HfAlOx/Al2O3 Bilayer Dielectrics for a Field Effect Transistor on a Hydrogen-Terminated Diamond
Abstract
:1. Introduction
2. Materials and Methods
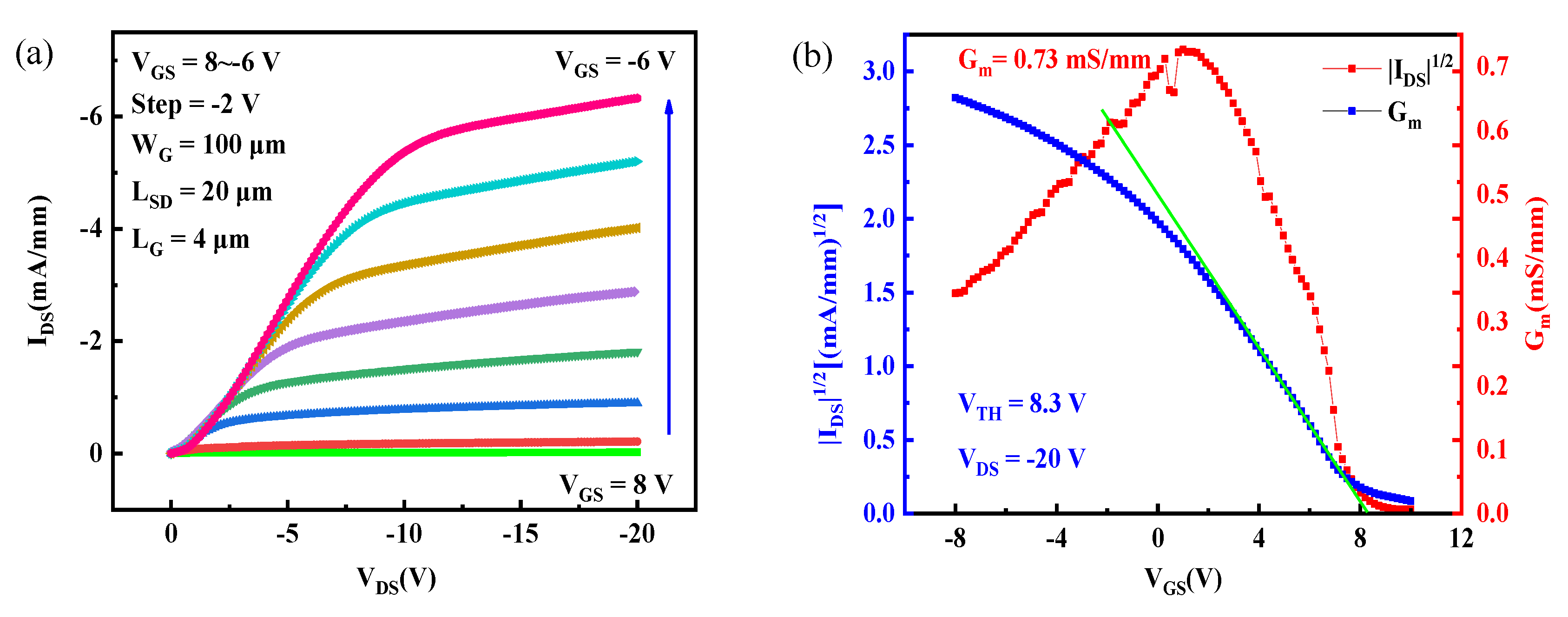
3. Results and Discussion
4. Conclusions
Author Contributions
Funding
Institutional Review Board Statement
Informed Consent Statement
Data Availability Statement
Conflicts of Interest
References
- Isberg, J.; Hammersberg, J.; Johansson, E.; Wikström, T.; Twitchen, D.J.; Whitehead, A.J.; Coe, S.E.; Scarsbrook, G.A. High carrier mobility in single-crystal plasma-deposited diamond. Science 2002, 297, 1670–1672. [Google Scholar] [CrossRef] [PubMed]
- Maier, F.; Riedel, M.; Mantel, B.; Ristein, J.; Ley, L. Origin of surface conductivity in diamond. Phys. Rev. Lett. 2000, 85, 3472–3475. [Google Scholar] [CrossRef] [PubMed]
- Crawford, K.G.; Weil, J.D.; Shah, P.B.; Ruzmetov, D.A.; Neupane, M.R.; Kingkeo, K.; Birdwell, A.G.; Ivanv, T.G. Diamond field-effect transistors with V2O5-induced transfer doping: Scaling to 50-nm gate length. IEEE Trans. Electron Devices 2020, 67, 2270–2275. [Google Scholar] [CrossRef]
- Liu, J.W.; Teraji, T.; Da, B.; Ohsato, H.; Koide, Y. Effect of annealing temperature on performances of boron-doped diamond metal-semiconductor field-effect transistors. IEEE Trans. Electron Devices 2020, 67, 1680–1685. [Google Scholar] [CrossRef]
- Wang, W.; Fu, K.; Hu, C.; Li, F.N.; Liu, Z.C.; Li, S.Y.; Lin, F.; Fu, J.; Wang, J.J.; Wang, H.X. Diamond based field-effect transistors with SiNx and ZrO2 double dielectric layers. Diam. Relat. Mater. 2016, 69, 237–240. [Google Scholar] [CrossRef]
- Kawarada, H. Hydrogen-terminated diamond surfaces and interfaces. Surf. Sci. Rep. 1996, 26, 205–259. [Google Scholar] [CrossRef]
- Liao, M.Y.; Sang, L.W.; Shimaoka, T.; Imura, M.; Koizumi, S.; Koide, Y. Energy-efficient metal-insulator-metal-semiconductor field-effect transistors based on 2D carrier gases. Adv. Electron. Mater. 2019, 5, 1800832. [Google Scholar] [CrossRef]
- Wang, W.; Wang, Y.F.; Zhang, M.H.; Wang, R.Z.; Chen, G.Q.; Chang, X.H.; Lin, F.; Wen, F.; Jia, K.; Wang, H.X. An enhancement-mode hydrogen-terminated diamond field-effect transistor with lanthanum hexaboride gate material. IEEE Electron Device Lett. 2020, 41, 585–588. [Google Scholar] [CrossRef]
- Zhang, M.H.; Wang, W.; Fan, S.W.; Chen, G.Q.; Abbasi, H.N.; Lin, F.; Wen, F.; Zhang, J.W.; Bu, R.A.; Wang, H.X. Normally-off hydrogen-terminated diamond field effect transistor with yttrium gate. Carbon 2021, 176, 307–312. [Google Scholar] [CrossRef]
- Liu, J.W.; Liao, M.Y.; Imura, M.; Koide, Y. High-k ZrO2/Al2O3 bilayer on hydrogenated diamond: Band configuration, breakdown field, and electrical properties of field-effect transistors. J. Appl. Phys. 2016, 120, 124504. [Google Scholar] [CrossRef]
- Liu, J.W.; Liao, M.Y.; Imura, M.; Matsumoto, T.; Shibata, N.; Ikuhara, Y.; Koide, Y. Control of normally on/off characteristics in hydrogenated diamond metal-insulator-semiconductor field-effect transistors. J. Appl. Phys. 2015, 118, 115704. [Google Scholar] [CrossRef]
- Zhang, M.H.; Wang, W.; Chen, G.Q.; Abbasi, H.N.; Lin, F.; Wen, F.; Wang, K.Y.; Zhang, J.W.; Bu, R.A.; Wang, H.X. Electrical properties of yttrium gate hydrogen-terminated diamond field effect transistor with Al2O3 dielectric layer. Appl. Phys. Lett. 2021, 118, 053506. [Google Scholar] [CrossRef]
- Wang, W.; Hu, C.; Li, S.Y.; Li, F.N.; Liu, Z.C.; Wang, F.; Fu, J.; Wang, H.X. Diamond based field—Effect transistors of Zr gate with SiNx dielectric layers. J. Nanomater. 2015, 2015, 124640. [Google Scholar] [CrossRef] [Green Version]
- Liu, J.W.; Liao, M.Y.; Imura, M.; Koide, Y. Normally-off HfO2-gated diamond field effect transistors. Appl. Phys. Lett. 2013, 103, 092905. [Google Scholar] [CrossRef]
- Dong, H.K.; Shi, L.B. Impact of native defects in the high dielectric constant oxide HfSiO4 on MOS device performance. Chin. Phys. Lett. 2016, 33, 016101. [Google Scholar] [CrossRef]
- Liu, J.W.; Oosato, H.; Liao, M.Y.; Koide, Y. Enhancement-mode hydrogenated diamond metal-oxide-semiconductor field-effect transistors with Y2O3 oxide insulator grown by electron beam evaporator. Appl. Phys. Lett. 2017, 110, 203502. [Google Scholar] [CrossRef]
- Hayashi, K.; Yamanaka, S.; Watanabe, H.; Sekiguchi, T.; Okushi, H.; Kajimura, K. Investigation of the effect of hydrogen on electrical and optical properties in chemical vapor deposited on homoepitaxial diamond films. J. Appl. Phys. 1997, 81, 744–753. [Google Scholar] [CrossRef]
- Zhang, J.F.; Chen, W.J.; Ren, Z.Y.; Su, K.; Yang, P.Z.; Hu, Z.Z.; Zhang, J.C.; Hao, Y. Characterization and mobility analysis of normally off hydrogen-terminated diamond metal–oxide–semiconductor field-effect transistors. Phys. Status Solidi A 2020, 217, 1900462. [Google Scholar] [CrossRef]
- Chicot, G.; Marechal, A.; Motte, R.; Muret, P.; Gheeraert, E.; Pernot, J. Metal oxide semiconductor structure using oxygen-terminated diamond. Appl. Phys. Lett. 2013, 102, 242108. [Google Scholar] [CrossRef] [Green Version]
- Fei, W.X.; Bi, T.; Iwataki, M.; Imanishi, S.; Kawarada, H. Oxidized Si terminated diamond and its MOSFET operation with SiO2 gate insulator. Appl. Phys. Lett. 2020, 116, 269901. [Google Scholar] [CrossRef]
- Ren, Z.Y.; Zhang, J.F.; Zhang, J.C.; Zhang, C.F.; Xu, S.R.; Li, Y.; Hao, Y. Diamond field effect transistors with MoO3 gate dielectric. IEEE Electron Device Lett. 2017, 38, 786–789. [Google Scholar] [CrossRef]
- Mallik, S.; Mahata, C.; Hota, M.K.; Dalapati, G.K.; Chi, D.Z.; Sarkar, C.K.; Maiti, C.K. HfAlOx high-k gate dielectric on SiGe: Interfacial reaction, energy-band alignment, and charge trapping properties. Microelectron. Eng. 2010, 87, 2234–2240. [Google Scholar] [CrossRef]
- Wang, Y.F.; Wang, W.; Chang, X.H.; Abbasi, H.N.; Zhang, X.F.; Wang, R.Z.; Wang, H.X. Performance of hydrogen-terminated diamond MOSFET with bilayer dielectrics of YSZ/Al2O3. Diam. Relat. Mater. 2019, 99, 107532. [Google Scholar] [CrossRef]
- Wang, Y.F.; Wang, W.; Abbasi, H.N.; Chang, X.H.; Zhang, X.F.; Zhu, T.F.; Liu, Z.C.; Song, W.Z.; Chen, G.Q.; Wang, H.X. LiF/Al2O3 as dielectrics for MOSFET on single crystal hydrogen-terminated diamond. IEEE Electron Device Lett. 2020, 41, 808–811. [Google Scholar] [CrossRef]
- Liu, J.W.; Liao, M.Y.; Imura, M.; Watanabe, E.; Oosato, H.; Koide, Y. Diamond field effect transistors with a high-dielectric constant Ta2O5 as gate material. J. Phys. D Appl. Phys. 2014, 47, 245102. [Google Scholar] [CrossRef]
- Liu, J.W.; Liao, M.Y.; Imura, M.; Tanaka, A.; Iwai, H.; Koide, Y. Low on-resistance diamond field effect transistor with high-k ZrO2 as dielectric. Sci. Rep. 2014, 4, 6395. [Google Scholar] [CrossRef] [Green Version]





Publisher’s Note: MDPI stays neutral with regard to jurisdictional claims in published maps and institutional affiliations. |
© 2022 by the authors. Licensee MDPI, Basel, Switzerland. This article is an open access article distributed under the terms and conditions of the Creative Commons Attribution (CC BY) license (https://creativecommons.org/licenses/by/4.0/).
Share and Cite
Zhang, M.; Lin, F.; Wang, W.; Wen, F.; Chen, G.; He, S.; Wang, Y.; Fan, S.; Bu, R.; Wang, H. HfAlOx/Al2O3 Bilayer Dielectrics for a Field Effect Transistor on a Hydrogen-Terminated Diamond. Materials 2022, 15, 446. https://doi.org/10.3390/ma15020446
Zhang M, Lin F, Wang W, Wen F, Chen G, He S, Wang Y, Fan S, Bu R, Wang H. HfAlOx/Al2O3 Bilayer Dielectrics for a Field Effect Transistor on a Hydrogen-Terminated Diamond. Materials. 2022; 15(2):446. https://doi.org/10.3390/ma15020446
Chicago/Turabian StyleZhang, Minghui, Fang Lin, Wei Wang, Feng Wen, Genqiang Chen, Shi He, Yanfeng Wang, Shuwei Fan, Renan Bu, and Hongxing Wang. 2022. "HfAlOx/Al2O3 Bilayer Dielectrics for a Field Effect Transistor on a Hydrogen-Terminated Diamond" Materials 15, no. 2: 446. https://doi.org/10.3390/ma15020446
APA StyleZhang, M., Lin, F., Wang, W., Wen, F., Chen, G., He, S., Wang, Y., Fan, S., Bu, R., & Wang, H. (2022). HfAlOx/Al2O3 Bilayer Dielectrics for a Field Effect Transistor on a Hydrogen-Terminated Diamond. Materials, 15(2), 446. https://doi.org/10.3390/ma15020446

