019, 12, 2160. [Google Scholar] [CrossRef] [PubMed]
- Image Processing and Analysis in Java. Available online: https://imagej.nih.gov/ij/ (accessed on 14 September 2022).
- Majid, S.S.; Shukla, D.K.; Rahman, F.; Khan, S.; Gautam, K.; Ahad, A.; Francoual, S.; Choudhary, R.J.; Sathe, V.G.; Strempfer, J. Insulator-metal transitions in the T phase Cr-doped and M1 phase undoped VO2 thin films. Phys. Rev. B 2018, 98, 075152. [Google Scholar] [CrossRef]
- Zhang, H.T.; Zhang, L.; Mukherjee, D.; Zheng, Y.X.; Haislmaier, R.C.; Alem, N.; Engel-Herbert, R. Wafer-scale growth of VO2 thin films using a combinatorial approach. Nat. Commun. 2015, 6, 8475. [Google Scholar] [CrossRef]
- Creeden, J.A.; Madaras, S.E.; Beringer, D.B.; Beebe, M.R.; Novikova, I.; Lukaszew, R. Structural and photoelectric properties of epitaxially grown vanadium dioxide thin films on c-plane sapphire and titanium dioxide. Sci. Rep. 2019, 9, 9362. [Google Scholar] [CrossRef] [PubMed]
- Miyazaki, K.; Shibuya, K.; Suzuki, M.; Wado, H.; Sawa, A. Correlation between thermal hysteresis width and broadening of metal–insulator transition in Cr-and Nb-doped VO2 films. Jpn. J. Appl. Phys. 2014, 53, 071102. [Google Scholar] [CrossRef]
- Liang, J.; Li, P.; Zhou, L.; Guo, J.; Zhao, Y. Near-infrared tunable multiple broadband perfect absorber base on VO2 semi-shell arrays photonic microstructure and gold reflector. Mater. Res. Express 2018, 5, 015802. [Google Scholar] [CrossRef]
- Chu, X.; Xie, Q.; Zhang, X.; Guo, B.; Liao, J.; Zhao, X. Fabrication and Optical Characterization of VO2-Based Thin Films Deposited on Practical Float Glass by Magnetron Sputtering and Professional Annealing. Materials 2022, 15, 2990. [Google Scholar] [CrossRef]
- Zhang, D.-P.; Zhu, M.-D.; Liu, Y.; Yang, K.; Liang, G.-X.; Zheng, Z.-H.; Cai, X.-M.; Fan, P. High performance VO2 thin films growth by DC magnetron sputtering at low temperature for smart energy efficient window application. J. Alloys Compd. 2016, 659, 198–202. [Google Scholar] [CrossRef]
- Ko, B.; Badloe, T.; Kim, S.J.; Hong, S.H.; Rho, J. Employing vanadium dioxide nanoparticles for flexible metasurfaces with switchable absorption properties at near-infrared frequencies. J. Opt. 2020, 22, 114002. [Google Scholar] [CrossRef]
- Son, S.B.; Youn, J.W.; Kim, K.S.; Kim, D.U. Optical properties of periodic micropatterned VO2 thermochromic films prepared by thermal and intense pulsed light sintering. Mater. Des. 2019, 182, 107970. [Google Scholar] [CrossRef]
- Vu, T.D.; Liu, S.; Zeng, X.; Li, C.; Long, Y. High-power impulse magnetron sputtering deposition of high crystallinity vanadium dioxide for thermochromic smart windows applications. Ceram. Int. 2020, 46, 8145–8153. [Google Scholar] [CrossRef]
- Wang, S.; Wei, W.; Huang, T.; Yuan, M.; Yang, Y.; Yang, W.; Dai, N. Al-Doping-Induced VO2 (B) Phase in VO2 (M) Toward Smart Optical Thin Films with Modulated ΔTvis and ΔTc. Adv. Eng. Mater. 2019, 21, 1900947. [Google Scholar] [CrossRef]
- Ji, C.; Wu, Z.; Wu, X.; Wang, J.; Gou, J.; Huang, Z.; Zhou, H.; Yao, W.; Jiang, Y. Al-doped VO2 films as smart window coatings: Reduced phase transition temperature and improved thermochromic performance. Sol. Energy Mater. Sol. Cells 2018, 176, 174–180. [Google Scholar] [CrossRef]
- Zhao, X.; Hu, X.; Sun, J.; You, Q.; Xu, H.; Liu, W.; Sun, G.; Nie, Y.; Yao, W.; Jiang, X. VO2-based composite films with exemplary thermochromic and photochromic performance. J. Appl. Phys. 2020, 128, 185107. [Google Scholar] [CrossRef]
- Zhao, X.P.; Mofid, S.A.; Gao, T.; Tan, G.; Jelle, B.P.; Yin, X.B.; Yang, R.G. Durability-enhanced vanadium dioxide ther-mochromic film for smart windows. Mater. Today Phys. 2020, 13, 100205. [Google Scholar] [CrossRef]
- Cui, Y.; Ke, Y.; Liu, C.; Chen, Z.; Wang, N.; Zhang, L.; Zhou, Y.; Wang, S.; Gao, Y.; Long, Y. Thermochromic VO2 for energy-efficient smart windows. Joule 2018, 2, 1707–1746. [Google Scholar] [CrossRef]
- Li, B.; Tian, S.; Wang, Z.; Liu, B.; Gong, X.; Zhao, X. Thermochromic Ta Doped VO2 Films: Enhanced Luminous Transmittance, Significantly Depressed Phase Transition Temperature and Hysteresis Width. Appl. Surf. Sci. 2021, 568, 150959. [Google Scholar] [CrossRef]
- Hunt, R.W.G. The Reproduction of Colour, 6th ed.; Kriss, M.A., Ed.; John Wiley & Sons: West Sussex, UK, 2004; pp. 678–679. [Google Scholar]
- Reference Air Mass 1.5 Spectra. Available online: https://www.nrel.gov/grid/solar-resource/spectra-am1.5.html (accessed on 14 September 2022).
- Gunes, O.; Koughia, C.; Zhang, C.; Belev, G.; Wen, S.J.; Yang, Q.; Kasap, S.O. Self-heating-induced electrical and optical switching in high quality VO2 films controlled with current pulses. J. Mater. Sci. Mater. 2021, 32, 24285–24295. [Google Scholar] [CrossRef]
- Sang, J.; Zheng, T.; Xu, L.; Zhou, X.; Tian, S.; Sun, J.; Xu, X.; Wang, J.; Zhao, S.; Liu, Y. Modulating the metal-insulator transition in VO2/Al2O3 (001) thin films by grain size and lattice strain. J. Alloys Compd. 2021, 876, 160208. [Google Scholar] [CrossRef]
- Yang, T.H.; Aggarwal, R.; Gupta, A.; Zhou, H.; Narayan, R.J.; Narayan, J. Semiconductor-metal transition characteristics of VO2 thin films grown on c-and r-sapphire substrates. J. Appl. Phys. 2010, 107, 053514. [Google Scholar] [CrossRef]
- Yoon, J.; Park, C.; Park, S.; Mun, B.S.; Ju, H. Correlation between surface morphology and electrical properties of VO2 films grown by direct thermal oxidation method. Appl. Surf. Sci. 2015, 353, 1082–1086. [Google Scholar] [CrossRef]
- Kang, C.; Wei, Z.; Zhang, C.; Liang, S.; Geng, C.; Wu, J.; Liu, H.; Zong, H.; Li, M. Evolution of polymorph and photoelectric properties of VO2 thin films with substrate temperature. J. Alloys Compd. 2019, 803, 394–400. [Google Scholar] [CrossRef]














| Substrate Temperature (TS) (°C) | Oxygen Flow Rate (sccm) | Sputtering Power (W) | Pressure (Pa) | Duration (Hour) | Phase |
|---|---|---|---|---|---|
| 350 | 1.3 | 100 | 1.33 | 2 | V2O5 |
| 400 | 1.3 | 100 | 1.33 | 2 | V2O5 |
| 450 | 1.3 | 100 | 1.33 | 2 | V2O5 |
| 500 | 1.3 | 100 | 1.33 | 2 | VO2 |
| 550 | 1.3 | 100 | 1.33 | 2 | VO2 |
| 600 | 1.3 | 100 | 1.33 | 2 | VO2 |
| 650 [17] | 1.3 | 100 | 1.33 | 2 | VO2 |
| Substrate Temperature (TS) (°C) | GSavg (nm) | Ra (nm) | Rq (nm) | GSavg (nm) | Ra (nm) | Rq (nm) |
|---|---|---|---|---|---|---|
| Si | Sapphire | |||||
| 500 | 104 ± 20 | 2 | 10 | 108 ± 16 | 4 | 8 |
| 550 | 116 ± 26 | 5 | 5 | 124 ± 27 | 2 | 6 |
| 600 | 145 ± 51 | 3 | 4 | 153 ± 59 | 2 | 3 |
| 650 [17] | 114 ± 24 | 2 | 3 | ~Flat | 2 | 2 |
| Substrate Temperature (TS) (°C) | λ (nm) | (%) | (%) | (%) | (%) | (%) | (%) |
|---|---|---|---|---|---|---|---|
| Si | Sapphire | ||||||
| 500 | 2500 | 34.5 | 0.5 | 34.0 | 35.0 | 0.6 | 34.4 |
| 2000 | 27.6 | 0.5 | 27.1 | 33.3 | 0.7 | 32.6 | |
| 1500 | 16.9 | 0.5 | 16.4 | 24.4 | 0.7 | 23.5 | |
| 550 | 2500 | 51.9 | 0.2 | 51.7 | 44.5 | 0.2 | 44.3 |
| 2000 | 45.0 | 0.2 | 44.8 | 46.7 | 0.3 | 46.4 | |
| 1500 | 30.7 | 0.3 | 30.4 | 41.1 | 0.3 | 40.8 | |
| 600 | 2500 | 48.2 | 0.1 | 48.1 | 43.7 | 0.1 | 43.6 |
| 2000 | 42.0 | 0.1 | 41.9 | 48.7 | 0.1 | 48.6 | |
| 1500 | 27.3 | 0.1 | 27.2 | 31.8 | 0.2 | 31.6 | |
| 650 [17] | 2500 | 54.9 | 0.3 | 54.6 | 51.3 | 0.5 | 50.8 |
| 2000 | 49.3 | 0.4 | 48.9 | 45.2 | 0.5 | 44.7 | |
| 1500 | 35.5 | 0.5 | 35.0 | 39.9 | 0.8 | 39.1 |
| Substrate Temperature (TS) (°C) | (300 K) | (368 K) | (300 K) | (368 K) | ||
|---|---|---|---|---|---|---|
| 500 | 9 | 6.8 | 2.2 | 12 | 3.6 | 8.4 |
| 550 | 8.6 | 5.8 | 2.8 | 15.91 | 3.2 | 12.71 |
| 600 | 5.8 | 3.5 | 2.3 | 12.64 | 2 | 10.64 |
| 650 [17] | 17.2 | 9.6 | 7.6 | 22.88 | 5.7 | 17.18 |
Publisher’s Note: MDPI stays neutral with regard to jurisdictional claims in published maps and institutional affiliations. |
© 2022 by the authors. Licensee MDPI, Basel, Switzerland. This article is an open access article distributed under the terms and conditions of the Creative Commons Attribution (CC BY) license (https://creativecommons.org/licenses/by/4.0/).
Share and Cite
Zhang, C.; Gunes, O.; Wen, S.-J.; Yang, Q.; Kasap, S. Effect of Substrate Temperature on the Structural, Optical and Electrical Properties of DC Magnetron Sputtered VO2 Thin Films. Materials 2022, 15, 7849. https://doi.org/10.3390/ma15217849
Zhang C, Gunes O, Wen S-J, Yang Q, Kasap S. Effect of Substrate Temperature on the Structural, Optical and Electrical Properties of DC Magnetron Sputtered VO2 Thin Films. Materials. 2022; 15(21):7849. https://doi.org/10.3390/ma15217849
Chicago/Turabian StyleZhang, Chunzi, Ozan Gunes, Shi-Jie Wen, Qiaoqin Yang, and Safa Kasap. 2022. "Effect of Substrate Temperature on the Structural, Optical and Electrical Properties of DC Magnetron Sputtered VO2 Thin Films" Materials 15, no. 21: 7849. https://doi.org/10.3390/ma15217849
APA StyleZhang, C., Gunes, O., Wen, S.-J., Yang, Q., & Kasap, S. (2022). Effect of Substrate Temperature on the Structural, Optical and Electrical Properties of DC Magnetron Sputtered VO2 Thin Films. Materials, 15(21), 7849. https://doi.org/10.3390/ma15217849

