Self-Healing of SiC-Al2O3-B4C Ceramic Composites at Low Temperatures
Abstract
:1. Introduction
2. Materials and Methods
2.1. Fabrication of the Ceramic Composite
2.2. Characterization of the Ceramic Composite
3. Results and Discussion
3.1. Composite Microstructure
3.2. Oxidation Induced Crack Healing
3.3. Recovery of Flexural Strength
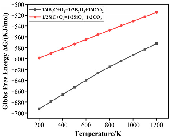
3.4. Self-Healing Mechanism
4. Conclusions
Author Contributions
Funding
Institutional Review Board Statement
Informed Consent Statement
Data Availability Statement
Conflicts of Interest
References
- Basu, B.; Vleugels, J.; Van Der Biest, O. Microstructure–Toughness–Wear Relationship of Tetragonal Zirconia Ceramics. J. Eur. Ceram. Soc. 2004, 24, 2031–2040. [Google Scholar] [CrossRef]
- Kumar, B.V.M.; Kim, W.-S.; Hong, S.-H.; Bae, H.-T.; Lim, D.-S. Effect of grain size on wear behavior in Y-TZP ceramics. Mater. Sci. Eng. A 2010, 527, 474–479. [Google Scholar] [CrossRef]
- Yang, C.-C.T.; Wei, W.-C.J. Effects of material properties and testing parameters on wear properties of fine-grain zirconia (TZP). Wear 2000, 242, 97–104. [Google Scholar] [CrossRef]
- Christin, R.N.F. SiC-Matrix Composite Materials for Advanced Jet Engines. MRS Bull. 2003, 28, 654–658. [Google Scholar]
- RizvanBasha, M.; Udayakumar, A.; Stalin, M.; Singh, S.; Prasad, V.B.; Sankaranarayanan, S.R. Vapour phase synthesis and characterisation of Cf/SiC composites with self-healing Si-B-C monolayer coating. Ceram. Int. 2020, 46, 23785–23796. [Google Scholar] [CrossRef]
- Shan, Q.; Xue, Y.; Hu, J.; Xu, Q.; Ma, Q.; Zeng, S.; Lian, J.; Wang, Y.; Shui, A. More Effective Crack Self-Healing Capability of SiCf/SiC-B4C with Al2O3 Modified under Wet Environment. J. Am. Ceram. Soc. 2020, 103, 7247–7258. [Google Scholar] [CrossRef]
- Yang, W.; Zhang, L.; Cheng, L.; Liu, Y.; Zhang, W. Oxidation Behavior of C/SiC Composite with CVD SiC-B4C Coating in a Wet Oxygen Environment. Appl. Compos. Mater. 2009, 16, 83–92. [Google Scholar] [CrossRef]
- Gong, J.; Miao, H.; Zhao, Z.; Guan, Z. Effect of TiC particle size on the toughness characteristics of Al2O3–TiC composites. Mater. Lett. 2001, 49, 235–238. [Google Scholar] [CrossRef]
- Zhang, X.-P.; Ouyang, J.-H.; Liu, Z.-G.; Wang, Y.-J.; Wang, Y.-M. Crack-healing behavior and strength recovery of hot-pressed TZ3Y20A–MoSi2 ceramics. Mater. Sci. Eng. A 2015, 648, 299–304. [Google Scholar] [CrossRef]
- Nguyen, S.T.; Takahashi, T.; Okawa, A.; Suematsu, H.; Niihara, K.; Nakayama, T. Improving self-healing ability and flexural strength of ytterbium silicate-based nanocomposites with silicon carbide nanoparticulates and whiskers. J. Ceram. Soc. Jpn. 2021, 129, 209–216. [Google Scholar] [CrossRef]
- Yang, H.; Pei, Y.; Song, G.; De Hosson, J. Healing performance of Ti2AlC ceramic studied with in situ microcantilever bending. J. Eur. Ceram. Soc. 2012, 33, 383–391. [Google Scholar] [CrossRef]
- Li, S.; Song, G.; Kwakernaak, K.; van der Zwaag, S.; Sloof, W.G. Multiple crack healing of a Ti2AlC ceramic. J. Eur. Ceram. Soc. 2012, 32, 1813–1820. [Google Scholar] [CrossRef]
- Li, S.; Bei, G.; Chen, X.; Zhang, L.; Zhou, Y.; Mačković, M.; Spiecker, E.; Greil, P. Crack healing induced electrical and mechanical properties recovery in a Ti2SnC ceramic. J. Eur. Ceram. Soc. 2016, 36, 25–32. [Google Scholar] [CrossRef]
- Nakatani, M.; Ando, K.; Houjou, K. Oxidation Behaviour of Si3N4/Y2O3 System Ceramics and Effect of Crack-Healing Treatment On Oxidation. J. Eur. Ceram. Soc. 2008, 28, 1251–1257. [Google Scholar] [CrossRef]
- Zhao, J.; Guo, Q.; Shi, J.; Zhai, G.; Liu, L. SiC/Si–MoSi2 oxidation protective coatings for carbon materials. Surf. Coat. Technol. 2006, 201, 1861–1865. [Google Scholar] [CrossRef]
- Shiro Shimada, T.S. Preparation and High Temperature Oxidation of SiC Compositionally Graded Graphite Coated with HfO2. Carbon 2002, 40, 2469–2475. [Google Scholar] [CrossRef]
- Seifert, H.J.; Wagner, S.; Fabrichnaya, O.; Lukas, H.L.; Aldinger, F.; Ullmann, T.; Schmücker, M.; Schneider, H. Yttrium Silicate Coatings on Chemical Vapor Deposition-SiC-Precoated C/C-SiC: Thermodynamic Assessment and High-Temperature Investigation. J. Am. Ceram. Soc. 2005, 88, 424–430. [Google Scholar] [CrossRef]
- Sun, C.; Li, H.; Fu, Q.; Li, H.; Wang, Y.; Wu, H. ZrSiO4 Oxidation Protective Coating for SiC-Coated Carbon/Carbon Composites Prepared by Supersonic Plasma Spraying. J. Therm. Spray Technol. 2013, 22, 525–530. [Google Scholar] [CrossRef] [Green Version]
- Wang, L.; Fu, Q.; Zhao, F.; Zhao, Z. Constructing self-healing ZrSi2-MoSi2 coating for C/C composites with enhanced oxidation protective ability. Surf. Coat. Technol. 2018, 347, 257–269. [Google Scholar] [CrossRef]
- Bei, G.; Mačković, M.; Spiecker, E.; Greil, P. Low-Temperature Oxidation-Induced Crack Healing in Ti2Al0.5Sn0.5C-Al2O3 Composites. Int. J. Appl. Ceram. Technol. 2019, 16, 1744–1751. [Google Scholar] [CrossRef]
- Yoshioka, S.; Boatemaa, L.; van der Zwaag, S.; Nakao, W.; Sloof, W.G. On the use of TiC as high-temperature healing particles in alumina based composites. J. Eur. Ceram. Soc. 2016, 36, 4155–4162. [Google Scholar] [CrossRef] [Green Version]
- Castanié, S.; Méar, F.O.; Podor, R.; Suhonen, H.; Montagne, L.; Riemanis, I.; Riemanis, I. 2D- and 3D Observation and Mechanism of Self-Healing in Glass-Boron Composites. J. Am. Ceram. Soc. 2016, 99, 849–855. [Google Scholar] [CrossRef]
- Bakhit, B.; Palisaitis, J.; Thörnberg, J.; Rosen, J.; Persson, P.O.; Hultman, L.; Petrov, I.; Greene, J.; Greczynski, G. Improving the high-temperature oxidation resistance of TiB2 thin films by alloying with Al. Acta Mater. 2020, 196, 677–689. [Google Scholar] [CrossRef]
- Cao, X.; Wang, B.; Ma, X.; Feng, L.; Shen, X.; Wang, C. Oxidation Behavior of Melt-Infiltrated SiC–TiB2 Ceramic Composites at 500–1300 °C in Air. Ceram. Int. 2021, 47, 9881–9887. [Google Scholar] [CrossRef]
- Hvizdoš, P.; Kašiarová, M. Indentation Crack Healing in Low Glass-Content Mullite. Key Eng. Mater. 2002, 223, 257–260. [Google Scholar] [CrossRef]
- Gouin, X.; Grange, P.; Bois, L.; L’Haridon, P.; Laurent, Y. Oxidation Behaviour of a Boron Carbide Based Material in Dry and Wet Oxygen. J. Therm. Anal. Calorim. 2001, 63, 507–515. [Google Scholar]
- Takahashi, K.; Yokouchi, M.; Lee, S.-K.; Ando, K. Crack-Healing Behavior of Al2O3Toughened by SiC Whiskers. J. Am. Ceram. Soc. 2003, 86, 2143–2147. [Google Scholar] [CrossRef]
- Xu, J.; Chen, L.; Tan, K.F.; Borgna, A.; Saeys, M. Effect of boron on the stability of Ni catalysts during steam methane reforming. J. Catal. 2009, 261, 158–165. [Google Scholar] [CrossRef]
- Gouin, X.; Grange, P.; Bois, L.; L’Haridon, P.; Laurent, Y. Characterization of the nitridation process of boric acid. J. Alloys Compd. 1995, 224, 22–28. [Google Scholar] [CrossRef]
- Li, F.-T.; Liu, S.-J.; Xue, Y.-B.; Wang, X.-J.; Hao, Y.-J.; Zhao, J.; Liu, R.-H.; Zhao, D. Structure Modification Function of g-C3N4 for Al2O3 in the In Situ Hydrothermal Process for Enhanced Photocatalytic Activity. Chem. Eur. J. 2015, 21, 10149–10159. [Google Scholar] [CrossRef]
- Li, M.; Huang, C.; Zhao, B.; Liu, H.; Wang, J.; Liu, Z. Crack-healing behavior of Al2O3-TiB2-TiSi2 ceramic material. Ceram. Int. 2018, 44, 2132–2137. [Google Scholar] [CrossRef]
- Bei, G.P.; Pedimonte, B.J.; Pezoldt, M.; Ast, J.; Fey, T.; Göken, M.; Greil, P. Crack Healing in Ti2Al0.5Sn0.5C-Al2O3 Composites. J. Am. Ceram. Soc. 2015, 98, 1604–1610. [Google Scholar] [CrossRef]
- Chen, G.; Zhang, R.; Zhang, X.; Zhao, L.; Han, W. Oxidation-induced crack healing in Zr2Al4C5 ceramic. Mater. Des. 2009, 30, 3602–3607. [Google Scholar] [CrossRef]
- Lin, J.; Huang, Y.; Zhang, H. Crack healing and strengthening of SiC whisker and ZrO2 fiber reinforced ZrB2 ceramics. Ceram. Int. 2014, 40, 16811–16815. [Google Scholar] [CrossRef]
- Tao, X.; Xu, X.; Xu, X.; Hong, W.; Guo, A.; Hou, F.; Liu, J. Self-Healing Behavior in MoSi2/borosilicate Glass Composite. J. Eur. Ceram. Soc. 2017, 37, 871–875. [Google Scholar] [CrossRef]
- Zhang, R.; Ye, C.; Zhang, Y. Strengthening of Porous TiB2-SiC Ceramics by Pre-Oxidation and Crack-Healing. Appl. Surf. Sci. 2015, 360, 1036–1040. [Google Scholar] [CrossRef]












Publisher’s Note: MDPI stays neutral with regard to jurisdictional claims in published maps and institutional affiliations. |
© 2022 by the authors. Licensee MDPI, Basel, Switzerland. This article is an open access article distributed under the terms and conditions of the Creative Commons Attribution (CC BY) license (https://creativecommons.org/licenses/by/4.0/).
Share and Cite
Wang, B.; Tu, R.; Wei, Y.; Cai, H. Self-Healing of SiC-Al2O3-B4C Ceramic Composites at Low Temperatures. Materials 2022, 15, 652. https://doi.org/10.3390/ma15020652
Wang B, Tu R, Wei Y, Cai H. Self-Healing of SiC-Al2O3-B4C Ceramic Composites at Low Temperatures. Materials. 2022; 15(2):652. https://doi.org/10.3390/ma15020652
Chicago/Turabian StyleWang, Baoguo, Rong Tu, Yinglong Wei, and Haopeng Cai. 2022. "Self-Healing of SiC-Al2O3-B4C Ceramic Composites at Low Temperatures" Materials 15, no. 2: 652. https://doi.org/10.3390/ma15020652
APA StyleWang, B., Tu, R., Wei, Y., & Cai, H. (2022). Self-Healing of SiC-Al2O3-B4C Ceramic Composites at Low Temperatures. Materials, 15(2), 652. https://doi.org/10.3390/ma15020652

