Study of the Magnetized Hybrid Nanofluid Flow through a Flat Elastic Surface with Applications in Solar Energy
Abstract
1. Introduction
- ▪
- Nanofluids have remarkable optical characteristics, demonstrating a strong absorption and la ow remittance in both the solar and infrared spectra.
- ▪
- Nanofluids have a greater stability rate and an excellent absorption medium across a broad range of temperatures.
- ▪
- Because of their larger surface area and compact structure, nanoparticles have a considerable influence on the absorption and heat capacity of nanofluids for solar energy systems.
- ▪
- The inclusion of nanofluids in thermal devices minimizes the area of heat transmission, leading to the cost effectiveness of solar energy systems.
- ▪
- In comparison to base fluids, nanofluids substantially optimize the heat conductivity.
- ▪
- The nanoparticles suspended in the host fluids, assist in preventing sedimentation, impediment, and pump and pipe fouling. The nanofluids are an excellent choice for solar energy applications because of this attribute.
- ▪
- The energy efficiency of thermal systems can be improved with nanofluids, which have a greater density and an improved heat transfer coefficient, due to the lower specific heat of the nanoparticles.
2. Mathematical Formulation
Boundary Conditions with the Slip Effects
3. Similarity Analysis
4. Finite Difference and the Keller–Box Methods
- i.
- Convert the obtained differential equations to the first order differential equations.
- ii.
- Using the finite difference approach, transform the reduced differential equation.
- iii.
- Using Newton’s approach, convert the resultant nonlinear algebraic equations to the linearized algebraic equations.
- iv.
- Utilize the block tri-diagonal elimination strategy to solve the formulated equations.
4.1. Finite Difference Approach
4.2. Newton’s Method
4.3. Block Elimination Method
5. Physical Quantities
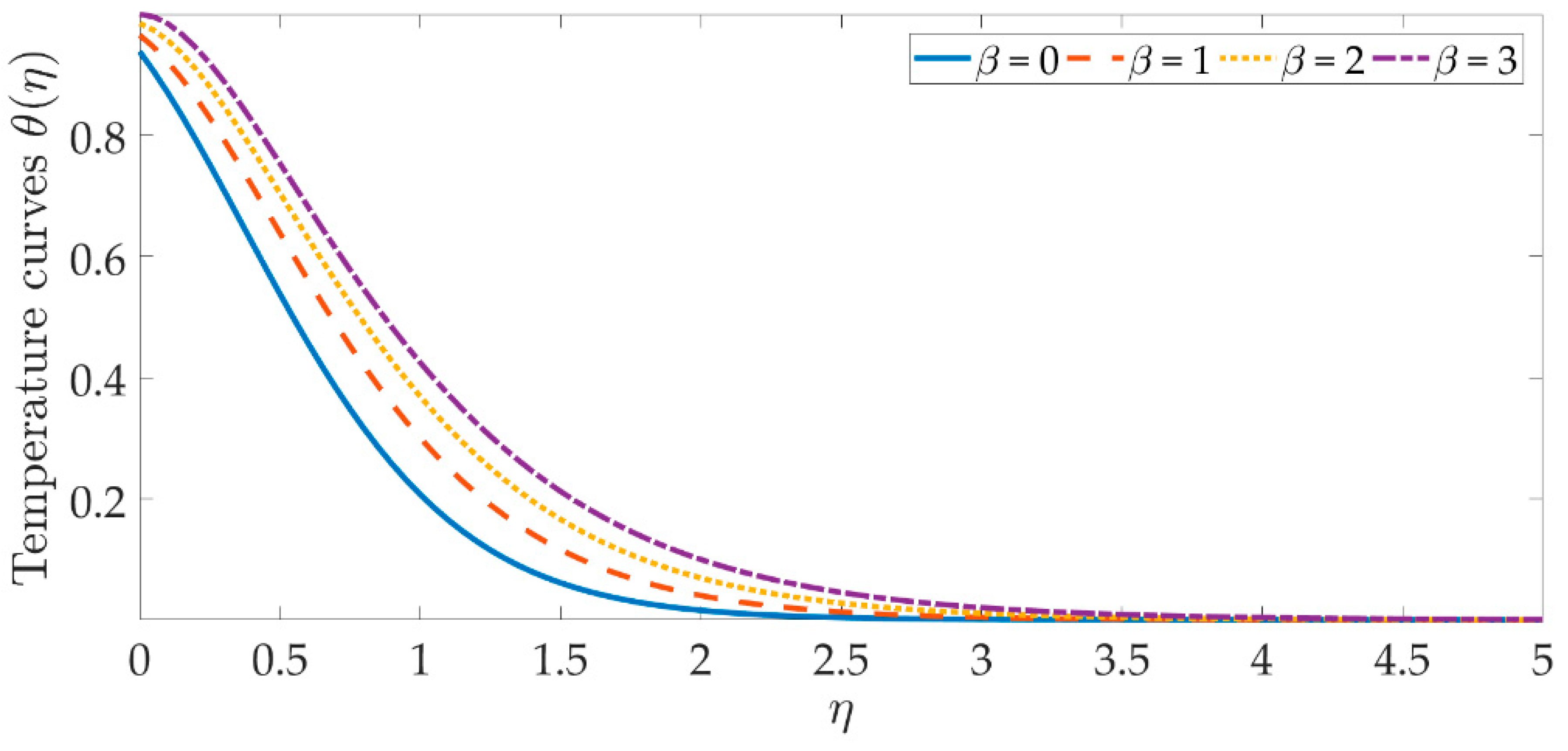
6. Discussion of the Graphical and Numerical Results
6.1. Velocity Curves
6.2. Temperature Profile
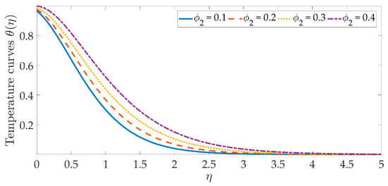
6.3. Concentration Curves
7. Conclusions
- i.
- The addition of hybrid nanoparticles improves the concentration, temperature, and velocity profiles, as well as the thickness of the relevant boundary layer.
- ii.
- The conjunction of a magnetic field and velocity slip strongly opposes the fluid motion, and the maximum velocity occurs in the absence of the magnetic field and the velocity slip.
- iii.
- The thermal profile rises as the magnetic field rises, and the similar mechanism is observed for the viscous dissipation function.
- iv.
- Thermophoretic forces increase with the concentration and thermal profiles, as well as the thickness of the boundary layer.
- v.
- The Brownian motion has the opposite effect on the concentration profile, when compared to the thermal profile.
- vi.
- The increase in the Prandtl number and the thermal slip cause the thermal profile to decrease.
- vii.
- The boundary layer thickness and the concentration profile are significantly reduced with the higher levels of the Schmidt number.
- viii.
- The numerical comparison with the previously published findings, shows that the reported results are in perfect agreement, confirming the reliability of the presented results.
Author Contributions
Funding
Institutional Review Board Statement
Informed Consent Statement
Data Availability Statement
Conflicts of Interest
References
- Choi, S.U.S.; Eastman, J.A. Enhancing Thermal Conductivity of Fluids with Nanoparticles; U.S. Department of Energy: New York, NY, USA, 1995. [Google Scholar]
- Xuan, Y.; Li, Q. Heat Transfer Enhancement of Nanofluids. Int. J. Heat Fluid Flow 2000, 21, 58–64. [Google Scholar] [CrossRef]
- Memon, A.G.; Memon, R.A. Thermodynamic Analysis of a Trigeneration System Proposed for Residential Application. Energy Convers. Manag. 2017, 145, 182–203. [Google Scholar] [CrossRef]
- Coco-Enríquez, L.; Muñoz-Antón, J.; Martínez-Val, J.M. New Text Comparison between CO2 and Other Supercritical Working Fluids (Ethane, Xe, CH4 and N2) in Line- Focusing Solar Power Plants Coupled to Supercritical Brayton Power Cycles. Int. J. Hydrogen Energy 2017, 42, 17611–17631. [Google Scholar] [CrossRef]
- Hashemian, M.; Jafarmadar, S.; Nasiri, J.; Sadighi Dizaji, H. Enhancement of Heat Transfer Rate with Structural Modification of Double Pipe Heat Exchanger by Changing Cylindrical Form of Tubes into Conical Form. Appl. Therm. Eng. 2017, 118, 408–417. [Google Scholar] [CrossRef]
- Eggers, J.R.; Kabelac, S. Nanofluids Revisited. Appl. Therm. Eng. 2016, 106, 1114–1126. [Google Scholar] [CrossRef]
- Rashidi, M.M.; Mahariq, I.; Alhuyi Nazari, M.; Accouche, O.; Bhatti, M.M. Comprehensive Review on Exergy Analysis of Shell and Tube Heat Exchangers. J. Therm. Anal. Calorim. 2022, 147, 11478. [Google Scholar] [CrossRef]
- Sarkar, J.; Ghosh, P.; Adil, A. A Review on Hybrid Nanofluids: Recent Research, Development and Applications. Renew. Sustain. Energy Rev. 2015, 43, 164–177. [Google Scholar] [CrossRef]
- Nazir, U.; Nawaz, M.; Alharbi, S.O. Thermal Performance of Magnetohydrodynamic Complex Fluid Using Nano and Hybrid Nanoparticles. Phys. A 2020, 553, 124345. [Google Scholar] [CrossRef]
- Mahamude, A.S.F.; Kamarulzaman, M.K.; Harun, W.S.W.; Kadirgama, K.; Ramasamy, D.; Farhana, K.; Bakar, R.A.; Yusaf, T.; Subramanion, S.; Yousif, B. A Comprehensive Review on Efficiency Enhancement of Solar Collectors Using Hybrid Nanofluids. Energies 2022, 15, 1391. [Google Scholar] [CrossRef]
- Bhatti, M.M.; Bég, O.A.; Abdelsalam, S.I. Computational Framework of Magnetized MgO-Ni/Water-Based Stagnation Nanoflow Past an Elastic Stretching Surface: Application in Solar Energy Coatings. Nanomaterials 2022, 12, 1049. [Google Scholar] [CrossRef]
- Bég, O.A.; Kabir, M.N.; Uddin, M.J.; Izani Md Ismail, A.; Alginahi, Y.M. Numerical Investigation of Von Karman Swirling Bioconvective Nanofluid Transport from a Rotating Disk in a Porous Medium with Stefan Blowing and Anisotropic Slip Effects. Proc. Inst. Mech. Eng. Part C 2021, 235, 3933–3951. [Google Scholar] [CrossRef]
- Vizureanu, P.; Samoila, C.; Cotfas, D. Materials Processing Using Solar Energy. Environ. Eng. Manag. J. 2009, 8, 301–306. [Google Scholar] [CrossRef]
- Mohammadfam, Y.; Zeinali Heris, S.; Khazini, L. Experimental Investigation of Fe3O4/Hydraulic Oil Magnetic Nanofluids Rheological Properties and Performance in the Presence of Magnetic Field. Tribol. Int. 2020, 142, 105995. [Google Scholar] [CrossRef]
- Kannan, U.M.; Giribabu, L.; Jammalamadaka, S.N. Demagnetization Field Driven Charge Transport in a TiO2 Based Dye Sensitized Solar Cell. Sol. Energy 2019, 187, 281–289. [Google Scholar] [CrossRef]
- Tayebi, T.; Chamkha, A.J. Buoyancy-Driven Heat Transfer Enhancement in a Sinusoidally Heated Enclosure Utilizing Hybrid Nanofluid. Comput. Therm. Sci. Int. J. 2017, 9, 405–421. [Google Scholar] [CrossRef]
- Ghadikolaei, S.S.; Yassari, M.; Sadeghi, H.; Hosseinzadeh, K.; Ganji, D.D. Investigation on Thermophysical Properties of Tio2–Cu/H2O Hybrid Nanofluid Transport Dependent on Shape Factor in MHD Stagnation Point Flow. Powder Technol. 2017, 322, 428–438. [Google Scholar] [CrossRef]
- Hussein, A.M. Thermal Performance and Thermal Properties of Hybrid Nanofluid Laminar Flow in a Double Pipe Heat Exchanger. Exp. Therm. Fluid Sci. 2017, 88, 37–45. [Google Scholar] [CrossRef]
- Rostami, M.N.; Dinarvand, S.; Pop, I. Dual Solutions for Mixed Convective Stagnation-Point Flow of an Aqueous Silica–Alumina Hybrid Nanofluid. Chin. J. Phys. 2018, 56, 2465–2478. [Google Scholar] [CrossRef]
- Ashorynejad, H.R.; Shahriari, A. MHD Natural Convection of Hybrid Nanofluid in an Open Wavy Cavity. Results Phys. 2018, 9, 440–455. [Google Scholar] [CrossRef]
- Verma, S.K.; Tiwari, A.K.; Tiwari, S.; Chauhan, D.S. Performance Analysis of Hybrid Nanofluids in Flat Plate Solar Collector as an Advanced Working Fluid. Sol. Energy 2018, 167, 231–241. [Google Scholar] [CrossRef]
- Aghaei, A.; Khorasanizadeh, H.; Sheikhzadeh, G.A. A Numerical Study of the Effect of the Magnetic Field on Turbulent Fluid Flow, Heat Transfer and Entropy Generation of Hybrid Nanofluid in a Trapezoidal Enclosure. Eur. Phys. J. Plus 2019, 134, 12681. [Google Scholar] [CrossRef]
- Maskeen, M.M.; Zeeshan, A.; Mehmood, O.U.; Hassan, M. Heat Transfer Enhancement in Hydromagnetic Alumina–Copper/Water Hybrid Nanofluid Flow over a Stretching Cylinder. J. Therm. Anal. Calorim. 2019, 138, 1127–1136. [Google Scholar] [CrossRef]
- Tayebi, T.; Chamkha, A.J. Entropy Generation Analysis during MHD Natural Convection Flow of Hybrid Nanofluid in a Square Cavity Containing a Corrugated Conducting Block. Int. J. Numer. Methods Heat Fluid Flow 2020, 30, 1115–1136. [Google Scholar] [CrossRef]
- Shojaie Chahregh, H.; Dinarvand, S. TiO2-Ag/Blood Hybrid Nanofluid Flow through an Artery with Applications of Drug Delivery and Blood Circulation in the Respiratory System. Int. J. Numer. Methods Heat Fluid Flow 2020, 30, 4775–4796. [Google Scholar] [CrossRef]
- Yang, J.; Abdelmalek, Z.; Muhammad, N.; Mustafa, M.T. Hydrodynamics and Ferrite Nanoparticles in Hybrid Nanofluid. Int. Commun. Heat Mass Transf. 2020, 118, 104883. [Google Scholar] [CrossRef]
- Tlili, I.; Nabwey, H.A.; Ashwinkumar, G.P.; Sandeep, N. 3-D Magnetohydrodynamic AA7072-AA7075/Methanol Hybrid Nanofluid Flow above an Uneven Thickness Surface with Slip Effect. Sci. Rep. 2020, 10, 4265. [Google Scholar] [CrossRef]
- Zheng, Y.; Yang, H.; Mazaheri, H.; Aghaei, A.; Mokhtari, N.; Afrand, M. An Investigation on the Influence of the Shape of the Vortex Generator on Fluid Flow and Turbulent Heat Transfer of Hybrid Nanofluid in a Channel. J. Therm. Anal. Calorim. 2021, 143, 1425–1438. [Google Scholar] [CrossRef]
- Riaz, A.; Ellahi, R.; Sait, S.M. Role of Hybrid Nanoparticles in Thermal Performance of Peristaltic Flow of Eyring–Powell Fluid Model. J. Therm. Anal. Calorim. 2021, 143, 1021–1035. [Google Scholar] [CrossRef]
- Selimefendigil, F.; Öztop, H.F.; Doranehgard, M.H.; Karimi, N. Phase Change Dynamics in a Cylinder Containing Hybrid Nanofluid and Phase Change Material Subjected to a Rotating Inner Disk. J. Energy Storage 2021, 42, 103007. [Google Scholar] [CrossRef]
- Alawi, O.A.; Kamar, H.M.; Hussein, O.A.; Mallah, A.R.; Mohammed, H.A.; Khiadani, M.; Roomi, A.B.; Kazi, S.N.; Yaseen, Z.M. Effects of Binary Hybrid Nanofluid on Heat Transfer and Fluid Flow in a Triangular-Corrugated Channel: An Experimental and Numerical Study. Powder Technol. 2022, 395, 267–279. [Google Scholar] [CrossRef]
- Murali Krishna, V.; Sandeep Kumar, M.; Muthalagu, R.; Senthil Kumar, P.; Mounika, R. Numerical Study of Fluid Flow and Heat Transfer for Flow of Cu-Al2O3-Water Hybrid Nanofluid in a Microchannel Heat Sink. Mater. Today 2022, 49, 1298–1302. [Google Scholar] [CrossRef]
- Na, T.Y. Computational Methods in Engineering Boundary Value Problems; Elsevier Science & Technology: Amsterdam, The Netherlands, 1979. [Google Scholar]
- Cebeci, T.; Bradshaw, P. Coupled Laminar Boundary Layers. In Physical and Computational Aspects of Convective Heat Transfer; Springer: New York, NY, USA, 1988; pp. 301–332. [Google Scholar]
- Khan, W.A.; Pop, I. Boundary-Layer Flow of a Nanofluid Past a Stretching Sheet. Int. J. Heat Mass Transf. 2010, 53, 2477–2483. [Google Scholar] [CrossRef]
- Selimefendigil, F.; Öztop, H.F. Magnetic Field Effects on the Forced Convection of CuO-Water Nanofluid Flow in a Channel with Circular Cylinders and Thermal Predictions Using ANFIS. Int. J. Mech. Sci. 2018, 146–147, 9–24. [Google Scholar] [CrossRef]
- Sreedevi, P.; Sudarsana Reddy, P. Effect of Magnetic Field and Thermal Radiation on Natural Convection in a Square Cavity Filled with TiO2 Nanoparticles Using Tiwari-Das Nanofluid Model. Alex. Eng. J. 2022, 61, 1529–1541. [Google Scholar] [CrossRef]
- Bhatti, M.M.; Ellahi, R.; Hossein Doranehgard, M. Numerical Study on the Hybrid Nanofluid (Co3O4-Go/H2O) Flow over a Circular Elastic Surface with Non-Darcy Medium: Application in Solar Energy. J. Mol. Liq. 2022, 361, 119655. [Google Scholar] [CrossRef]



















| Nanofluid | Hybrid Nanofluid | |
|---|---|---|
| Dynamic viscosity | ||
| Density | ||
| Electrical conductivity | ||
| Thermal conductivity | ||
| Heat capacity |
| Materials | ||||
|---|---|---|---|---|
| CuO | 6500 | 18 | 540 | |
| TiO2 | 4250 | 8.9538 | 686.6 | |
| Water (H2O) | 997.1 | 0.613 | 0.05 | 4179 |
| Nusselt Number | Sherwood Number | ||||
|---|---|---|---|---|---|
| Khan and Pop [37] | Present Results | Khan and Pop [37] | Present Results | ||
| 0.1 | 0.1 | 0.9524 | 0.952871389 | 2.1294 | 2.123880810 |
| 0.2 | 0.6932 | 0.693539537 | 2.2740 | 2.275490073 | |
| 0.3 | 0.5201 | 0.520233035 | 2.5286 | 2.523652658 | |
| 0.1 | 0.2 | 0.5056 | 0.505367560 | 2.3819 | 2.378102934 |
| 0.3 | 0.2522 | 0.250551069 | 2.4100 | 2.406859767 | |
| 0.4 | 0.1194 | 0.116936309 | 2.3997 | 2.396566472 | |
| 0.1 | −2.091784494 | 0.554205429 | 2.089310216 | |||||||||
| 0.2 | −2.764253946 | 0.514032226 | 2.142491983 | |||||||||
| 0.3 | −3.698417622 | 0.39869267 | 2.217793696 | |||||||||
| 0.1 | −2.091784494 | 0.554205429 | 2.089310216 | |||||||||
| 0.2 | −2.710048148 | 0.488626756 | 2.161265248 | |||||||||
| 0.3 | −3.581149229 | 0.344431458 | 2.252125815 | |||||||||
| 0 | −1.525119154 | 0.980466463 | 2.080054573 | |||||||||
| 1 | −2.091784494 | 0.554205429 | 2.089310216 | |||||||||
| 2 | −2.494380151 | 0.25088945 | 2.099041226 | |||||||||
| 0 | −2.468615249 | 0.471519093 | 2.307729259 | |||||||||
| 0.15 | −1.944277675 | 0.579143424 | 2.001485342 | |||||||||
| 0.25 | −1.711542802 | 0.608970926 | 1.855244572 | |||||||||
| 0 | - | 0.589565233 | 2.0817631 | |||||||||
| 0.15 | - | 0.537704733 | 2.092641458 | |||||||||
| 0.25 | - | 0.50617099 | 2.098140057 | |||||||||
| 0.1 | - | 0.554205429 | 2.089310216 | |||||||||
| 0.2 | - | 0.427102644 | 2.212140328 | |||||||||
| 0.25 | - | 0.370289406 | 2.298776097 | |||||||||
| 0.1 | - | 0.554205429 | 2.089310216 | |||||||||
| 0.2 | - | 0.34058419 | 2.1232545 | |||||||||
| 0.25 | - | 0.252901943 | 2.125682542 | |||||||||
| 0.05 | - | 0.829160868 | 1.950498417 | |||||||||
| 0.1 | - | 0.554205429 | 2.089310216 | |||||||||
| 0.15 | - | 0.277032688 | 2.228521906 | |||||||||
| 6 | - | 0.557114637 | 2.083786479 | |||||||||
| 7 | - | 0.538722386 | 2.112309505 | |||||||||
| 8 | - | 0.512360152 | 2.142672979 | |||||||||
| 7 | - | 0.575111765 | 1.65854068 | |||||||||
| 8 | - | 0.566498633 | 1.812586477 | |||||||||
| 9 | - | 0.559691442 | 1.955498588 |
Publisher’s Note: MDPI stays neutral with regard to jurisdictional claims in published maps and institutional affiliations. |
© 2022 by the authors. Licensee MDPI, Basel, Switzerland. This article is an open access article distributed under the terms and conditions of the Creative Commons Attribution (CC BY) license (https://creativecommons.org/licenses/by/4.0/).
Share and Cite
Bhatti, M.M.; Öztop, H.F.; Ellahi, R. Study of the Magnetized Hybrid Nanofluid Flow through a Flat Elastic Surface with Applications in Solar Energy. Materials 2022, 15, 7507. https://doi.org/10.3390/ma15217507
Bhatti MM, Öztop HF, Ellahi R. Study of the Magnetized Hybrid Nanofluid Flow through a Flat Elastic Surface with Applications in Solar Energy. Materials. 2022; 15(21):7507. https://doi.org/10.3390/ma15217507
Chicago/Turabian StyleBhatti, Muhammad Mubashir, Hakan F. Öztop, and Rahmat Ellahi. 2022. "Study of the Magnetized Hybrid Nanofluid Flow through a Flat Elastic Surface with Applications in Solar Energy" Materials 15, no. 21: 7507. https://doi.org/10.3390/ma15217507
APA StyleBhatti, M. M., Öztop, H. F., & Ellahi, R. (2022). Study of the Magnetized Hybrid Nanofluid Flow through a Flat Elastic Surface with Applications in Solar Energy. Materials, 15(21), 7507. https://doi.org/10.3390/ma15217507
