Analysis of Size-Dependent Linear Static Bending, Buckling, and Free Vibration Based on a Modified Couple Stress Theory
Abstract
:1. Introduction
2. Theories and Methods
2.1. Bending Problem
2.2. Buckling Problem
2.3. Free Vibration Problem
3. Numerical Simulation Results and Analysis
4. Conclusions
- (1)
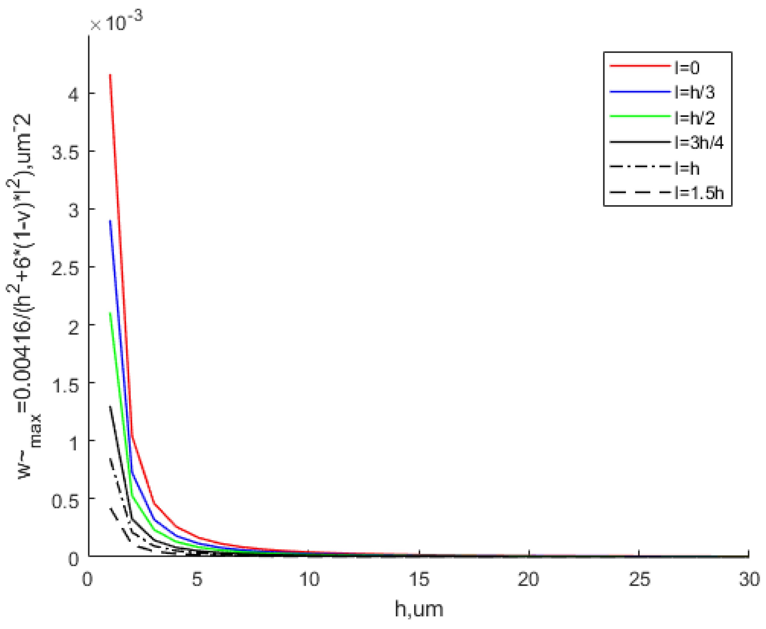
- The scale effect only makes a significant difference when the thickness is very small. Specifically, the difference is obvious when the thickness is less than 10 times the scale effect parameter. When the thickness is greater than 10 times the scale effect parameter, the MCST and CT theoretical results are close. The scale effect can be ignored in this situation. The scale effect parameter of the material is experimentally measurable and unique. Thus, the applicable scope of the scale effect under the modified couple stress theory is determined;
- (2)
- The scale effect changes the deflection and critical buckling loads by changing the EBS. However, it does not affect the buckling topography. The stiffness hardening of Cu thin plates is due to the scale effect. With the increase in scale effect parameter l, the value of the EBS increases, resulting in the decreases in the equivalent deflection and the increases in the equivalent critical buckling load;
- (3)
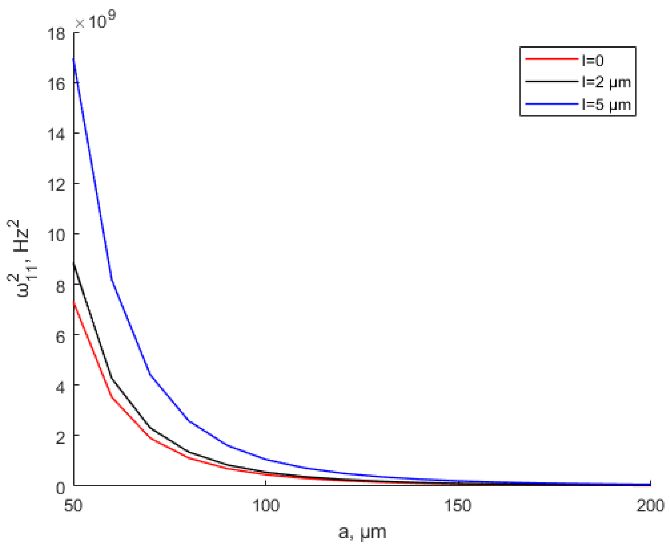
- For the scale effect of the free vibration response, with the increase in scale effect parameter l, the micro-scale thin-plate natural frequency increases. The natural frequency decreases as the length of the square micro-scale thin plate increases and finally stabilizes. The natural frequencies in this study are smaller than those in other nonlinear vibration analyses due to the neglect of higher-order terms.
Author Contributions
Funding
Institutional Review Board Statement
Informed Consent Statement
Data Availability Statement
Conflicts of Interest
References
- Wei, L.; Kuai, X.B.; Bao, Y.D.; Wei, J.T.; Yang, L.L.; Song, P.S.; Zhang, M.L.; Yang, F.H.; Wang, X.D. The Recent Progress of MEMS/NEMS Resonators. Micromachines 2021, 12, 724. [Google Scholar] [CrossRef]
- Stachiv, I.; Alarcon, E.; Lamac, M. Shape memory alloys and polymers for MEMS/NEMS applications: Review on recent findings and challenges in design, preparation, and characterization. Metals 2021, 11, 415. [Google Scholar] [CrossRef]
- Arshad, J.M.; Muhammad, S.; Saeed, A.; Shahid, K.M.A.; Khalid, N.; Niama, A.; Zahid, M. Synthesis, electrical and magnetic properties of polymer coated magnetic nanoparticles for application in MEMS/NEMS. Mater. Sci. 2020, 38, 553–558. [Google Scholar]
- Xu, L.; Wang, M.C.; Zhou, Y.; Qian, Z.F.; Liu, S. An optimal structural design to improve the reliability of Al2O3–DBC substrates under thermal cycling. Microelectron. Reliab. 2016, 56, 101–108. [Google Scholar] [CrossRef]
- Gui, X.L.; Luo, X.B.; Wang, X.P.; Liu, S. Computational fluid dynamic (CFD) investigation of thermal uniformity in a thermal cycling based calibration chamber for MEMS. Heat Mass Transf. 2015, 51, 1705–1715. [Google Scholar] [CrossRef]
- Chen, M.X.; Yi, X.J.; Gan, Z.Y.; Liu, S. Reliability of anodically bonded silicon–Glaass packages. Sens. Actuators A Phys. 2004, 120, 291–295. [Google Scholar] [CrossRef]
- Xu, L.; Liu, Y.; Liu, S. Modeling and simulation of power electronic modules with micro-channel coolers for thermo-mechanical performance. Microelectron. Reliab. 2014, 54, 2824–2835. [Google Scholar] [CrossRef]
- Lloyd, D.J. Particle reinforced aluminum and magnesium matrix composites. Int. Mater. Rev. 1994, 39, 1–23. [Google Scholar] [CrossRef]
- Fleck, N.A.; Muller, G.M.; Ashby, M.F.; Hutchinson, J.W. Strain gradient plasticity-theory and experiment. Acta Mater. 1994, 42, 475–487. [Google Scholar] [CrossRef]
- Stölken, J.S.; Evans, A.G. A microbend test method for measuring the plasticity length scale. Acta Mater. 1998, 46, 5109–5115. [Google Scholar] [CrossRef]
- Eringen, A.C. Nonlocal polar elastic continua. Int. J. Eng. Sci. 1972, 10, 1–16. [Google Scholar] [CrossRef]
- Eringen, A.C. On differential equations of nonlocal elasticity and solutions of screw dislocation and surface waves. J. Appl. Phys. 1983, 54, 4703–4710. [Google Scholar] [CrossRef]
- Mindlin, R.D. Micro-structure in linear elasticity. Arch. Ration. Mech. Anal. 1964, 16, 51–78. [Google Scholar] [CrossRef]
- Cosserat, E.; Cosserat, F. Theorie des Corps Deformables; Herman et Files: Paris, France, 1909. [Google Scholar]
- Gurtin, M.E.; Weissmuller, J.; Larche, F. A general theory of curved deformable interfaces in solids at equilibrium. Philos. Mag. A 1998, 78, 1093–1109. [Google Scholar] [CrossRef]
- Arshid, E.; Khorshidvand, A.R.; Khorsandijou, S.M. The effect of porosity on free vibration of SPFG circular plates resting on visco-Pasternak elastic foundation based on CPT, FSDT and TSDT. Struct. Eng. Mech. 2019, 70, 97–112. [Google Scholar]
- Arshid, E.; Amir, S.; Loghman, A. Static and dynamic analyses of FG-GNPs reinforced porous nanocomposite annular micro-plates based on MSGT. Int. J. Mech. Sci. 2020, 180, 105656. [Google Scholar] [CrossRef]
- Yan, Y.; Li, J.X.; Ma, X.F.; Wang, W.Q. Application and dynamical behavior of CNTs as fluidic nanosensors based on the nonlocal strain gradient theory. Sens. Actuators A Phys. 2021, 330, 112836. [Google Scholar] [CrossRef]
- Amir, S.; Bidgoli, E.M.R.; Arshid, E. Size-dependent vibration analysis of a three-layered porous rectangular nano plate with piezo-electromagnetic face sheets subjected to pre loads based on SSDT. Mech. Adv. Mater. Struct. 2020, 27, 605–619. [Google Scholar] [CrossRef]
- Phung-Van, P.; Ferreira, A.J.M.; Nguyen-Xuan, H.; Thai, C.H. A nonlocal strain gradient isogeometric nonlinear analysis of nanoporous metal foam plates. Eng. Anal. Bound. Elem. 2021, 130, 58–68. [Google Scholar] [CrossRef]
- Esen, I.; Abdelrhmaan, A.A.; Eltaher, M.A. Free vibration and buckling stability of FG nanobeams exposed to magnetic and thermal fields. Eng. Comput. 2021, 38, 3463–3482. [Google Scholar] [CrossRef]
- Cao, D.Q.; Tucker, R.W. Nonlinear dynamics of elastic rods using the Cosserat theory: Modelling and simulation. Int. J. Solids Struct. 2007, 45, 460–477. [Google Scholar] [CrossRef]
- Yang, F.A.C.M.; Chong, A.C.M.; Lam, D.C.C.; Tong, P. Couple stress based strain gradient theory for elasticity. Int. J. Solids Struct. 2002, 39, 2731–2743. [Google Scholar] [CrossRef]
- Arshid, E.; Amir, S. Size-dependent vibration analysis of fluid-infiltrated porous curved microbeams integrated with reinforced functionally graded graphene platelets face sheets considering thickness stretching effect. Proc. Inst. Mech. Eng. Part L Mater. Des. Appl. 2021, 235, 1077–1099. [Google Scholar] [CrossRef]
- Soleimani-Javid, Z.; Arshid, E.; Amir, S.; Bodaghi, M. On the higher-order thermal vibrations of FG saturated porous cylindrical micro-shells integrated with nanocomposite skins in viscoelastic medium. Def. Technol. 2022, 18, 1416–1434. [Google Scholar] [CrossRef]
- Arshid, E.; Amir, S.; Loghman, A. Thermal buckling analysis of FG graphene nanoplatelets reinforced porous nanocomposite MCST-based annular/circular microplates. Aerosp. Sci. Technol. 2021, 111, 106561. [Google Scholar] [CrossRef]
- Mousavi, S.B.; Amir, S.; Jafari, A.; Arshid, E. Analytical solution for analyzing initial curvature effect on vibrational behavior of PM beams integrated with FGP layers based on trigonometric theories. Adv. Nano Res. 2021, 10, 235–251. [Google Scholar]
- Arshid, E.; Arshid, H.; Amir, S.; Mousavi, S.B. Free vibration and buckling analyses of FG porous sandwich curved microbeams in thermal environment under magnetic field based on modified couple stress theory. Arch. Civ. Mech. Eng. 2021, 21, 6. [Google Scholar] [CrossRef]
- Chen, W.J.; Li, L.; Xu, M. A modified couple stress model for bending analysis of composite laminated beams with first order shear deformation. Compos. Struct. 2011, 93, 2723–2732. [Google Scholar] [CrossRef]
- Li, Y.S.; Xiao, T. Free vibration of the one-dimensional piezoelectric quasicrystal microbeams based on modified couple stress theory. Appl. Math. Model. 2021, 96, 733–750. [Google Scholar] [CrossRef]
- Zhang, D.Q.; Qi, Q.; Liang, H.H. Stability analysis of Mindlin laminates considering the combined action of damp and heat loads on a meso scale. J. Shenyang Univ. Aeronaut. Astronaut. 2021, 38, 1–9. [Google Scholar]
- Ma, B.; Liu, S.; Gan, Z.Y.; Liu, G.J.; Cai, X.X.; Zhang, H.H.; Yang, Z.G. A PZT insulin pump integrated with a silicon microneedle array for transdermal drug delivery. Microfluid. Nanofluidics 2006, 2, 417–423. [Google Scholar] [CrossRef]
- Ma, B. Silicon need array on flexible substrate for fluid transfer. Chin. J. Mech. Eng. 2006, 19, 387. [Google Scholar] [CrossRef]
- Eltaher, M.A.; Abdelrahman, A.A.; Esen, I. Dynamic analysis of nanoscale Timoshenko CNTs based on doublet mechanics under moving load. Eur. Phys. J. Plus 2021, 136, 705. [Google Scholar] [CrossRef]
- Li, Z.K.; He, Y.M.; Lei, J.; Guo, S.; Liu, D.B.; Wang, L. A standard experimental method for determining the material length scale based on modified couple stress theory. Int. J. Mech. Sci. 2018, 141, 198–205. [Google Scholar] [CrossRef]
- Zhang, L.; Liang, B.B.; Zhou, S.J.; Wang, B.L.; Xue, Y.G. An application of a size-dependent model on microplate with elastic medium based on strain gradient elasticity theory. Meccanica 2017, 52, 251–262. [Google Scholar] [CrossRef]
- Jamalpoor, A.; Ahmadi-Savadkoohi, A.; Hosseini-Hashemi, S. Free vibration and biaxial buckling analysis of magneto-electro-elastic microplate resting on visco-Pasternak substrate via modified strain gradient theory. Smart Mater. Struct. 2016, 25, 105035. [Google Scholar] [CrossRef]
- Amir, S.; Arshid, E.; Rasti-Alhosseini, S.A.; Loghman, A. Quasi-3D tangential shear deformation theory for size-dependent free vibration analysis of three-layered FG porous micro rectangular plate integrated by nano-composite faces in hygrothermal environment. J. Therm. Stress. 2020, 43, 133–156. [Google Scholar] [CrossRef]
- Soleimani-Javid, Z.; Arshid, E.; Khorasani, M.; Amir, S.; Tounsi, A. Size-dependent flexoelectricity-based vibration characteristics of honeycomb sandwich plates with various boundary conditions. Adv. Nano Res 2021, 10, 449–460. [Google Scholar]
- Tang, F.X.; Dong, F.; Guo, Y.Z.; Shi, S.N.; Jiang, J.Z.; Liu, S. Size-Dependent Buckling and Post-Buckling Analysis of the Functionally Graded Thin Plate Al–Cu Material Based on a Modified Couple Stress Theory. Nanomaterials 2022, 12, 3502. [Google Scholar] [CrossRef]
- Timoshenko, S.P.; Woinowsky-krieger, S. Theory of Plates and Shells; McGraw-Hill: New York, NY, USA, 1959. [Google Scholar]
- Timoshenko, S.P. Theory of Elastic Stability; McGraw-Hill: New York, NY, USA, 1936. [Google Scholar]
- Timoshenko, S.P.; Gere, J.M.; Prager, W. Theory of Elastic Stability, Second Edition. J. Appl. Mech. 1962, 29, 220. [Google Scholar] [CrossRef]
- Brush, D.O.; Almroth, B.O. Buckling of Bars, Plates and Shells; McGraw-Hill: New York, NY, USA, 1975. [Google Scholar]
- Amir, S.; Arshid, E.; Khoddami Maraghi, Z.; Loghman, A.; Ghorbanpour Arani, A. Vibration analysis of magnetorheological fluid circular sandwich plates with magnetostrictive facesheets exposed to monotonic magnetic field located on visco-Pasternak substrate. J. Vib. Control. 2020, 26, 1523–1537. [Google Scholar] [CrossRef]
- Arshid, E.; Soleimani-Javid, Z.; Amir, S.; Duc, N.D. Higher-order hygro-magneto-electro-thermomechanical analysis of FG-GNPs-reinforced composite cylindrical shells embedded in PEM layers. Aerosp. Sci. Technol. 2022, 126, 107573. [Google Scholar] [CrossRef]
- Arshid, E.; Khorshidvand, A.R. Free vibration analysis of saturated porous FG circular plates integrated with piezoelectric actuators via differential quadrature method. Thin-Walled Struct. 2018, 125, 220–233. [Google Scholar] [CrossRef]
- Arshid, E.; Kiani, A.; Amir, S. Magneto-electro-elastic vibration of moderately thick FG annular plates subjected to multi physical loads in thermal environment using GDQ method by considering neutral surface. Proc. Inst. Mech. Eng. Part L Des. Appl. 2019, 233, 2140–2159. [Google Scholar] [CrossRef]
- Namvar, M.; Rezaei, E.; Hosseini, S.A.; Ghadiri, M. Experimental and analytical investigations of vibrational behavior of U-shaped atomic force microscope probe considering thermal loading and the modified couple stress theory. Eur. Phys. J. Plus 2017, 132, 247. [Google Scholar] [CrossRef]
- Romanoff, J.; Reddy, J.N. Experimental validation of the modified couple stress Timoshenko beam theory for web-core sandwich panels. Compos. Struct. 2014, 111, 130–137. [Google Scholar] [CrossRef]
- Zhang, B.; He, Y.M.; Liu, D.B.; Gan, Z.P.; Shen, L. Non-classical Timoshenko beam element based on the strain gradient elasticity theory. Finite Elem. Anal. Des. 2014, 79, 22–39. [Google Scholar] [CrossRef]
- Thai, H.-T.; Choi, D.-H. Size-dependent functionally graded Kirchhoff and Mindlin plate models based on a modified couple stress theory. Compos. Struct. 2013, 95, 142–153. [Google Scholar] [CrossRef]
- Ke, L.L.; Wang, Y.S.; Yang, J.; Kitipornchai, S. Free vibration of size-dependent Mindlin microplates based on the modified couple stress theory. J. Sound Vib. 2011, 331, 94–106. [Google Scholar] [CrossRef]













| Material | E | υ | ρ | l |
|---|---|---|---|---|
| Epoxy [53] | 1.44 GPa | 0.38 | 1220 kg/m3 | 17.6 μm |
Publisher’s Note: MDPI stays neutral with regard to jurisdictional claims in published maps and institutional affiliations. |
© 2022 by the authors. Licensee MDPI, Basel, Switzerland. This article is an open access article distributed under the terms and conditions of the Creative Commons Attribution (CC BY) license (https://creativecommons.org/licenses/by/4.0/).
Share and Cite
Tang, F.; He, S.; Shi, S.; Xue, S.; Dong, F.; Liu, S. Analysis of Size-Dependent Linear Static Bending, Buckling, and Free Vibration Based on a Modified Couple Stress Theory. Materials 2022, 15, 7583. https://doi.org/10.3390/ma15217583
Tang F, He S, Shi S, Xue S, Dong F, Liu S. Analysis of Size-Dependent Linear Static Bending, Buckling, and Free Vibration Based on a Modified Couple Stress Theory. Materials. 2022; 15(21):7583. https://doi.org/10.3390/ma15217583
Chicago/Turabian StyleTang, Feixiang, Siyu He, Shaonan Shi, Shun Xue, Fang Dong, and Sheng Liu. 2022. "Analysis of Size-Dependent Linear Static Bending, Buckling, and Free Vibration Based on a Modified Couple Stress Theory" Materials 15, no. 21: 7583. https://doi.org/10.3390/ma15217583
APA StyleTang, F., He, S., Shi, S., Xue, S., Dong, F., & Liu, S. (2022). Analysis of Size-Dependent Linear Static Bending, Buckling, and Free Vibration Based on a Modified Couple Stress Theory. Materials, 15(21), 7583. https://doi.org/10.3390/ma15217583

