Role of Particle Shape on Ground Responses to a Circular Tunnel Excavation in Sandy Soil: Consequences from DEM Simulations
Abstract
1. Introduction
2. Numerical Model Setup
2.1. Generation of Particle Clump
2.2. Constitutive Model of Contact and Calibration
2.3. Setup of Circular Tunnel Excavation Model
2.3.1. Model Configuration
2.3.2. Numerical Experimental Design
2.4. Microscopic Parameters
2.4.1. Principal Stress
2.4.2. Void Ratio
2.4.3. Coordination Number
3. Results
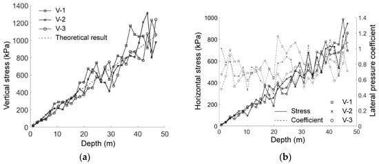
3.1. Stress Distribution
3.2. Ground Deformation
3.3. Interaction between Ground and Tunnel Lining
3.4. Microscopic Characteristics of Ground Response
4. Discussion
4.1. Effect of Aspect Ratio
4.2. Effect of Convexity
5. Conclusions
Author Contributions
Funding
Institutional Review Board Statement
Informed Consent Statement
Data Availability Statement
Conflicts of Interest
References
- Cho, G.-C.; Dodds, J.; Santamarina, J.C. Particle Shape Effects on Packing Density, Stiffness, and Strength: Natural and Crushed Sands. J. Geotech. Geoenviron. Eng. 2006, 132, 591–602. [Google Scholar] [CrossRef]
- Jerves, A.X.; Kawamoto, R.Y.; Andrade, J.E. Effects of Grain Morphology on Critical State: A Computational Analysis. Acta Geotech. 2016, 11, 493–503. [Google Scholar] [CrossRef]
- Kawamoto, R.; Andò, E.; Viggiani, G.; Andrade, J.E. All You Need Is Shape: Predicting Shear Banding in Sand with LS-DEM. J. Mech. Phys. Solids 2018, 111, 375–392. [Google Scholar] [CrossRef]
- Altuhafi, F.N.; Coop, M.R.; Georgiannou, V.N. Effect of Particle Shape on the Mechanical Behavior of Natural Sands. J. Geotech. Geoenviron. Eng. 2016, 142, 04016071. [Google Scholar] [CrossRef]
- de Bono, J.P.; McDowell, G.R. An Insight into the Yielding and Normal Compression of Sand with Irregularly-Shaped Particles Using DEM. Powder Technol. 2015, 271, 270–277. [Google Scholar] [CrossRef]
- de Bono, J.P.; McDowell, G.R. Investigating the Effects of Particle Shape on Normal Compression and Overconsolidation Using DEM. Granul. Matter 2016, 18, 55. [Google Scholar] [CrossRef]
- Keramatikerman, M.; Chegenizadeh, A. Effect of Particle Shape on Monotonic Liquefaction: Natural and Crushed Sand. Exp. Mech. 2017, 57, 1341–1348. [Google Scholar] [CrossRef]
- Ma, G.; Chen, Y.; Yao, F.; Zhou, W.; Wang, Q. Evolution of Particle Size and Shape towards a Steady State: Insights from FDEM Simulations of Crushable Granular Materials. Comput. Geotech. 2019, 112, 147–158. [Google Scholar] [CrossRef]
- Lai, Z.; Chen, Q.; Huang, L. Fourier Series-Based Discrete Element Method for Computational Mechanics of Irregular-Shaped Particles. Comput. Methods Appl. Mech. Eng. 2020, 362, 112873. [Google Scholar] [CrossRef]
- Nguyen, H.B.K.; Rahman, M.M.; Fourie, A.B. How Particle Shape Affects the Critical State, Triggering of Instability and Dilatancy of Granular Materials-Results from a DEM Study. Geotechnique 2021, 71, 749–764. [Google Scholar] [CrossRef]
- Fang, C.; Gong, J.; Nie, Z.; Li, B.; Li, X. DEM Study on the Microscale and Macroscale Shear Behaviours of Granular Materials with Breakable and Irregularly Shaped Particles. Comput. Geotech. 2021, 137, 104271. [Google Scholar] [CrossRef]
- Pan, T.; Tutumluer, E.; Anochie-Boateng, J. Aggregate Morphology Affecting Resilient Behavior of Unbound Granular Materials. Transp. Res. Rec. J. Transp. Res. Board 2006, 1952, 12–20. [Google Scholar] [CrossRef]
- Igwe, O.; Sassa, K.; Wang, F. The Influence of Grading on the Shear Strength of Loose Sands in Stress-Controlled Ring Shear Tests. Landslides 2007, 4, 43–51. [Google Scholar] [CrossRef]
- Tutumluer, E.; Pan, T. Aggregate Morphology Affecting Strength and Permanent Deformation Behavior of Unbound Aggregate Materials. J. Mater. Civ. Eng. 2008, 20, 617–627. [Google Scholar] [CrossRef]
- Tsomokos, A.; Georgiannou, V.N. Effect of Grain Shape and Angularity on the Undrained Response of Fine Sands. Can. Geotech. J. 2010, 47, 539–551. [Google Scholar] [CrossRef]
- Xiao, Y.; Liu, H.; Chen, Y.; Jiang, J. Strength and Deformation of Rockfill Material Based on Large-Scale Triaxial Compression Tests. II: Influence of Particle Breakage. J. Geotech. Geoenviron. Eng. 2014, 140, 04014071. [Google Scholar] [CrossRef]
- Yang, J.; Luo, X.D. The Critical State Friction Angle of Granular Materials: Does It Depend on Grading? Acta Geotech. 2018, 13, 535–547. [Google Scholar] [CrossRef]
- Yang, J.; Wei, L.M. Collapse of Loose Sand with the Addition of Fines: The Role of Particle Shape. Geotechnique 2012, 62, 1111–1125. [Google Scholar] [CrossRef]
- Wei, L.M.; Yang, J. On the Role of Grain Shape in Static Liquefaction of Sand–FInes Mixtures. Geotechnique 2014, 64, 740–745. [Google Scholar] [CrossRef]
- Lei, H.; Chen, Z.; Kang, X. Examination of Particle Shape on the Shear Behaviours of Granules Using 3D Printed Soil. Eur. J. Environ. Civ. Eng. 2022, 26, 4200–4219. [Google Scholar] [CrossRef]
- Abedi, S.; Mirghasemi, A.A. Particle Shape Consideration in Numerical Simulation of Assemblies of Irregularly Shaped Particles. Particuology 2011, 9, 387–397. [Google Scholar] [CrossRef]
- Asadi, R.; Mirghasemi, A.A. Numerical Investigation of Particle Shape on Mechanical Behaviour of Unsaturated Granular Soils Using Elliptical Particles. Adv. Powder Technol. 2018, 29, 3087–3099. [Google Scholar] [CrossRef]
- Xu, M.Q.; Guo, N.; Yang, Z.X. Particle Shape Effects on the Shear Behaviors of Granular Assemblies: Irregularity and Elongation. Granul. Matter 2021, 23, 25. [Google Scholar] [CrossRef]
- Tong, L.; Wang, Y.H. DEM Simulations of Shear Modulus and Damping Ratio of Sand with Emphasis on the Effects of Particle Number, Particle Shape, and Aging. Acta Geotech. 2015, 10, 117–130. [Google Scholar] [CrossRef]
- Lu, Z.; Yao, A.; Su, A.; Ren, X.; Liu, Q.; Dong, S. Re-Recognizing the Impact of Particle Shape on Physical and Mechanical Properties of Sandy Soils: A Numerical Study. Eng. Geol. 2019, 253, 36–46. [Google Scholar] [CrossRef]
- Tsigginos, C.; Zeghal, M. A Micromechanical Analysis of the Effects of Particle Shape and Contact Law on the Low-Strain Stiffness of Granular Soils. Soil Dyn. Earthq. Eng. 2019, 125, 105693. [Google Scholar] [CrossRef]
- Nie, J.Y.; Shi, X.S.; Cui, Y.F.; Yang, Z.Y. Numerical Evaluation of Particle Shape Effect on Small Strain Properties of Granular Soils. Eng. Geol. 2022, 303, 106652. [Google Scholar] [CrossRef]
- Zhu, Y.; Gong, J.; Nie, Z. Shear Behaviours of Cohesionless Mixed Soils Using the DEM: The Influence of Coarse Particle Shape. Particuology 2021, 55, 151–165. [Google Scholar] [CrossRef]
- Pinto, F.; Whittle, A.J. Ground Movements Due to Shallow Tunnels in Soft Ground. I: Analytical Solutions. J. Geotech. Geoenviron. Eng. 2014, 140, 04013040. [Google Scholar] [CrossRef]
- Pinto, F.; Zymnis, D.M.; Whittle, A.J. Ground Movements Due to Shallow Tunnels in Soft Ground. II: Analytical Interpretation and Prediction. J. Geotech. Geoenviron. Eng. 2014, 140, 04013041. [Google Scholar] [CrossRef]
- Mair, R.J.; Taylor, R.N.; Bracegirdle, A. Subsurface Settlement Profiles above Tunnels in Clays. Géotechnique 1993, 43, 315–320. [Google Scholar] [CrossRef]
- Marshall, A.M.; Farrell, R.; Klar, A.; Mair, R. Tunnels in Sands: The Effect of Size, Depth and Volume Loss on Greenfield Displacements. Géotechnique 2012, 62, 385–399. [Google Scholar] [CrossRef]
- Shao, L.; Zhou, X.; Zeng, H. Comparison of Soil Pressure Calculating Methods Based on Terzaghi Model in Different Standards. Open Civ. Eng. J. 2016, 10, 481–488. [Google Scholar] [CrossRef]
- Zhang, H.; Zhang, P.; Zhou, W.; Dong, S.; Ma, B. A New Model to Predict Soil Pressure Acting on Deep Burial Jacked Pipes. Tunn. Undergr. Sp. Technol. 2016, 60, 183–196. [Google Scholar] [CrossRef]
- Zhang, Z.X.; Hu, X.Y.; Scott, K.D. A Discrete Numerical Approach for Modeling Face Stability in Slurry Shield Tunnelling in Soft Soils. Comput. Geotech. 2011, 38, 94–104. [Google Scholar] [CrossRef]
- Yin, Z.-Y.; Wang, P.; Zhang, F. Effect of Particle Shape on the Progressive Failure of Shield Tunnel Face in Granular Soils by Coupled FDM-DEM Method. Tunn. Undergr. Sp. Technol. 2020, 100, 103394. [Google Scholar] [CrossRef]
- Chen, R.P.; Liu, Q.W.; Wu, H.N.; Wang, H.L.; Meng, F.Y. Effect of Particle Shape on the Development of 2D Soil Arching. Comput. Geotech. 2020, 125, 103662. [Google Scholar] [CrossRef]
- Ali, U.; Otsubo, M.; Ebizuka, H.; Kuwano, R. Particle-Scale Insight into Soil Arching under Trapdoor Condition. Soils Found. 2020, 60, 1171–1188. [Google Scholar] [CrossRef]
- Yang, J.; Luo, X.D. Exploring the Relationship between Critical State and Particle Shape for Granular Materials. J. Mech. Phys. Solids 2015, 84, 196–213. [Google Scholar] [CrossRef]
- PFC. Available online: http://docs.itascacg.com/pfc600/pfc/docproject/source/manual/pfc_model_components/pfc_model_components.html?node1197 (accessed on 25 August 2022).
- Zhu, Y.; Nie, Z.; Gong, J. Influence of the Rolling-Resistance-Based Shape of Coarse Particles on the Shear Responses of Granular Mixtures. Particuology 2020, 52, 67–82. [Google Scholar] [CrossRef]
- Nomoto, T.; Imamura, S.; Hagiwara, T.; Kusakabe, O.; Fujii, N. Shield Tunnel Construction in Centrifuge. J. Geotech. Geoenviron. Eng. 1999, 125, 289–300. [Google Scholar] [CrossRef]
- Huang, X.; O’sullivan, C.; Hanley, K.J.; Kwok, C.Y. Discrete-Element Method Analysis of the State Parameter. Géotechnique 2014, 64, 954–965. [Google Scholar] [CrossRef]
- Huang, X.; Hanley, K.J.; O’Sullivan, C.; Kwok, C.Y. Exploring the Influence of Interparticle Friction on Critical State Behaviour Using DEM. Int. J. Numer. Anal. Methods Geomech. 2014, 38, 1276–1297. [Google Scholar] [CrossRef]
- Bym, T.; Marketos, G.; Burland, J.B.; O’Sullivan, C. Use of a Two-Dimensional Discrete-Element Line-Sink Model to Gain Insight into Tunnelling-Induced Deformations. Geotechnique 2013, 63, 791–795. [Google Scholar] [CrossRef]
- Hu, X.; He, C.; Lai, X.; Walton, G.; Fu, W.; Fang, Y. A DEM-Based Study of the Disturbance in Dry Sandy Ground Caused by EPB Shield Tunneling. Tunn. Undergr. Sp. Technol. 2020, 101, 103410. [Google Scholar] [CrossRef]
- Hu, X.; Fu, W.; Wu, S.; Fang, Y.; Wang, J.; He, C. Numerical Study on the Tunnel Stability in Granular Soil Using DEM Virtual Air Bag Model. Acta Geotech. 2021, 16, 3285–3300. [Google Scholar] [CrossRef]
- Qin, Y.; Lai, J.; Gao, G.; Yang, T.; Zan, W.; Feng, Z.; Liu, T. Failure Analysis and Countermeasures of a Tunnel Constructed in Loose Granular Stratum by Shallow Tunnelling Method. Eng. Fail. Anal. 2022, 141, 106667. [Google Scholar] [CrossRef]
































| AR | C | r |
|---|---|---|
| 0.59 | 0.92 | 0.265 |
| 0.68 | 0.94 | 0.27 |
| 0.74 | 0.96 | 0.285 |
| 0.80 | 0.98 | 0.32 |
| 0.87 | 0.992 | 0.37 |
| Parameters | Value | Unit |
|---|---|---|
| Normal stiffness | 2 × 109 | Pa |
| Shear stiffness | 1.333 × 109 | Pa |
| Friction coefficient | 0.5 | - |
| Rolling friction coefficient | 0.5 | - |
| Damping | 0.5 | - |
Publisher’s Note: MDPI stays neutral with regard to jurisdictional claims in published maps and institutional affiliations. |
© 2022 by the authors. Licensee MDPI, Basel, Switzerland. This article is an open access article distributed under the terms and conditions of the Creative Commons Attribution (CC BY) license (https://creativecommons.org/licenses/by/4.0/).
Share and Cite
Zhang, Z.; Gao, X.; Wang, S. Role of Particle Shape on Ground Responses to a Circular Tunnel Excavation in Sandy Soil: Consequences from DEM Simulations. Materials 2022, 15, 7088. https://doi.org/10.3390/ma15207088
Zhang Z, Gao X, Wang S. Role of Particle Shape on Ground Responses to a Circular Tunnel Excavation in Sandy Soil: Consequences from DEM Simulations. Materials. 2022; 15(20):7088. https://doi.org/10.3390/ma15207088
Chicago/Turabian StyleZhang, Zixin, Xiaogeng Gao, and Shuaifeng Wang. 2022. "Role of Particle Shape on Ground Responses to a Circular Tunnel Excavation in Sandy Soil: Consequences from DEM Simulations" Materials 15, no. 20: 7088. https://doi.org/10.3390/ma15207088
APA StyleZhang, Z., Gao, X., & Wang, S. (2022). Role of Particle Shape on Ground Responses to a Circular Tunnel Excavation in Sandy Soil: Consequences from DEM Simulations. Materials, 15(20), 7088. https://doi.org/10.3390/ma15207088

