Structural Response of High-Strength Wire-Reinforced UHPC Slabs Subjected to Bending
Abstract
1. Introduction
2. Experimental Program
2.1. Design and Description of Specimens
2.2. Material Properties
2.3. Property Tests of Concrete
2.4. Experimental Set-Up and Methodology
3. Experimental Results and Discussion
3.1. Crack and Failure Modes
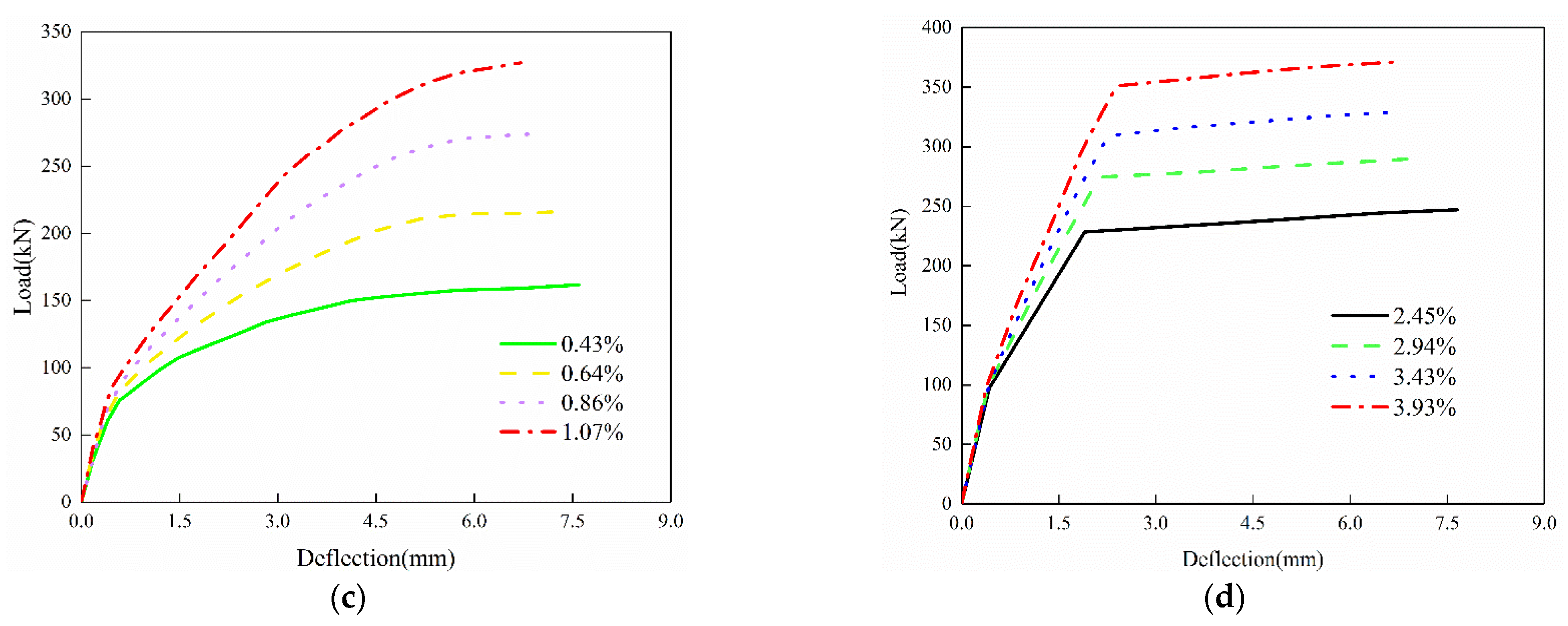
3.2. Load-Deflection Responses
3.3. Strain Responses of Concrete
4. Flexural and Ductility Calculation
4.1. Basic Assumption
- (1)
- Considering the smaller strain in compressive zone and scarce cracks were observed on the top of the UHPC slabs, steel rebars arranged in the upper layer of the cross section do not yield when the ultimate load is reached, while rebars in tension zone yielded.
- (2)
- Bond slip between UHPC material and steel bar is ignored, and the assumption regarding the flat section is applied to all test slabs.
- (3)
- The constitutive relationship of the HRB400 steel bars adopts the ideal elastic-plastic constitutive relationship, and the resulting expression is described by Equation (3).where is the yield strength of the reinforcement, and is the stress of steel rebar. is corresponding strain of reinforcement. and are the yield strain and ultimate strain of reinforcement, respectively.
- (4)
- The Lomberg model is used for the constitutive model of the high strength steel wire in this paper, can also be performed here as Equation (4).where is the conditional yield strength, once the plastic strain of the high strength steel wire reaches 0.2%. and are the elastic strain limit and ultimate tensile strain of high-strength steel wire, respectively.The stress–strain relationship curve of HRB400 and high strength wire adopted in this test are plotted in Figure 10.
- (5)
- The stress–strain curve of UHPC under compression adopts the relationship suggested by Xu et al. [41], for which the ascending section is simplified through the double broken line and the descending section is fitted by an oblique line suggested by Luo et al. [42], as shown in Equation (5).where is the compressive stress corresponding to UHPC compressive strain . is the elastic modulus of UHPC, and is the axial compressive strength of UHPC. is the elastic limit of UHPC. is the peak strain of UHPC suggested by the previous literature [43]. is the ultimate compressive strain of UHPC, as suggested by the literature [44], where . and are fitting coefficients related to the content of steel fiber, and the value of β1 and β2 are taken as −0.392 and 1.392, respectively, as suggested by the literature [42].
- (6)
- According to the conclusion of Hu et al. [45], the ascending section of UHPC tensile stress–strain curve can be regarded as an ideal elastic-plastic constitutive relationship, while the descending section adopts the formula obtained by Zhang et al. [46].where is the corresponding tensile stress of UHPC, is the tensile strain of UHPC when the tensile stress is reached. is the peak tensile strain of UHPC, the empirical formula is given by Guo et al. [43], i.e., . is the characteristic length, as the rectangular section can be replaced as , and h is the section height. is the test fitting parameter, and is the crack width when stress drops to , the value of which is obtained by applying the test results, and , respectively.
4.2. Cracking Moment Capacity
4.3. Ultimate Moment Capacity
4.4. Ductility Coefficient
4.5. Validation
5. Parametric Analysis
6. Conclusions and recommendation
- (1)
- The cracking and failure modes indicate that reinforced UHPC specimens exhibit great cracking resistance ability. The cracking development process was more sufficient in NRRU specimens due to the higher reinforcement ratio.
- (2)
- The bending process mainly consisted of elasticity, hardening and damage stages, and HSWRU specimens are longer in the elastic stage and smaller in stiffness change compared to NRRU specimens; thus, the load-deflection curve presents as smoother. The excellent mechanical properties of UHPC are better used for co-operating with high strength wire.
- (3)
- The theoretical results on cracking and the ultimate capacity of UHPC slabs match well with the relevant experimental results, which are around 10% smaller than test values, indicating that they can be applied for the flexural capacity prediction of reinforced UHPC slabs with safety reservations. Tests performed on more specimens of a larger scale suggest the further verification of the applicability of the proposed formulas.
- (4)
- Good agreement between theoretical and test results substantiates the precision of the issued simplified model for ductility calculation. Moreover, it was to be found too conservative to evaluate the ductility performance of UHPC components in the conventional deformation ductility coefficient, especially for HSWRU specimens.
- (5)
- Enhancement in section height is beneficial for both flexural capacity and ductility, especially for NRRU specimens. The reinforcement ratio and strength of the steel rebar are considerable for the improvement of the ultimate capacity, but indistinctive regarding the cracking load enhancement. Moreover, those two factors weaken the ductility and ultimate deflection of HSWRU specimens; thereby, the reasonable reinforcement ratio should be addressed during the design process of this type of specimen.
Author Contributions
Funding
Institutional Review Board Statement
Informed Consent Statement
Data Availability Statement
Conflicts of Interest
References
- Hakeem, I.Y.; Rahman, M.K.; Althoey, F. Experimental Investigation of Hybrid Beams Utilizing Ultra-High Performance Concrete (UHPC) as Tension Reinforcement. Materials 2022, 15, 5619. [Google Scholar] [CrossRef] [PubMed]
- Paredes, J.A.; Galvez, J.C.; Enfedaque, A.; Alberti, M.G. Matrix Optimization of Ultra High Performance Concrete for Improving Strength and Durability. Materials 2021, 14, 6944. [Google Scholar] [CrossRef]
- Ferdosian, I.; Camoes, A. Mechanical performance and post-cracking behavior of self-compacting steel-fiber reinforced eco-efficient ultra-high performance concrete. Cem. Concr. Compos. 2021, 121, 104050. [Google Scholar] [CrossRef]
- Dai, J.; Huang, B.; Shah, S. Recent advances in strain-hardening UHPC with synthetic fibers. J. Compos. Sci. 2021, 5, 283. [Google Scholar] [CrossRef]
- Du, J.; Meng, W.; Khayat, K.H.; Bao, Y.; Guo, W.; Lyu, Z.; Abu-obeidah, A.; Nassif, H.; Wang, H. New development of ultra-high-performance concrete (UHPC). Compos. Part. B-Eng. 2021, 224, 109220. [Google Scholar] [CrossRef]
- Liao, J.; Yang, K.; Zeng, J.; Quach, W.; Ye, Y.; Zhang, L. Compressive behavior of FRP-confined ultra-high performance concrete (UHPC) in circular columns. Eng. Struct. 2021, 249, 113246. [Google Scholar] [CrossRef]
- Bajaber, M.A.; Hakeem, I.Y. UHPC evolution, development, and utilization in construction: A review. J. Mater. Res. Technol. 2021, 10, 1058–1074. [Google Scholar] [CrossRef]
- Shi, G.; Ban, H.; Shi, Y.; Wang, Y. Overview of research progress for high strength steel structures. Eng. Mech. 2013, 30, 1–13. [Google Scholar] [CrossRef]
- Sun, B.; Wang, D.; Lu, X.; Wan, D.; Ponge, D.; Zhang, X. Current challenges and opportunities toward understanding hydrogen embrittlement mechanisms in advanced high-strength steels: A review. Acta. Metall. Sin-Engl. 2021, 34, 741–754. [Google Scholar] [CrossRef]
- Ban, H.; Shi, G. A review of research on high-strength steel structures. Proc. Inst. Civ. Eng. -Struct. Build. 2018, 171, 625–641. [Google Scholar] [CrossRef]
- Ban, H.; Shi, G.; Shi, Y.; Wang, Y. Overall buckling behavior of 460 MPa high strength steel columns: Experimental investigation and design method. J. Constr. Steel. Res. 2012, 74, 140–150. [Google Scholar] [CrossRef]
- Ban, H.; Shi, G.; Shi, Y.; Wang, Y. Column buckling test of 420 MPa high strength steel single equal angles. Int. J. Struct. Stab. Dy. 2013, 13, 1250069. [Google Scholar] [CrossRef]
- Ban, H.; Shi, G.; Shi, Y.; Wang, Y. Residual stress tests of high-strength steel equal angles. J. Struct. Eng.-ASCE 2012, 138, 1446–1454. [Google Scholar] [CrossRef]
- Chiew, S.; Zhao, M.; Lee, C. Fatigue performance of high strength steel built-up box T-joints. J. Constr. Steel. Res. 2015, 106, 296–310. [Google Scholar] [CrossRef]
- Girão Coelho, A.M.; Bijlaard, F.S.K. Experimental behavior of high strength steel end-plate connection. J. Constr. Steel. Res. 2007, 63, 1228–1240. [Google Scholar] [CrossRef]
- Su, J.; Li, Z.; Wang, J.; Dhakal, R.P. Numerical simulation and damage analysis of RC bridge piers reinforced with varying yield strength steel reinforcement. Soil. Dyn. Earthq. Eng. 2020, 130, 106007. [Google Scholar] [CrossRef]
- Yin, H.; Teo, W.; Shirai, K. Experimental investigation on the behavior of reinforced concrete slabs strengthened with ultra-high performance concrete. Constr. Build. Mater. 2017, 155, 463–474. [Google Scholar] [CrossRef]
- Zhang, Y.; Cai, S.; Zhu, Y.; Fan, L.; Shao, X. Flexural responses of steel-UHPC composite beams under hogging moment. Eng. Struct. 2020, 206, 110134. [Google Scholar] [CrossRef]
- Qi, J.; Cheng, Z.; Wang, J.; Tang, Y. Flexural behavior of steel-UHPFRC composite beams under negative moment. Structures 2020, 24, 640–649. [Google Scholar] [CrossRef]
- Shafieifar, M.; Farzad, M.; Azizinamini, A. A comparison of existing analytical methods to predict the flexural capacity of Ultra High Performance Concrete (UHPC) beams. Constr. Build. Mater. 2018, 172, 10–18. [Google Scholar] [CrossRef]
- Xu, M.; Liang, X.; Wang, P.; Wang, Z. Theoretical investigation on normal section flexural capacity of UHPC beams. Eng. Mech. 2019, 36, 70–78. [Google Scholar] [CrossRef]
- Xu, M.; Liang, X.; Yu, J.; Li, L. Theoretical and experimental investigation on immediate stiffness of UHPC beams. Eng. Mech. 2019, 36, 146–154. [Google Scholar] [CrossRef]
- Dogu, M.; Menkulasi, F. A flexural design methodology for UHPC beams posttensioned with unbonded tendons. Eng. Struct. 2020, 207, 110193. [Google Scholar] [CrossRef]
- Zhang, Y.; Zhu, Y.; Yeseta, M.; Meng, D.; Shao, X.; Dang, Q.; Chen, G. Flexural behaviors and capacity prediction on damaged reinforcement concrete (RC) bridge deck strengthened by ultra-high performance concrete (UHPC) layer. Constr. Build. Mater. 2019, 215, 347–359. [Google Scholar] [CrossRef]
- Yan, P.; Chen, B.; Afgan, S.; Aminul Haque, M.; Wu, M.; Han, J. Experimental research on ductility enhancement of ultra-high performance concrete incorporation with basalt fiber, polypropylene fiber and glass fiber. Constr. Build. Mater. 2021, 279, 122489. [Google Scholar] [CrossRef]
- Yang, I.; Park, J.; Bui, T.; Kim, K.; Joh, C.; Lee, H. An experimental study on the ductility and flexural toughness of ultrahigh-performance concrete beams subjected to bending. Materials 2020, 13, 2225. [Google Scholar] [CrossRef]
- Khaksefidi, S.; Ghalehnovi, M.; De Brito, J. Bond behavior of high-strength steel rebars in normal (NSC) and ultra-high performance concrete (UHPC). Constr. Build. Mater. 2021, 33, 101592. [Google Scholar] [CrossRef]
- Tong, L.; Chen, L.; Wen, M.; Xu, C. Static behavior of stud shear connectors in high-strength-steel–UHPC composite beams. Eng. Struct. 2020, 218, 110827. [Google Scholar] [CrossRef]
- Saleem, M.A.; Mirmiran, A.; Xia, J.; Mackie, K. Ultra-High-Performance Concrete Bridge Deck Reinforced with High-Strength Steel. Aci. Struct. J. 2011, 105, 601–609. [Google Scholar]
- Xia, J.; Mackie, K.R.; Saleem, M.A.; Mirmiran, A. Shear failure analysis on ultra-high performance concrete beams reinforced with high strength steel. Eng. Struct. 2011, 33, 3597–3609. [Google Scholar] [CrossRef]
- Ghasemi, S.; Zohrevand, P.; Mirmiran, A.; Xiao, Y.; Mackie, K. A super lightweight UHPC–HSS deck panel for movable bridges. Eng. Struct. 2016, 113, 186–193. [Google Scholar] [CrossRef]
- Zhang, J.; Liu, J.; Li, X.; Cao, W. Seismic behavior of steel fiber-reinforced high-strength concrete mid-rise shear walls with high-strength steel rebar. J. Build. Eng. 2021, 42, 102462. [Google Scholar] [CrossRef]
- Perceka, W.; Liao, W. Experimental study of shear behavior of high strength steel fiber reinforced concrete columns. Eng. Struct. 2021, 240, 112329. [Google Scholar] [CrossRef]
- He, S.; Deng, Z.; Yao, J. Seismic behavior of ultra-high performance concrete long columns reinforced with high-strength steel. J. Build. Eng. 2020, 32, 101740. [Google Scholar] [CrossRef]
- Sharifa, A.M.; Assi, N.; Al-Osta, M. Use of UHPC slab for continuous composite steel-concrete girders. Steel. Compos. Struct. 2020, 34, 321–332. [Google Scholar] [CrossRef]
- GB/T31387-2015; Reactive Powder Concrete. Standards Press of China: Beijing, China, 2015.
- NF P18-470; Concrete—Ultra-High Performance Fiber-Reinforced Concrete—Specifications, Performance, Production and Conformity. Association Française de Normalization: Paris, France, 2016.
- Wang, W.; Zhao, G.; Li, G.; Weng, C. Experimental study on Flexural behavior of reinforced concrete beam reinforced with glass fiber Cloth. J. Dalian. Univ. Technol. 2003, 06, 799–805. [Google Scholar] [CrossRef]
- Djamaluddin, R. Flexural behaviour of external reinforced concrete beams. Procedia. Eng. 2013, 54, 252–260. [Google Scholar] [CrossRef]
- Sun, Q.; Liu, C. Experimental study and calculation method on the flexural resistance of reinforced concrete beam strengthened using high strain-hardening ultra high performance concrete. Struct. Concrete. 2021, 22, 1741–1759. [Google Scholar] [CrossRef]
- Xu, H. Study on the Mechanical Behavior of HRB500 Reinforced Prestressed Ultra-high performance Concrete Beam; Beijing University of Technology: Beijing, China, 2015. (In Chinese) [Google Scholar]
- Luo, M.; Lin, P.; Yang, Z. Study of Mechanical Properties and Constitutive Relations of UHPC under Uniaxial Compressive Loading. Bridge Constr. 2020, 50, 62–67. [Google Scholar] [CrossRef]
- Guo, X.; Kang, J.; Zhu, J. Constitutive relationship of ultrahigh performance concrete under uni-axial compression. J. Southeast. Univ. 2017, 47, 369–376. [Google Scholar] [CrossRef]
- Yang, J.; Fang, Z. Research on stress-strain relation of ultra high performance concrete. Concrete 2008, 7, 11–15. (In Chinese) [Google Scholar]
- Hu, A.; Liang, X.; Yu, J.; Shi, Q. Tensile characteristics of ultra-high-performance concrete. Mag. Concrete. Res. 2018, 70, 314–324. [Google Scholar] [CrossRef]
- Zhang, Z.; Shao, X.; Li, W.; Zhu, P.; Chen, H. Axial Tensile Behavior Test of Ultra High Performance Concrete. China J. Highw. Tranp. 2015, 28, 50–58. [Google Scholar] [CrossRef]
- Meng, W.; Khayat, K.H. Effect of hybrid fibers on fresh properties, mechanical properties, and autogenous shrinkage of cost-effective UHPC. J. Mater. Civ. Eng 2018, 30, 1–8. [Google Scholar] [CrossRef]
- Feng, P.; Qiang, H.; Ye, L. Discussion and definition on yield points of materials, Members and Structures. Eng. Mech. 2017, 34, 36–46. [Google Scholar] [CrossRef]





















| Specimen | B (mm) | H (mm) | Longitudinal Reinforcement | Reinforcement Number | fy (MPa) | ρ (%) | |
|---|---|---|---|---|---|---|---|
| Top | Bottom | ||||||
| B1 | 320 | 100 | HSW | HSW | 7 × 2 | 1270 | 0.86 |
| B2 | 320 | 100 | HRB400 | HRB400 | 3 × 2 | 400 | 5.89 |
| B3 | 320 | 120 | HSW | HSW | 7 × 2 | 1270 | 0.72 |
| B4 | 320 | 120 | HRB400 | HRB400 | 3 × 2 | 400 | 4.91 |
| Component | Cement | Silica Fume | Quartz Sand | Quartz Powder | Slag Powder | Water | Fly ash | Water Reducer |
|---|---|---|---|---|---|---|---|---|
| Mass ratio | 1.0 | 0.2 | 1.1 | 0.1 | 0.15 | 0.22 | 0.1 | 0.02 |
| Tensile Strength (MPa) | Length l (mm) | Diameter D (mm) | l/d | Modulus of Elasticity (GPa) | |
|---|---|---|---|---|---|
| Steel fiber | >2000 MPa | 10 | 0.2 | 50 | 210 |
| Materials | Diameter d(mm) | Yield Strength fy (MPa) | Ultimate Strength fsu (MPa) | Modulus of Elasticity Es (GPa) |
|---|---|---|---|---|
| HBR400 | 20 | 452 | 590 | 201 |
| High strength wire | 5 | 1121 | 1316 | 205 |
| Marks | fc (MPa) | Mean | E (GPa) | Mean | S | ffl (MPa) | Mean | ft (MPa) | Mean |
|---|---|---|---|---|---|---|---|---|---|
| T1 | 123.9 | 47.08 | 15.16 | 7.82 | |||||
| T2 | 130.8 | 128.1 | 47.46 | 46.91 | 0.46 | 14.59 | 15.32 | 7.44 | 7.51 |
| T3 | 129.9 | 46.18 | 16.23 | 7.27 |
| Specimen | Pcr (kN) | δcr (mm) | P0.1 (kN) | δ0.1 (mm) | P0.2 (kN) | δ0.2 (mm) | Pu (kN) | δu (mm) |
|---|---|---|---|---|---|---|---|---|
| B1 | 88.61 | 0.80 | 109.43 | 1.35 | 125.35 | 2.48 | 158.34 | 8.53 |
| B2 | 102.45 | 0.46 | 184.28 | 1.11 | 213.62 | 1.51 | 293.68 | 9.46 |
| B3 | 120.94 | 0.74 | 135.23 | 1.39 | 153.72 | 2.45 | 180.46 | 8.08 |
| B4 | 150.74 | 0.51 | 203.56 | 1.45 | 244.73 | 1.88 | 322.49 | 9.27 |
| Specimen | λ | Mean | k | Mean | ||||||
|---|---|---|---|---|---|---|---|---|---|---|
| B1 | 0.48 | 8.86 | 8.22 | 1.08 | 1.08 | 0.30 | 15.83 | 14.35 | 1.05 | 1.06 |
| B2 | 0.41 | 10.24 | 9.78 | 1.07 | 0.25 | 29.37 | 28.14 | 1.04 | ||
| B3 | 0.44 | 12.09 | 10.88 | 1.09 | 0.28 | 17.32 | 16.07 | 1.08 | ||
| B4 | 0.43 | 15.07 | 14.39 | 1.05 | 0.27 | 32.25 | 30.44 | 1.06 |
| Specimen | Δy | Δu | μΔ | μE | μES | Dp (%) | Mean | μE/μES | Mean | Var |
|---|---|---|---|---|---|---|---|---|---|---|
| B1 | 1.64 | 8.53 | 5.20 | 6.95 | 6.76 | 33.65 | 27.95% | 1.03 | 1.02 | 0.0011 |
| B2 | 2.36 | 9.46 | 4.01 | 4.82 | 4.92 | 20.20 | 0.98 | |||
| B3 | 1.41 | 7.86 | 5.57 | 7.49 | 7.02 | 34.47 | 1.07 | |||
| B4 | 2.13 | 9.44 | 4.43 | 5.47 | 5.77 | 23.47 | 1.01 |
Publisher’s Note: MDPI stays neutral with regard to jurisdictional claims in published maps and institutional affiliations. |
© 2022 by the authors. Licensee MDPI, Basel, Switzerland. This article is an open access article distributed under the terms and conditions of the Creative Commons Attribution (CC BY) license (https://creativecommons.org/licenses/by/4.0/).
Share and Cite
Luo, W.; Luo, X.; Wei, J.; Sun, D. Structural Response of High-Strength Wire-Reinforced UHPC Slabs Subjected to Bending. Materials 2022, 15, 7550. https://doi.org/10.3390/ma15217550
Luo W, Luo X, Wei J, Sun D. Structural Response of High-Strength Wire-Reinforced UHPC Slabs Subjected to Bending. Materials. 2022; 15(21):7550. https://doi.org/10.3390/ma15217550
Chicago/Turabian StyleLuo, Wangcheng, Xiaoyong Luo, Jun Wei, and Dinghao Sun. 2022. "Structural Response of High-Strength Wire-Reinforced UHPC Slabs Subjected to Bending" Materials 15, no. 21: 7550. https://doi.org/10.3390/ma15217550
APA StyleLuo, W., Luo, X., Wei, J., & Sun, D. (2022). Structural Response of High-Strength Wire-Reinforced UHPC Slabs Subjected to Bending. Materials, 15(21), 7550. https://doi.org/10.3390/ma15217550

