Influence of Isostatic Pressure on the Elastic and Electronic Properties of K2SiF6:Mn4+
Abstract
:1. Introduction
2. Computational Method
3. Results and Discussion
4. Conclusions
Author Contributions
Funding
Institutional Review Board Statement
Informed Consent Statement
Data Availability Statement
Conflicts of Interest
References
- Brik, M.; Srivastava, A. On the optical properties of the Mn4+ ion in solids. J. Lumin. 2013, 133, 69–72. [Google Scholar] [CrossRef]
- Arai, Y.; Adachi, S. Optical properties of Mn4+-activated Na2SnF6 and Cs2SnF6 red phosphors. J. Lumin. 2011, 131, 2652–2660. [Google Scholar] [CrossRef]
- Srivastava, A.; Brik, M. Ab initio and crystal field studies of the Mn4+-doped Ba2LaNbO6 double-perovskite. J. Lumin. 2012, 132, 579–584. [Google Scholar] [CrossRef]
- Nguyen, H.-D.; Liu, R.-S. Narrow-band red-emitting Mn4+-doped hexafluoride phosphors: Synthesis, optoelectronic properties, and applications in white light-emitting diodes. J. Mater. Chem. C 2016, 4, 10759–10775. [Google Scholar] [CrossRef]
- Adachi, S. Photoluminescence properties of Mn4+-activated oxide phosphors for use in white-LED applications: A review. J. Lumin. 2018, 202, 263–281. [Google Scholar] [CrossRef]
- Adachi, S. Crystal-field and Racah parameters of Mn4+ ion in red and deep red-emitting phosphors: Fluoride versus oxide phosphor. J. Lumin. 2020, 218, 116829. [Google Scholar] [CrossRef]
- Senden, T.; Van Dijk-Moes, R.J.A.; Meijerink, A. Quenching of the red Mn4+ luminescence in Mn4+-doped fluoride LED phosphors. Light Sci. Appl. 2018, 7, 8. [Google Scholar] [CrossRef]
- Adachi, S. Photoluminescence spectra and modeling analyses of Mn4+-activated fluoride phosphors: A review. J. Lumin. 2018, 197, 119–130. [Google Scholar] [CrossRef]
- Arai, T.; Adachi, S. Excited States of 3d33 Electrons in K22SiF66:Mn4+4+ Red Phosphor Studied by Photoluminescence Excitation Spectroscopy. Jpn. J. Appl. Phys. 2011, 50, 092401. [Google Scholar] [CrossRef]
- Sijbom, H.F.; Joos, J.; Martin, L.; Eeckhout, K.V.D.; Poelman, D.; Smet, P. Luminescent Behavior of the K2SiF6:Mn4+ Red Phosphor at High Fluxes and at the Microscopic Level. ECS J. Solid State Sci. Technol. 2015, 5, R3040–R3048. [Google Scholar] [CrossRef] [Green Version]
- Setlur, A.A.; Radkov, E.V.; Henderson, C.S.; Her, J.-H.; Srivastava, A.M.; Karkada, N.; Kishore, M.S.; Kumar, N.P.; Aesram, D.; Deshpande, A.; et al. Energy-Efficient, High-Color-Rendering LED Lamps Using Oxyfluoride and Fluoride Phosphors. Chem. Mater. 2010, 22, 4076–4082. [Google Scholar] [CrossRef]
- Du, M.H. Chemical trends of Mn4+ emission in solids. J. Mater. Chem. C 2014, 2, 2475–2481. [Google Scholar] [CrossRef]
- Wang, Y.; Wen, T.; Tang, L.; Yang, L.; Yang, W.; Zhao, Y. Impact of hydrostatic pressure on the crystal structure and photoluminescence properties of Mn4+-doped BaTiF6 red phosphor. Dalton Trans. 2015, 44, 7578–7585. [Google Scholar] [CrossRef] [PubMed]
- Zhang, N.; Tsai, Y.-T.; Fang, M.-H.; Ma, C.-G.; Lazarowska, A.; Mahlik, S.; Grinberg, M.; Chiang, C.-Y.; Zhou, W.; Lin, J.G.; et al. Aluminate Red Phosphor in Light-Emitting Diodes: Theoretical Calculations, Charge Varieties, and High-Pressure Luminescence Analysis. ACS Appl. Mater. Interfaces 2017, 9, 23995–24004. [Google Scholar] [CrossRef] [Green Version]
- Lazarowska, A.; Mahlik, S.; Grinberg, M.; Lin, C.C.; Liu, R.-S. Pressure effect on the zero-phonon line emission of Mn4+ in K2SiF6. J. Chem. Phys. 2015, 143, 134704. [Google Scholar] [CrossRef]
- Kresse, G.; Furthmüller, J. Efficiency of ab-initio total energy calculations for metals and semiconductors using a plane-wave basis set. Comput. Mater. Sci. 1996, 6, 15–50. [Google Scholar] [CrossRef]
- Perdew, J.P.; Burke, K.; Wang, Y. Generalized gradient approximation for the exchange-correlation hole of a many-electron system. Phys. Rev. B 2014, 54, 16533–16539. [Google Scholar] [CrossRef] [Green Version]
- Loehlin, J.H. Redetermination of the Structure of Potassium Hexafluorosilicate, K2SiF6. Acta Cryst. C 1984, 40, 570. [Google Scholar] [CrossRef] [Green Version]
- Monkhorst, H.J.; Pack, J.D. Special points for Brillouin-zone integrations. Phys. Rev. B 1976, 13, 5188. [Google Scholar] [CrossRef]
- Novita, M.; Honma, T.; Hong, B.; Ohishi, A.; Ogasawara, K. Study of multiplet structures of Mn4+ activated in fluoride crystals. J. Lumin. 2016, 169, 594–600. [Google Scholar] [CrossRef]
- Murnaghan, F.D. The Compressibility of Media under Extreme Pressures. Proc. Natl. Acad. Sci. USA 1944, 30, 244–247. [Google Scholar] [CrossRef] [Green Version]
- Brik, M.G.; Srivastava, A.M. Ab Initio Studies of the Structural, Electronic, and Optical Properties of K2SiF6 Single Crystals at Ambient and Elevated Hydrostatic Pressure. J. Electrochem. Soc. 2012, 159, J212–J216. [Google Scholar] [CrossRef]
- Nielsen, O.H.; Martin, R.M. First-Principles Calculation of Stress. Phys. Rev. Lett. 1983, 50, 697–700. [Google Scholar] [CrossRef]
- Poirier, J.; Brown, J.M. Introduction to the Physics of the Earth’s Deep Interior. Phys. Today 1992, 45, 66–67. [Google Scholar] [CrossRef]
- Anderson, O.L. A simplified method for calculating the debye temperature from elastic constants. J. Phys. Chem. Solids 1963, 24, 909–917. [Google Scholar] [CrossRef]
- Subhoni, M.; Zafari, U.; Srivastava, A.M.; Beers, W.W.; Cohen, W.; Brik, M.G.; Yamamoto, T. First-principles investigations of geometrical and electronic structures of Mn4+ doped A2SiF6 (A = K, Rb, Cs) red phosphors. Opt. Mater. 2021, 115, 110986. [Google Scholar] [CrossRef]
- Paulusz, A.G. Efficient Mn(IV) Emission in Fluorine Coordination. J. Electrochem. Soc. 1973, 120, 942. [Google Scholar] [CrossRef]









| System | Calc. (Å) | Exp. (Å) | |
|---|---|---|---|
| K2SiF6 | a | 8.336 | 8.134 a |
| Si-F | 1.720 | 1.683 a | |
| K2SiF6:Mn4+ | a | 8.357 | |
| Mn-F | 1.835 | 1.807 b |
| System | Pressure | C11 | C12 | C44 |
|---|---|---|---|---|
| K2SiF6 | 0 | 28.2 | 11.3 | 14.3 |
| 5 | 55.6 | 35.2 | 20.4 | |
| 10 | 77.1 | 52.7 | 30.5 | |
| 15 | 100.1 | 70.5 | 36.6 | |
| 20 | 119.0 | 84.9 | 46.0 | |
| 25 | 137.5 | 99.2 | 52.5 | |
| 30 | 157.4 | 113.3 | 60.1 | |
| 35 | 176.7 | 127.9 | 68.0 | |
| 40 | 195.7 | 141.5 | 75.8 | |
| K2SiF6:Mn4+ | 0 | 23.7 | 9.0 | 11.0 |
| 5 | 45.8 | 28.1 | 20.1 | |
| 10 | 62.9 | 40.3 | 28.4 | |
| 15 | 90.3 | 62.5 | 36.4 | |
| 20 | 112.0 | 78.3 | 45.0 | |
| 25 | 133.0 | 93.9 | 53.5 | |
| 30 | 154.4 | 109.4 | 61.9 | |
| 35 | 175.0 | 123.7 | 70.5 | |
| 40 | 195.3 | 137.4 | 79.2 |
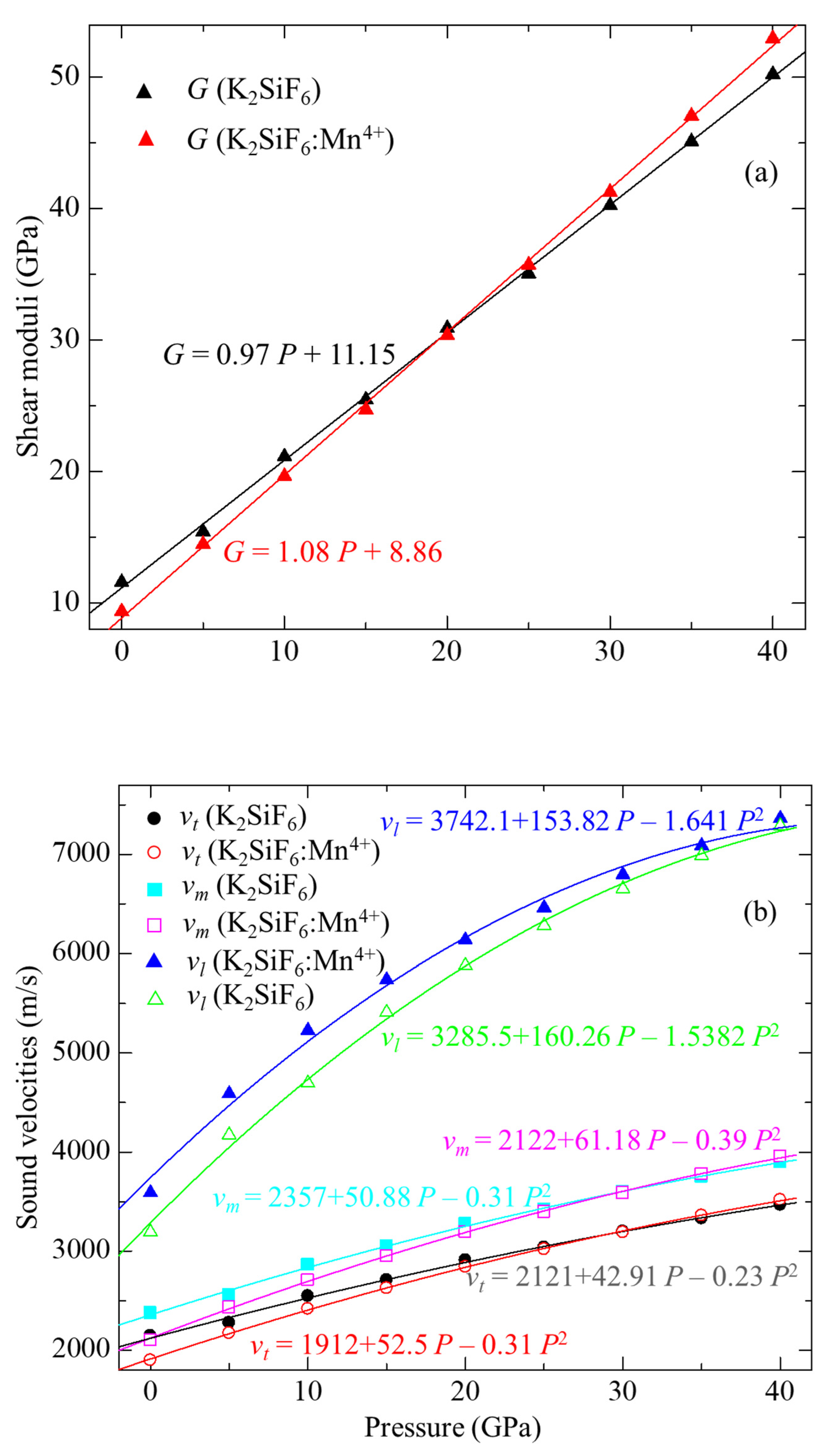
| System | P, GPa | G, GPa | vt, m/s | vl, m/s | vm, m/s | ΘD, K |
|---|---|---|---|---|---|---|
| K2SiF6 | 0 | 11.59 | 2146.70 | 3590.80 | 2375.61 | 280 |
| 5 | 15.44 | 2278.49 | 4589.10 | 2557.08 | 319 | |
| 10 | 21.15 | 2547.46 | 5227.87 | 2861.95 | 368 | |
| 15 | 25.48 | 2708.88 | 5738.69 | 3048.37 | 400 | |
| 20 | 30.91 | 2909.98 | 6138.43 | 3273.96 | 437 | |
| 25 | 35.06 | 3037.20 | 6463.19 | 3418.59 | 462 | |
| 30 | 40.26 | 3199.14 | 6796.39 | 3600.57 | 493 | |
| 35 | 45.13 | 3331.08 | 7089.15 | 3749.39 | 519 | |
| 40 | 50.24 | 3467.45 | 7364.17 | 3902.49 | 545 | |
| K2SiF6:Mn4+ | 0 | 9.36 | 1900.48 | 3193.65 | 2104.06 | 248 |
| 5 | 14.49 | 2174.34 | 4174.21 | 2432.98 | 303 | |
| 10 | 19.65 | 2419.06 | 4696.07 | 2708.78 | 348 | |
| 15 | 24.72 | 2628.23 | 5410.22 | 2953.19 | 388 | |
| 20 | 30.38 | 2842.32 | 5881.25 | 3194.64 | 426 | |
| 25 | 35.74 | 3020.83 | 6283.09 | 3396.21 | 459 | |
| 30 | 41.28 | 3191.09 | 6653.71 | 3588.09 | 491 | |
| 35 | 47.08 | 3361.47 | 6990.49 | 3779.15 | 522 | |
| 40 | 52.97 | 3518.48 | 7289.33 | 3954.87 | 551 |
| Pressure (GPa) | Calc. (eV) | Exp. (eV) | |
|---|---|---|---|
| 10Dq | 0 | 2.76 | 2.74 a |
| 5 | 2.83 | ||
| 10 | 2.87 | ||
| 15 | 2.90 | ||
| 20 | 2.93 | ||
| 25 | 2.96 | ||
| 30 | 3.00 | ||
| 35 | 3.03 | ||
| 40 | 3.06 | ||
| 2E → 4A2 | 0 | 2.74 | 1.99 b |
| 5 | 2.72 | ||
| 10 | 2.70 | ||
| 15 | 2.68 | ||
| 20 | 2.66 | ||
| 25 | 2.64 | ||
| 30 | 2.63 | ||
| 35 | 2.62 | ||
| 40 | 2.60 |
Publisher’s Note: MDPI stays neutral with regard to jurisdictional claims in published maps and institutional affiliations. |
© 2022 by the authors. Licensee MDPI, Basel, Switzerland. This article is an open access article distributed under the terms and conditions of the Creative Commons Attribution (CC BY) license (https://creativecommons.org/licenses/by/4.0/).
Share and Cite
Subhoni, M.; Zafari, U.; Ma, C.-G.; Srivastava, A.M.; Beers, W.W.; Cohen, W.E.; Brik, M.G.; Piasecki, M.; Yamamoto, T. Influence of Isostatic Pressure on the Elastic and Electronic Properties of K2SiF6:Mn4+. Materials 2022, 15, 613. https://doi.org/10.3390/ma15020613
Subhoni M, Zafari U, Ma C-G, Srivastava AM, Beers WW, Cohen WE, Brik MG, Piasecki M, Yamamoto T. Influence of Isostatic Pressure on the Elastic and Electronic Properties of K2SiF6:Mn4+. Materials. 2022; 15(2):613. https://doi.org/10.3390/ma15020613
Chicago/Turabian StyleSubhoni, Mekhrdod, Umar Zafari, Chong-Geng Ma, Alok M. Srivastava, William W. Beers, William E. Cohen, Mikhail G. Brik, Michal Piasecki, and Tomoyuki Yamamoto. 2022. "Influence of Isostatic Pressure on the Elastic and Electronic Properties of K2SiF6:Mn4+" Materials 15, no. 2: 613. https://doi.org/10.3390/ma15020613
APA StyleSubhoni, M., Zafari, U., Ma, C.-G., Srivastava, A. M., Beers, W. W., Cohen, W. E., Brik, M. G., Piasecki, M., & Yamamoto, T. (2022). Influence of Isostatic Pressure on the Elastic and Electronic Properties of K2SiF6:Mn4+. Materials, 15(2), 613. https://doi.org/10.3390/ma15020613

