Formation of Shaped Charge Projectile in Air and Water
Abstract
1. Introduction
2. Basic Theory
2.1. Formation Velocity of Projectile in Air
2.2. Attenuation Velocity of Projectile in Water
2.3. Attenuation Velocity of Projectile from Air to Water
2.4. Numerical Theory
2.4.1. Fluid Governing Equation
2.4.2. Equation of State
- (1)
- Equation of state for water
- (2)
- Equation of state for air
- (3)
- Equation of state for metal liner
- (4)
- Equation of state for explosives
3. Formation Process of Shaped Charge Projectiles in Different Media
3.1. Numerical Model
3.2. Convergence Analysis
3.3. Formation Process of Shaped Charge Projectile
3.3.1. Case 1: Air Explosion
3.3.2. Case 2: Water Explosion without Air Cavity
3.3.3. Cases 3–5: Water Explosion with Air Cavity
3.3.4. Results Analysis and Discussion
4. Maximum Head Velocity of Projectile in Air and Water
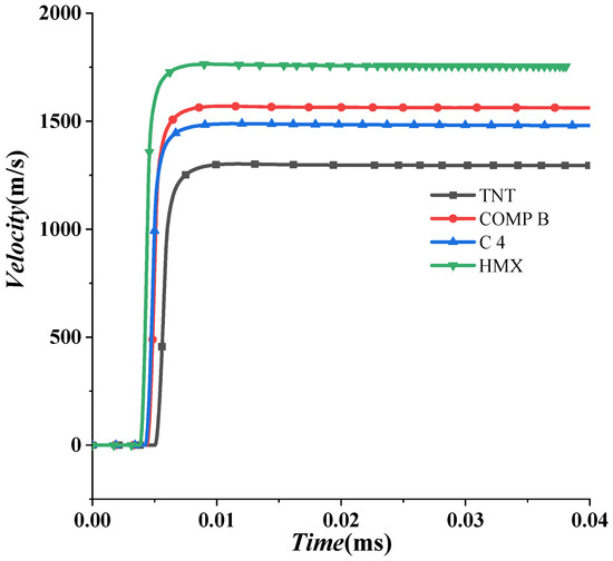
4.1. Coefficient Modification of Head Velocity of Projectile in Air
4.2. Reduction Coefficient of Head Velocity of Projectile in Water
5. Effects of Media on the Evolution of Velocity
5.1. Velocity Attenuation Law of Projectiles in Air
5.2. Velocity Attenuation Law of Projectile in Water
5.2.1. Velocity Attenuation Law in the Second Stage
5.2.2. Velocity Attenuation Law in the Third Stage
5.3. Velocity Attenuation Law of Projectile from Air to Water
5.3.1. Velocity Analysis in Pit Stage
5.3.2. Velocity Analysis in Water Entry Stage
6. Conclusions
- A shaped charge projectile formed in air is short, thick, and dense while it turns over to be a “crescent moon” in water and develops into a “mushroom” shape from the air cavity to water. Due to the velocity gradient, fractures are found when the projectile enters and moves in the water. When the length of the air cavity is lower or larger than three times of charge radius, the projectile cannot be completely formed or easily fractured. Therefore, it is suggested to make the length of the air cavity three times larger than the charge radius;
- Velocity attenuation laws of shaped charge projectiles with four types of explosives in air and water are discussed. Results show that the empirical coefficients of maximum velocity in air and water are 0.647 and 0.462, respectively. The head velocity of a projectile in water can be divided into three stages: acceleration, rapid decay, and slow decay. The higher the maximum head velocity of a projectile is, the greater the percentage of velocity attenuation is in the rapid decay stage. The residual velocity is about 60% of the maximum head velocity. The theoretical fitting formula is given in the slow decay stage, and its results agree well with the numerical ones. The maximum error of head velocity is only about 30 m/s, which proves the high reliability of the theoretical fitting formula;
- The shaped charge projectile forms in the air cavity and then enters the water. Its head velocity includes acceleration, pit, and water entry stages. Because of the fracture and collision of the projectile, the water-entry stage is divided into fracture and collision stages. The pitting stage is a unique phenomenon of a projectile in water. Its velocity tendency shows that the velocity first declines and then increases and eventually stays steady. The theoretical fitting formula of the head velocity of a projectile in the water-entry stage is given. The maximum error between the theoretical and numerical results for a projectile’s head velocity is lower than 8.1%, which validates the theoretical fitting formula. Besides, the fluctuations are found in the numerical results caused by the fracture and the projectile collision.
Author Contributions
Funding
Informed Consent Statement
Acknowledgments
Conflicts of Interest
References
- Ma, J.X.; Wang, R.W.; Lu, S.Z.; Chen, W.D. Dynamic parameters of multi-cabin protective structure subjected to low-impact load -Numerical and experimental investigations. Def. Technol. 2020, 16, 988–1000. [Google Scholar] [CrossRef]
- Jiang, X.W.; Zhang, W.; Li, D.C.; Chen, T.; Guo, Z.T. Experimental analysis on dynamic response of pre-cracked aluminum plate subjected to underwater explosion shock loadings. Thin-Walled Struct. 2021, 159, 107256. [Google Scholar] [CrossRef]
- Ciepielewski, R.; Gieleta, R.; Miedzinska, D. Experimental Study on Static and Dynamic Response of Aluminum Honeycomb Sandwich Structures. Materials 2022, 15, 1793. [Google Scholar] [CrossRef] [PubMed]
- Ji, L.; Wang, P.; Cai, Y.; Shang, W.; Zu, X. Blast Resistance of 240 mm Building Wall Coated with Polyurea Elastomer. Materials 2022, 15, 850. [Google Scholar] [CrossRef] [PubMed]
- Si, P.; Liu, Y.; Yan, J.; Bai, F.; Huang, F. Ballistic Performance of Polyurea-Reinforced Ceramic/Metal Armor Subjected to Projectile Impact. Materials 2022, 15, 3918. [Google Scholar] [CrossRef]
- Wan, M.; Hu, D.; Pei, B. Performance of 3D-Printed Bionic Conch-Like Composite Plate under Low-Velocity Impact. Materials 2022, 15, 5201. [Google Scholar] [CrossRef]
- Yin, C.Y.; Jin, Z.Y.; Chen, Y.; Hua, H.X. Effects of sacrificial coatings on stiffened double cylindrical shells subjected to underwater blasts. Int. J. Impact Eng. 2020, 136, 103412. [Google Scholar] [CrossRef]
- Wang, H.; Zhu, X.; Cheng, Y.S.; Liu, J. Experimental and numerical investigation of ship structure subjected to close-in underwater shock wave and following gas bubble pulse. Mar. Struct. 2014, 39, 90–117. [Google Scholar] [CrossRef]
- Zhang, Z.H.; Chen, Y.; Huang, X.C.; Hua, H.X. Underwater explosion approximate method research on ship with polymer coating. Proc. Inst. Mech. Eng. Part M J. Eng. Marit. Environ. 2017, 231, 384–394. [Google Scholar] [CrossRef]
- Liu, Y.; Yin, J.; Wang, Z.; Zhang, X.; Bi, G. The EFP Formation and Penetration Capability of Double-Layer Shaped Charge with Wave Shaper. Materials 2020, 13, 4519, Correction in Materials 2021, 14, 2210. [Google Scholar] [CrossRef]
- Fu, H.; Jiang, J.; Men, J.; Gu, X. Microstructure Evolution and Deformation Mechanism of Tantalum–Tungsten Alloy Liner under Ultra-High Strain Rate by Explosive Detonation. Materials 2022, 15, 5252. [Google Scholar] [CrossRef] [PubMed]
- Berner, C.; Fleck, V. Pleat and asymmetry effects on the aerodynamics of explosively formed penetrators. In Proceedings of the 18th International Symposium on Ballistics, San Antonio, TX, USA, 15–19 November 1999; CRC Press: Boca Raton, FL, USA, 1999; p. 11. [Google Scholar]
- Li, Y.; Niu, S.J.; Shi, H.; Ji, X.S.; Hu, X.C.; Li, N.J. Effects of Environment Temperature on The Attenuation of Quasi-Spherical EFP Velocity. J. Physics. Conf. Ser. 2021, 1855, 12037. [Google Scholar] [CrossRef]
- Liu, J.Q.; Gu, W.B.; Lu, M.; Xu, H.M.; Wu, S.H. Formation of explosively formed penetrator with fins and its flight characteristics. Def. Technol. 2014, 10, 119–123. [Google Scholar] [CrossRef]
- Jeremić, O.; Milinović, M.; Marković, M.; Rašuo, B. Analytical and numerical method of velocity fields for the explosively formed projectiles. FME Trans. 2017, 45, 38–44. [Google Scholar] [CrossRef]
- Wu, J.; Liu, J.B.; Du, Y.X. Experimental and numerical study on the flight and penetration properties of explosively-formed projectile. Int. J. Impact Eng. 2007, 34, 1147–1162. [Google Scholar] [CrossRef]
- Ji, C.Q. Missile Aerodynamics; Aerospace Press: Beijing, China, 1996. [Google Scholar]
- Zhang, A.M.; Cao, X.Y.; Ming, F.R.; Zhang, Z.F. Investigation on a damaged ship model sinking into water based on three dimensional SPH method. Appl. Ocean. Res. 2013, 42, 24–31. [Google Scholar] [CrossRef]
- Zhang, Z.F.; Sun, L.; Yao, X.; Cao, Y. Smoothed particle hydrodynamics simulation of the submarine structure subjected to a contact underwater explosion. Combust. Explos. Shock Waves 2015, 51, 502–510. [Google Scholar] [CrossRef]
- Zhang, Z.F.; Ming, F.R.; Zhang, A.M. Damage Characteristics of Coated Cylindrical Shells Subjected to Underwater Contact Explosion. Shock Vib. 2014, 2014, 763607. [Google Scholar] [CrossRef][Green Version]
- Zhang, Z.F.; Wang, C.; Xu, W.L.; Hu, H.L. Penetration of annular and general jets into underwater plates. Comput. Part. Mech. 2021, 8, 289–296. [Google Scholar] [CrossRef]
- Zhang, Z.F.; Wang, C.; Xu, W.L.; Hu, H.L.; Guo, Y.C. Application of a new type of annular shaped charge in penetration into underwater double-hull structure. Int. J. Impact Eng. 2022, 159, 104057. [Google Scholar] [CrossRef]
- Zhang, Z.F.; Wang, L.K.; Ming, F.R.; Silberschmidt, V.V.; Chen, H.L. Application of Smoothed Particle Hydrodynamics in analysis of shaped-charge jet penetration caused by underwater explosion. Ocean. Eng. 2017, 145, 177–187. [Google Scholar] [CrossRef]
- Zhang, Z.F.; Wang, L.K.; Silberschmidt, V.V. Damage response of steel plate to underwater explosion: Effect of shaped charge liner. Int. J. Impact Eng. 2017, 103, 38–49. [Google Scholar] [CrossRef]
- Zhang, Z.F.; Wang, L.K.; Silberschmidt, V.V.; Wang, S.P. SPH-FEM simulation of shaped-charge jet penetration into double hull: A comparison study for steel and SPS. Compos. Struct. 2016, 155, 135–144. [Google Scholar] [CrossRef]
- Cao, J.Z.; Liang, L.H. Demonstration of numerically simulating figures for underwater explosions. In Proceedings of the 24th International Congress on High-Speed Photography and Photonics, Sendai, Japan, 17 April 2001. [Google Scholar]
- Lee, M.; Longoria, R.G.; Wilson, D.E. Cavity dynamics in high-speed water entry. Phys. Fluids 1997, 9, 540–550. [Google Scholar] [CrossRef]
- Chen, T.; Huang, W.; Zhang, W.; Qi, Y.F.; Guo, Z.T. Experimental investigation on trajectory stability of high-speed water entry projectiles. Ocean Eng. 2019, 175, 16–24. [Google Scholar] [CrossRef]
- Li, Y.; Sun, T.Z.; Zong, Z.; Li, H.T.; Zhao, Y.G. Dynamic crushing of a dedicated buffer during the high-speed vertical water entry process. Ocean Eng. 2021, 236, 109526. [Google Scholar] [CrossRef]
- Zhang, G.Y.; You, C.; Wei, H.P.; Sun, T.Z.; Yang, B.Y. Experimental study on the effects of brash ice on the water-exit dynamics of an underwater vehicle. Appl. Ocean Res. 2021, 117, 102948. [Google Scholar] [CrossRef]
- Wang, Y.J.; Li, W.B.; Wang, X.M.; Li, W.B. Numerical Simulation and Experimental Study on Flight Characteristics and Penetration against Spaced Targets of EFP in Water. Chin. J. Energetic Mater. 2017, 25, 459–465. (In Chinese) [Google Scholar]
- Sun, Y.X.; Hu, H.L.; Zhang, Z.F. Simulation Study on Influential Factors of EFP Underwater Forming. Chin. J. High Press. Phys. 2020. (In Chinese) [Google Scholar] [CrossRef]
- Zhou, F.Y.; Jiang, T.; Wang, W.L.; Zhan, F.M.; Zhang, K.Y.; Huang, Z.X. Simulation Study on Tapered and Spherical Shaped Charge under Underwater Explosion. Appl. Mech. Mater. 2012, 157–158, 852–855. [Google Scholar] [CrossRef]
- Ahmed, M.; Malik, A.Q.; Rofi, S.A.; Huang, Z.X. Penetration Evaluation of Explosively Formed Projectiles Through Air and Water Using Insensitive Munition: Simulative and Experimental Studies. Eng. Technol. Appl. Sci. Res. 2016, 6, 913–916. [Google Scholar] [CrossRef]
- Liu, F. The Explosively Formed Penetrator and Its Engineering Damage Effects Research; University of Science and Technology of China: Hefei, China, 2006; (In Chinese). Available online: https://kns.cnki.net/KCMS/detail/detail.aspx?dbname=CDFD9908&filename=2007020858.nh (accessed on 23 September 2022).
- Li, Y.; Zhang, L.; Zhu, H.Q.; Zhang, W.; Zhao, P.D. Velocity Attenuation of Blast Fragments in Water Tank. Shipbuild. China 2016, 57, 127–137. (In Chinese) [Google Scholar]
- Yang, L.; Zhang, Q.M.; Shi, D.Y. Numerical Simulation for the Penetration of Explosively Formed Projectile into Water. J. Proj. Rocket. Missiles Guid. 2009, 29, 117–119. (In Chinese) [Google Scholar]
- Century Dynamics Inc. Interactive Non-Linear Dynamic Analysis Software AUTODYNTM User Manual; Century Dynamics Inc.: Houston, TX, USA, 2003. [Google Scholar]
- Zhang, X.W.; Duan, Z.P.; Zhang, Q.M. Experimental Study on the Jet Formation and Penetration of Conical Shaped Charges with Titanium Alloy Liner. Trans. Beijing Inst. Technol. 2014, 34, 1229–1233. (In Chinese) [Google Scholar]




















| A MPa | B MPa | N | C | M | Bulk Modulus/KPa | Reference Temperature/K | Specific Heat (J·kg−1K−1) |
|---|---|---|---|---|---|---|---|
| 90 | 292 | 0.31 | 0.025 | 1.09 | 300 | 383 |
| Type | A GPa | B GPa | |||||||
|---|---|---|---|---|---|---|---|---|---|
| TNT | 373.77 | 3.75 | 4.15 | 0.90 | 0.35 | 1630 | 6930 | 6.0 | 21.0 |
| COMPB | 524.23 | 7.68 | 4.20 | 1.10 | 0.34 | 1717 | 7980 | 8.5 | 29.5 |
| C4 | 609.77 | 12.95 | 4.50 | 1.40 | 0.25 | 1601 | 8193 | 9.00 | 28.0 |
| HMX | 778.28 | 7.07 | 4.20 | 1.00 | 0.30 | 1891 | 9110 | 10.5 | 42.0 |
| Cases | Media | Air Cavity Length |
|---|---|---|
| 1 | Air | - |
| 2 | Water without air cavity | - |
| 3 | Water with air cavity | Twice the charge radius |
| 4 | Water with air cavity | Three times the charge radius |
| 5 | Water with air cavity | Four times the charge radius |
| Results | Time1 (μs) | Time2 (μs) | Head Velocity (km/s) | Tail Velocity (km/s) | Length (mm) |
|---|---|---|---|---|---|
| Experiment [39] | 41.25 | 50.65 | 5.23 | 1.13 | 134.20 |
| Simulation | 40.00 | 50.00 | 4.71 | 1.09 | 145.00 |
| Error/% | −3.00% | −1.28% | −9.94% | −3.54% | 8.05% |
| Grid Size (mm) | Grid Numbers | Head X-Velocity (m/s) |
|---|---|---|
| 3.00 × 3.00 | 648 | 1204 |
| 2.00 × 2.00 | 1200 | 1362 |
| 1.00 × 1.00 | 4800 | 1568 |
| 0.40 × 0.40 | 30,000 | 1700 |
| 0.30 × 0.30 | 53,600 | 1713 |
| 0.20 × 0.20 | 120,000 | 1757 |
| 0.12 × 0.12 | 334,000 | 1784 |
| 0.10 × 0.10 | 480,000 | 1793 |
| Material | D (m/s) | Simulation Velocity (m/s) | Empirical Coefficient | Average Empirical Coefficient | ||
|---|---|---|---|---|---|---|
| TNT | 6930 | 1.630 | 8.960 | 1302.58 | 0.653 | 0.647 |
| COMP B | 7980 | 1.717 | 8.960 | 1569.55 | 0.669 | |
| C4 | 8193 | 1.601 | 8.960 | 1488.81 | 0.635 | |
| HMX | 9110 | 1.891 | 8.960 | 1763.94 | 0.634 |
| Material | D(m/s) | Simulation Velocity (m/s) | Empirical Coefficient | Average Empirical Coefficient | ||
|---|---|---|---|---|---|---|
| TNT | 6930 | 1.630 | 8.960 | 920.428 | 0.461 | 0.462 |
| C4 | 8193 | 1.601 | 8.960 | 1067.892 | 0.456 | |
| COMP B | 7980 | 1.717 | 8.960 | 1118.419 | 0.477 | |
| HMX | 9110 | 1.891 | 8.960 | 1270.936 | 0.457 |
| Material | Simulation Maximum Velocity (m/s) | Sharply Decrease to Velocity (m/s) | Attenuation Factor | Average Attenuation Factor |
|---|---|---|---|---|
| TNT | 920.428 | 524.312 | 0.570 | 0.588 |
| C4 | 1067.892 | 610.582 | 0.572 | |
| COMP B | 1118.419 | 649.375 | 0.581 | |
| HMX | 1270.936 | 800.947 | 0.630 |
| Point A | Point B | Point C | |
|---|---|---|---|
| Time (ms) | 0.218 | 0.350 | 0.450 |
| Numerical simulation (m/s) | 256.456 | 134.028 | 153.957 |
| Theoretical equation (m/s) | 222.448 | 155.046 | 126.015 |
| Velocity error | −34.008 | 21.018 | −27.941 |
| Percentage error | −13.260% | 15.682% | −18.149% |
| Point A | Point B | Point C | Point D | |
|---|---|---|---|---|
| Time () | 5 | 10 | 15 | 20 |
| Velocity (m/s) | 1638.864 | 1786.006 | 1729.389 | 1747.401 |
| Cases | 1 | 4 | 6 |
|---|---|---|---|
| Media | air | Water with air cavity | Water with infinite air cavity |
| Lengths of air cavity | - | Three times the charge radius | Infinite |
| Point G | Point H | Point I | |
|---|---|---|---|
| Time (ms) | 0.041 | 0.070 | 0.102 |
| Numerical simulation (m/s) | 1292.232 | 858.142 | 682.358 |
| Theoretical equation (m/s) | 1253.264 | 892.540 | 627.438 |
| Velocity error | −38.968 | 34.398 | −54.920 |
| Percentage error | −3.02% | 4.01% | −8.05% |
Publisher’s Note: MDPI stays neutral with regard to jurisdictional claims in published maps and institutional affiliations. |
© 2022 by the authors. Licensee MDPI, Basel, Switzerland. This article is an open access article distributed under the terms and conditions of the Creative Commons Attribution (CC BY) license (https://creativecommons.org/licenses/by/4.0/).
Share and Cite
Zhang, Z.; Li, H.; Wang, L.; Zhang, G.; Zong, Z. Formation of Shaped Charge Projectile in Air and Water. Materials 2022, 15, 7848. https://doi.org/10.3390/ma15217848
Zhang Z, Li H, Wang L, Zhang G, Zong Z. Formation of Shaped Charge Projectile in Air and Water. Materials. 2022; 15(21):7848. https://doi.org/10.3390/ma15217848
Chicago/Turabian StyleZhang, Zhifan, Hailong Li, Longkan Wang, Guiyong Zhang, and Zhi Zong. 2022. "Formation of Shaped Charge Projectile in Air and Water" Materials 15, no. 21: 7848. https://doi.org/10.3390/ma15217848
APA StyleZhang, Z., Li, H., Wang, L., Zhang, G., & Zong, Z. (2022). Formation of Shaped Charge Projectile in Air and Water. Materials, 15(21), 7848. https://doi.org/10.3390/ma15217848
