Effects of Yttrium Doping on Erbium-Based Hydroxyapatites: Theoretical and Experimental Study
Abstract
1. Introduction
2. Materials and Methods
2.1. Synthesis and Characterization
2.2. In Vitro Biocompatibility Assay
3. Results and Discussion
3.1. Experimental Results
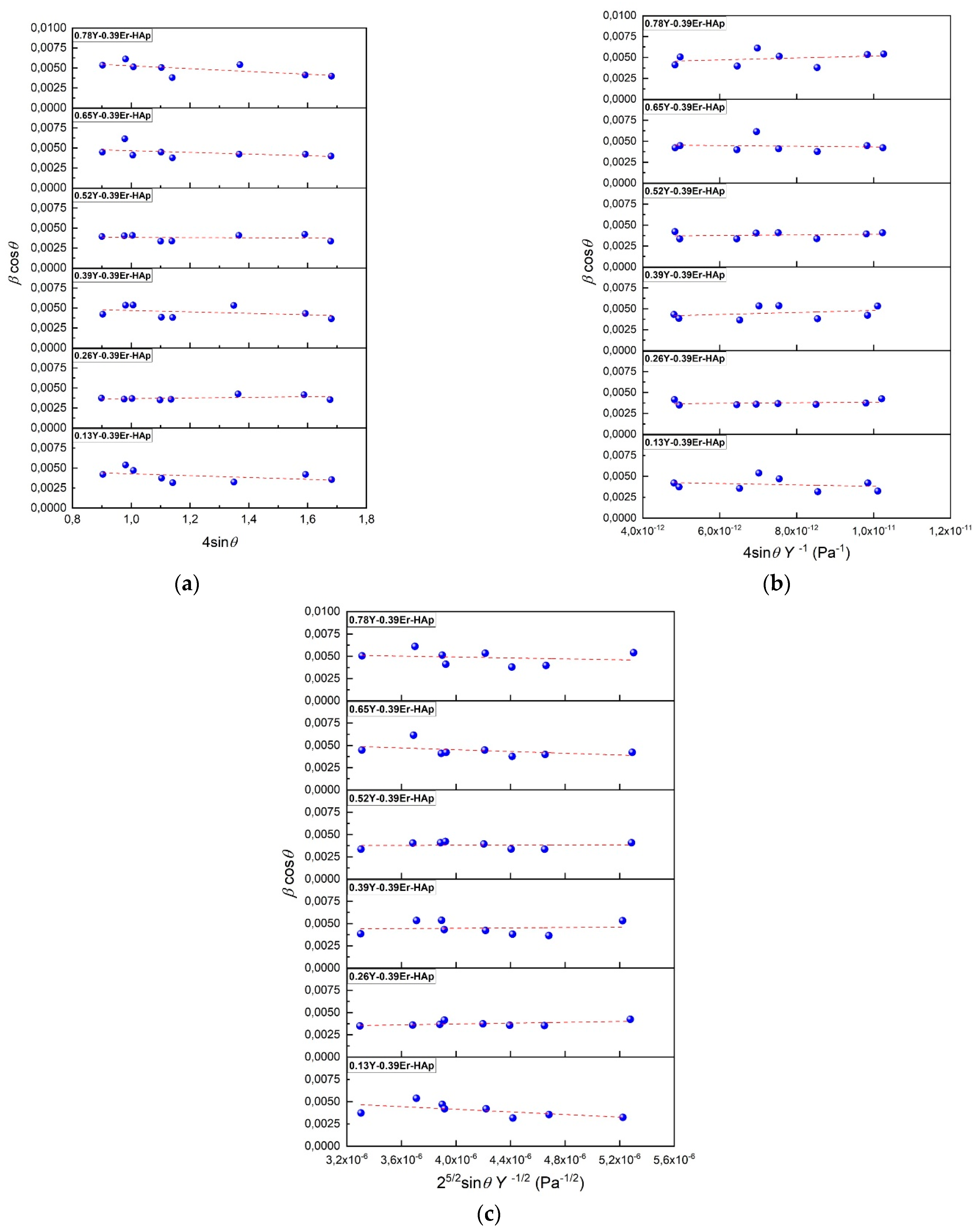
3.1.1. XRD Analysis
3.1.2. FTIR and Raman Spectroscopy Results
3.1.3. Morphological Analysis
3.1.4. Differential Thermal Analysis (DTA) and Thermogravimetric Analysis (TGA)
3.1.5. In Vitro Biocompatibility Results of Y/Er-HAp Samples
3.2. Theoretical Results
3.2.1. Bandgap Structure and Density of States Calculations
3.2.2. Density and Linear Absorption Coefficient Calculations
4. Conclusions
Author Contributions
Funding
Acknowledgments
Conflicts of Interest
References
- Dorozhkin, S.V. Calcium Orthophosphate (CaPO4) Scaffolds for Bone Tissue Engineering Applications. J. Biotechnol. Biomed. Sci. 2018, 1, 25–93. [Google Scholar] [CrossRef]
- Thamaraiselvi, T.; Rajeswari, S. Biological evaluation of bioceramic materials—A review. Carbon 2004, 24, 172. [Google Scholar]
- Goldberg, M.A.; Protsenko, P.V.; Smirnov, V.V.; Antonova, O.S.; Smirnov, S.V.; Konovalov, A.A.; Vorckachev, K.G.; Kudryavtsev, E.A.; Barinov, S.M.; Komlev, V.S. The enhancement of hydroxyapatite thermal stability by Al doping. J. Mater. Res. Technol. 2020, 9, 76–88. [Google Scholar] [CrossRef]
- Shkir, M.; Yahia, I.; Kilany, M.; Abutalib, M.; AlFaify, S.; Darwish, R. Facile nanorods synthesis of KI:HAp and their structure-morphology, vibrational and bioactivity analyses for biomedical applications. Ceram. Int. 2018, 45, 50–55. [Google Scholar] [CrossRef]
- Gibson, I.R. Natural and synthetic hydroxyapatites. In Biomaterials Sciences: Materials in Medicine, 4th ed.; Wagner, W.R., Sakiyama-Elbert, S.E., Zhang, G., Yaszemski, M.J., Eds.; Elsevier Inc.: Amsterdam, The Netherlands, 2020. [Google Scholar]
- Pu’Ad, N.M.; Haq, R.A.; Noh, H.M.; Abdullah, H.; Idris, M.; Lee, T. Synthesis method of hydroxyapatite: A review. Mater. Today Proc. 2020, 29, 233–239. [Google Scholar] [CrossRef]
- Pai, S.; Kini, S.M.; Selvaraj, R.; Pugazhendhi, A. A review on the synthesis of hydroxyapatite, its composites and adsorptive removal of pollutants from wastewater. J. Water Process Eng. 2020, 38, 101574. [Google Scholar] [CrossRef]
- Ramesh, S.; Adzila, S.; Jeffrey, C.K.L.; Tan, C.Y.; Purbolaksono, J.; Noor, A.M.; Hassan, M.A.; Sopyan, I.; Teng, W.D. Properties of hydroxyapatite synthesize by wet chemical method. J. Ceram. Process. Res. 2013, 14, 448–452. [Google Scholar]
- Paterlini, V.; Bettinelli, M.; Rizzi, R.; El Khouri, A.; Rossi, M.; Della Ventura, G.; Capitelli, F. Characterization and Luminescence of Eu3+- and Gd3+-Doped Hydroxyapatite Ca10(Po4)6(Oh)2. Crystals 2020, 10, 806. [Google Scholar] [CrossRef]
- Tite, T.; Popa, A.-C.; Balescu, L.M.; Bogdan, I.M.; Pasuk, I.; Ferreira, J.M.F.; Stan, G.E. Cationic Substitutions in Hydroxyapatite: Current Status of the Derived Biofunctional Effects and Their In Vitro Interrogation Methods. Materials 2018, 11, 2081. [Google Scholar] [CrossRef] [PubMed]
- Arcos, D.; Vallet-Regí, M. Substituted hydroxyapatite coatings of bone implants. J. Mater. Chem. B 2020, 8, 1781–1800. [Google Scholar] [CrossRef] [PubMed]
- Graziani, G.; Boi, M.; Bianchi, M. A Review on Ionic Substitutions in Hydroxyapatite Thin Films: Towards Complete Biomimetism. Coatings 2018, 8, 269. [Google Scholar] [CrossRef]
- Kaygili, O.; Vural, G.; Keser, S.; Yahia, I.S.; Bulut, N.; Ates, T.; Koytepe, S.; Temuz, M.M.; Ercan, F.; Ince, T. Ce/Sm co-doped hydroxyapatites: Synthesis, characterization, and band structure calculation. J. Aust. Ceram. Soc. 2021, 57, 305–317. [Google Scholar] [CrossRef]
- Šupová, M. Substituted hydroxyapatites for biomedical applications: A review. Ceram. Int. 2015, 41, 9203–9231. [Google Scholar] [CrossRef]
- Sato, M.; Sambito, M.A.; Aslani, A.; Kalkhoran, N.M.; Slamovich, E.B.; Webster, T.J. Increased osteoblast functions on undoped and yttrium-doped nanocrystalline hydroxyapatite coatings on titanium. Biomaterials 2006, 27, 2358–2369. [Google Scholar] [CrossRef]
- Gülgün, M.; Voytovych, R.; Maclaren, I.; Rühle, M.; Cannon, R. Cation Segregation in an Oxide Ceramic with Low Solubility: Yttrium Doped α-Alumina. Interface Sci. 2002, 10, 99–110. [Google Scholar] [CrossRef]
- Nathanael, A.J.; Mangalaraj, D.; Hong, S.; Masuda, Y. Synthesis and in-depth analysis of highly ordered yttrium doped hydroxyapatite nanorods prepared by hydrothermal method and its mechanical analysis. Mater. Charact. 2011, 62, 1109–1115. [Google Scholar] [CrossRef]
- Owada, H.; Yamashita, K.; Umegaki, T.; Kanazawa, T.; Nagai, M. Humidity-sensitivity of yttrium substituted apatite ceramics. Solid State Ion. 1989, 35, 401–404. [Google Scholar] [CrossRef]
- Owada, H.; Yamashita, K.; Kanazawa, T. High-temperature stability of hydroxyl ions in yttrium-substituted oxyhydroxyapatites. J. Mater. Sci. Lett. 1991, 10, 26–28. [Google Scholar] [CrossRef]
- Khalid, M.; Mushtaq, A. Preparation and in vitro stability of (n,γ) yttrium-90 hydroxyapatite. Appl. Radiat. Isot. 2004, 62, 587–590. [Google Scholar] [CrossRef]
- Cacaina, D.; Ylänen, H.; Simon, S.; Hupa, M. The behaviour of selected yttrium containing bioactive glass microspheres in simulated body environments. J. Mater. Sci. Mater. Med. 2008, 19, 1225–1233. [Google Scholar] [CrossRef]
- Savino, K.; Yates, M. Thermal stability of electrochemical–hydrothermal hydroxyapatite coatings. Ceram. Int. 2015, 41, 8568–8577. [Google Scholar] [CrossRef]
- Webster, T.J.; Ergun, C.; Doremus, R.H.; Bizios, R. Hydroxylapatite with substituted magnesium, zinc, cadmium, and yttrium. II. Mechanisms of osteoblast adhesion. J. Biomed. Mater. Res. 2002, 59, 312–317. [Google Scholar] [CrossRef] [PubMed]
- Alshemary, A.Z.; Akram, M.; Goh, Y.-F.; Kadir, M.R.A.; Abdolahi, A.; Hussain, R. Structural characterization, optical properties and in vitro bioactivity of mesoporous erbium-doped hydroxyapatite. J. Alloys Compd. 2015, 645, 478–486. [Google Scholar] [CrossRef]
- Gitty, P.; Kailasnath, M.; Nampoori, V.P.N. Synthesis, Structure and Luminescence Characterization of Erbium Doped Hydroxyapatite Nanoparticles by Precipitation Method. Curr. Phys. Chem. 2019, 9, 218–225. [Google Scholar] [CrossRef]
- Pham, V.-H.; Van, H.N.; Tam, P.D.; Ha, H.N.T. A novel 1540 nm light emission from erbium doped hydroxyapatite/β-tricalcium phosphate through co-precipitation method. Mater. Lett. 2016, 167, 145–147. [Google Scholar] [CrossRef]
- De Araujo, T.S.; de Souza, S.O.; de Sousa, E.M.B. Effect of Zn2+, Fe3+and Cr3+addition to hydroxyapatite for its application as an active constituent of sunscreens. J. Phys. Conf. Ser. 2010, 249, 012012. [Google Scholar] [CrossRef]
- Kaygili, O.; Keser, S. Zr/Mg, Zr/Sr and Zr/Zn co-doped hydroxyapatites: Synthesis and characterization. Ceram. Int. 2016, 42, 9270–9273. [Google Scholar] [CrossRef]
- Yogamalar, R.; Srinivasan, R.; Vinu, A.; Ariga, K.; Bose, A.C. X-ray peak broadening analysis in ZnO nanoparticles. Solid State Commun. 2009, 149, 1919–1923. [Google Scholar] [CrossRef]
- Mansour, S.F.; El-Dek, S.I.; Dorozhkin, S.V.; Ahmed, M.K. Physico-mechanical properties of Mg and Ag doped hydroxyapatite/chitosan biocomposites. New J. Chem. 2017, 41, 13773–13783. [Google Scholar] [CrossRef]
- Acar, S.; Kaygili, O.; Ates, T.; Dorozhkin, S.V.; Bulut, N.; Ates, B.; Koytepe, S.; Ercan, F.; Kebiroglu, H.; Hssain, A.H. Experimental characterization and theoretical investigation of Ce/Yb co-doped hydroxyapatites. Mater. Chem. Phys. 2022, 276, 125444. [Google Scholar] [CrossRef]
- Korkmaz, A.A.; Ahmed, L.O.; Kareem, R.O.; Kebiroglu, H.; Ates, T.; Bulut, N.; Kaygili, O.; Ates, B. Theoretical and experimental characterization of Sn-based hydroxyapatites doped with Bi. J. Aust. Ceram. Soc. 2022, 58, 803–815. [Google Scholar] [CrossRef]
- Landi, E.; Tampieri, A.; Celotti, G.; Sprio, S. Densification behaviour and mechanisms of synthetic hydroxyapatites. J. Eur. Ceram. Soc. 2000, 20, 2377–2387. [Google Scholar] [CrossRef]
- Kim, D.-J.; Hyun, S.-H.; Kim, S.-G.; Yashima, M. Effective Ionic Radius of Y3+ Determined from Lattice Parameters of Fluorite-Type HfO2 and ZrO2 Solid Solutions. J. Am. Ceram. Soc. 1994, 77, 597–599. [Google Scholar] [CrossRef]
- Wu, M.; Song, E.H.; Chen, Z.T.; Ding, S.; Ye, S.; Zhou, J.J.; Xu, S.Q.; Zhang, Q.Y. Single-band red upconversion luminescence of Yb3+–Er3+via nonequivalent substitution in perovskite KMgF3 nanocrystals. J. Mater. Chem. C 2016, 4, 1675–1684. [Google Scholar] [CrossRef]
- Jesser, W.A.; Kuhlmann-Wilsdorf, D. On the Theory of Interfacial Energy and Elastic Strain of Epitaxial Overgrowths in Parallel Alignment on Single Crystal Substrates. Phys. Status Solidi B 1967, 19, 95–105. [Google Scholar] [CrossRef]
- Zak, A.K.; Majid, W.A.; Abrishami, M.; Yousefi, R. X-ray analysis of ZnO nanoparticles by Williamson–Hall and size–strain plot methods. Solid State Sci. 2011, 13, 251–256. [Google Scholar] [CrossRef]
- Venkateswarlu, K.; Bose, A.C.; Rameshbabu, N. X-ray peak broadening studies of nanocrystalline hydroxyapatite by Williamson–Hall analysis. Phys. B Condens. Matter 2010, 405, 4256–4261. [Google Scholar] [CrossRef]
- Erdem, U.; Turkoz, M.B. La3+ and F− dual-doped multifunctional hydroxyapatite nanoparticles: Synthesis and characterization. Microsc. Res. Tech. 2021, 84, 3211–3220. [Google Scholar] [CrossRef]
- Goldberg, M.; Gafurov, M.; Murzakhanov, F.; Fomin, A.; Antonova, O.; Khairutdinova, D.; Pyataev, A.; Makshakova, O.; Konovalov, A.; Leonov, A.; et al. Mesoporous Iron(III)-Doped Hydroxyapatite Nanopowders Obtained via Iron Oxalate. Nanomaterials 2021, 11, 811. [Google Scholar] [CrossRef]
- Murzakhanov, F.F.; Mamin, G.V.; Goldberg, M.A.; Knotko, A.V.; Gafurov, M.R.; Orlinskii, S.B. EPR of Radiation-Induced Nitrogen Centers in Hydroxyapatite: New Approaches to the Study of Electron-Nuclear Interactions. Russ. J. Coord. Chem. 2020, 46, 729–737. [Google Scholar] [CrossRef]
- Sánchez-Campos, D.; Valderrama, M.R.; López-Ortíz, S.; Salado-Leza, D.; Fernández-García, M.; Mendoza-Anaya, D.; Salinas-Rodríguez, E.; Rodríguez-Lugo, V. Modulated Monoclinic Hydroxyapatite: The Effect of pH in the Microwave Assisted Method. Minerals 2021, 11, 314. [Google Scholar] [CrossRef]
- Ai, T.; Wang, F.; Feng, X.; Ruan, M. Microstructural and mechanical properties of dual Ti3AlC2–Ti2AlC reinforced TiAl composites fabricated by reaction hot pressing. Ceram. Int. 2014, 40, 9947–9953. [Google Scholar] [CrossRef]
- Pereira, M.; França, D.; Araújo, R.C.; Filho, E.C.S.; Rigaud, B.; Fonseca, M.; Jaber, M. Amino hydroxyapatite/chitosan hybrids reticulated with glutaraldehyde at different pH values and their use for diclofenac removal. Carbohydr. Polym. 2020, 236, 116036. [Google Scholar] [CrossRef] [PubMed]
- Waheed, S.; Sultan, M.; Jamil, T.; Hussain, T. Comparative Analysis of Hydroxyapatite Synthesized by Sol-gel, Ultrasonication and Microwave Assisted Technique. Mater. Today Proc. 2015, 2, 5477–5484. [Google Scholar] [CrossRef]
- Senra, M.R.; de Lima, R.B.; Souza, D.D.H.S.; Marques, M.D.F.V.; Monteiro, S.N. Thermal characterization of hydroxyapatite or carbonated hydroxyapatite hybrid composites with distinguished collagens for bone graft. J. Mater. Res. Technol. 2020, 9, 7190–7200. [Google Scholar] [CrossRef]
- Mahmood, B.K.; Kaygili, O.; Bulut, N.; Dorozhkin, S.V.; Ates, T.; Koytepe, S.; Gürses, C.; Ercan, F.; Kebiroglu, H.; Agid, R.S.; et al. Effects of strontium-erbium co-doping on the structural properties of hydroxyapatite: An Experimental and theoretical study. Ceram. Int. 2020, 46, 16354–16363. [Google Scholar] [CrossRef]
- Clark, S.J.; Segall, M.D.; Pickard, C.J.; Hasnip, P.J.; Probert, M.I.J.; Refson, K.; Payne, M.C. First Principles Methods Using CASTEP. Z. Kristallogr. Cryst. Mater. 2005, 220, 567–570. [Google Scholar] [CrossRef]
- Speight, J.G. Lange’s Handbook of Chemistry; McGraw-Hill: New York, NY, USA, 2005. [Google Scholar]
- Priyadarshini, B.; Vijayalakshmi, U. Development of cerium and silicon co-doped hydroxyapatite nanopowder and its in vitro biological studies for bone regeneration applications. Adv. Powder Technol. 2018, 29, 2792–2803. [Google Scholar] [CrossRef]
- Ibrahimzade, L.; Kaygili, O.; Dundar, S.; Ates, T.; Dorozhkin, S.V.; Bulut, N.; Koytepe, S.; Ercan, F.; Gürses, C.; Hssain, A.H. Theoretical and experimental characterization of Pr/Ce co-doped hydroxyapatites. J. Mol. Struct. 2021, 1240, 130557. [Google Scholar] [CrossRef]














| Sample | Formulation | Ca(NO3)2·4H2O (mmol) | Er(NO3)3·5H2O (mmol) | Y(NO3)3·6H2O (mmol) | (NH4)2HPO4 (mmol) |
|---|---|---|---|---|---|
| 0.13Y-0.39Er-HAp | Ca9.948Y0.013Er0.039(PO4)6(OH)2 | 49.740 | 0.195 | 0.065 | 30.000 |
| 0.26Y-0.39Er-HAp | Ca9.935Y0.026Er0.039(PO4)6(OH)2 | 49.675 | 0.130 | ||
| 0.39Y-0.39Er-HAp | Ca9.922Y0.039Er0.039(PO4)6(OH)2 | 49.610 | 0.195 | ||
| 0.52Y-0.39Er-HAp | Ca9.909Y0.052Er0.039(PO4)6(OH)2 | 49.545 | 0.260 | ||
| 0.65Y-0.39Er-HAp | Ca9.896Y0.065Er0.039(PO4)6(OH)2 | 49.480 | 0.325 | ||
| 0.78Y-0.39Er-HAp | Ca9.883Y0.078Er0.039(PO4)6(OH)2 | 49.415 | 0.390 |
| Theoretical | Experimental | |||||
|---|---|---|---|---|---|---|
| Samples | a (nm) | c (nm) | V (nm)3 | a (nm) | c (nm) | V (nm)3 |
| 0.13Y-0.39Er-HAp | 0.93269 | 0.67899 | 0.51151 | 0.94069 | 0.68215 | 0.52275 |
| 0.26Y-0.39Er-HAp | 0.93165 | 0.67970 | 0.51091 | 0.94029 | 0.68632 | 0.52549 |
| 0.39Y-0.39Er-HAp | 0.93208 | 0.67932 | 0.51109 | 0.94131 | 0.68234 | 0.52358 |
| 0.52Y-0.39Er-HAp | 0.93261 | 0.67893 | 0.51138 | 0.93852 | 0.68569 | 0.52304 |
| 0.65Y-0.39Er-HAp | 0.93108 | 0.68013 | 0.51060 | 0.93727 | 0.68499 | 0.52111 |
| 0.78Y-0.39Er-HAp | 0.93166 | 0.67947 | 0.51074 | 0.93663 | 0.68414 | 0.51976 |
| Samples | XC% | DS (nm) | DWH (nm) | ε × 10−4 | σ (MPa) | u (kJ m−3) |
|---|---|---|---|---|---|---|
| 0.13Y-0.39Er-HAp | 87.40 | 35.55 | 25.58 | −11.500 | −84.653 | 542.219 |
| 0.26Y-0.39Er-HAp | 83.66 | 37.20 | 42.40 | 3.904 | 35.514 | 57.124 |
| 0.39Y-0.39Er-HAp | 86.40 | 31.71 | 24.98 | −8.790 | 120.487 | 9.391 |
| 0.52Y-0.39Er-HAp | 87.29 | 36.67 | 35.01 | −1.370 | 35.238 | 1.162 |
| 0.65Y-0.39Er-HAp | 86.90 | 32.01 | 24.32 | −10.500 | −40.061 | 247.890 |
| 0.78Y-0.39Er-HAp | 84.34 | 29.25 | 19.78 | −17.500 | 114.546 | 66.597 |
| Sample | Ca/P (Theo.) | Ca/P (Exp.) | (Ca+Er+Y)/P (Theo.) | (Ca+Er+Y)/P (Exp.) |
|---|---|---|---|---|
| 0.13Y-0.39Er-HAp | 1.6580 | 1.6517 | 1.6667 | 1.6654 |
| 0.26Y-0.39Er-HAp | 1.6558 | 1.6547 | 1.6667 | 1.6682 |
| 0.39Y-0.39Er-HAp | 1.6537 | 1.6510 | 1.6667 | 1.6716 |
| 0.52Y-0.39Er-HAp | 1.6515 | 1.6408 | 1.6667 | 1.6607 |
| 0.65Y-0.39Er-HAp | 1.6493 | 1.6450 | 1.6667 | 1.6673 |
| 0.78Y-0.39Er-HAp | 1.6472 | 1.6331 | 1.6667 | 1.6535 |
Publisher’s Note: MDPI stays neutral with regard to jurisdictional claims in published maps and institutional affiliations. |
© 2022 by the authors. Licensee MDPI, Basel, Switzerland. This article is an open access article distributed under the terms and conditions of the Creative Commons Attribution (CC BY) license (https://creativecommons.org/licenses/by/4.0/).
Share and Cite
Ahmed, L.O.; Bulut, N.; Kebiroglu, H.; Alkhedher, M.; Ates, T.; Koytepe, S.; Ates, B.; Kaygili, O.; Din, E.M.T.E. Effects of Yttrium Doping on Erbium-Based Hydroxyapatites: Theoretical and Experimental Study. Materials 2022, 15, 7211. https://doi.org/10.3390/ma15207211
Ahmed LO, Bulut N, Kebiroglu H, Alkhedher M, Ates T, Koytepe S, Ates B, Kaygili O, Din EMTE. Effects of Yttrium Doping on Erbium-Based Hydroxyapatites: Theoretical and Experimental Study. Materials. 2022; 15(20):7211. https://doi.org/10.3390/ma15207211
Chicago/Turabian StyleAhmed, Lana Omar, Niyazi Bulut, Hanifi Kebiroglu, Mohammad Alkhedher, Tankut Ates, Suleyman Koytepe, Burhan Ates, Omer Kaygili, and ElSayed M. Tag El Din. 2022. "Effects of Yttrium Doping on Erbium-Based Hydroxyapatites: Theoretical and Experimental Study" Materials 15, no. 20: 7211. https://doi.org/10.3390/ma15207211
APA StyleAhmed, L. O., Bulut, N., Kebiroglu, H., Alkhedher, M., Ates, T., Koytepe, S., Ates, B., Kaygili, O., & Din, E. M. T. E. (2022). Effects of Yttrium Doping on Erbium-Based Hydroxyapatites: Theoretical and Experimental Study. Materials, 15(20), 7211. https://doi.org/10.3390/ma15207211

