Enhancement of Magnetic and Dielectric Properties of Ni0.25Cu0.25Zn0.50Fe2O4 Magnetic Nanoparticles through Non-Thermal Microwave Plasma Treatment for High-Frequency and Energy Storage Applications
Abstract
1. Introduction
2. Experimental Work
2.1. Synthesis of NiCuZn Ferrite
2.2. Non-Thermal Plasma Treatment
2.3. Characterization
3. Results and Discussion
3.1. Phase Analysis
3.2. Microstructural Analysis
3.3. Magnetic Features
3.4. Ferroelectric Properties
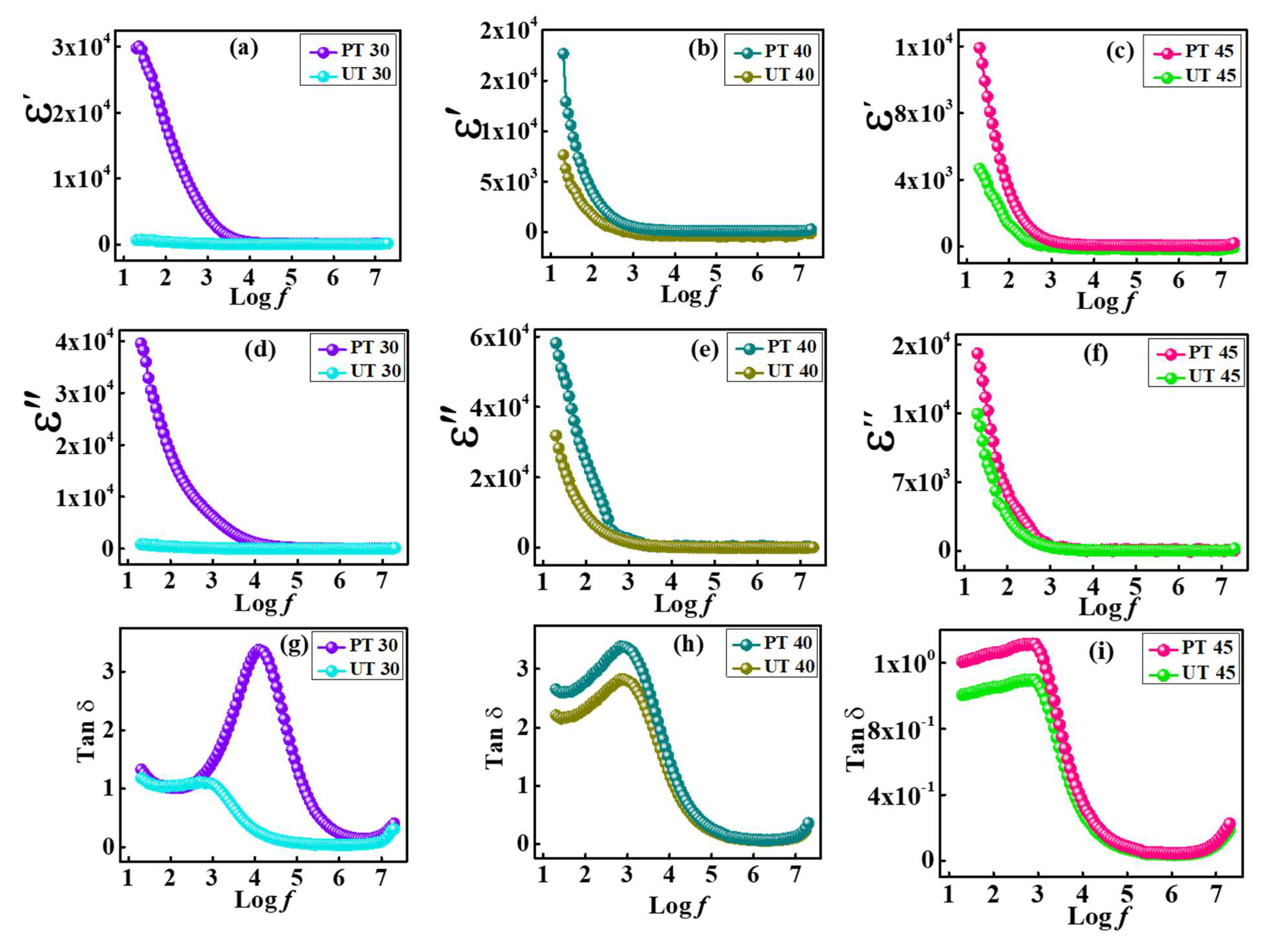
3.5. Dielectric Characteristics and Complex Impedance Parameters
4. Conclusions
Author Contributions
Funding
Institutional Review Board Statement
Informed Consent Statement
Data Availability Statement
Acknowledgments
Conflicts of Interest
References
- Thakur, P.; Chahar, D.; Taneja, S.; Bhalla, N.; Thakur, A. A review on MnZn ferrites: Synthesis, characterization and applications. Ceram. Int. 2020, 46, 15740–15763. [Google Scholar] [CrossRef] [PubMed]
- Ye, Z.; Qie, Y.; Fan, Z.; Liu, Y.; Yang, H. Exchange-coupled of soft and hard magnetic phases on the interfaces of Fe3C/CoFe2O4 nanocomposites. Ceram. Int. 2020, 46, 731–736. [Google Scholar] [CrossRef]
- Saleem, S.; Irfan, M.; Naz, M.Y.; Shukrullah, S.; Munir, M.A.; Ayyaz, M.; Alwadie, A.S.; Legutko, S.; Petrů, J.; Rahman, S. Investigating the Impact of Cu2+ Doping on the Morphological, Structural, Optical, and Electrical Properties of CoFe2O4 Nanoparticles for Use in Electrical Devices. Materials 2022, 15, 3502. [Google Scholar] [CrossRef] [PubMed]
- Ren, Y.; Lin, L.; Ma, J.; Yang, J.; Feng, J.; Fan, Z. Sulfate radicals induced from peroxymonosulfate by magnetic ferrospinel MFe2O4 (M= Co, Cu, Mn, and Zn) as heterogeneous catalysts in the water. Appl. Catal. B Environ. 2015, 165, 572–578. [Google Scholar] [CrossRef]
- Trukhanov, A.V.; Almessiere, M.A.; Baykal, A.; Trukhanov, S.V.; Slimani, Y.; Vinnik, D.A.; Zhivulin, V.E.; Starikov, A.Y.; Klygach, D.S.; Vakhitov, M.G. Influence of the charge ordering and quantum effects in heterovalent substituted hexaferrites on their microwave characteristics. J. Alloys Compd. 2019, 788, 1193–1202. [Google Scholar] [CrossRef]
- Sharma, R.; Thakur, P.; Kumar, M.; Thakur, N.; Negi, N.S.; Sharma, P.; Sharma, V. Improvement in magnetic behaviour of cobalt doped magnesium zinc nano-ferrites via co-precipitation route. J. Alloys Compd. 2016, 684, 569–581. [Google Scholar] [CrossRef]
- Samavati, A.; Ismail, A.F. Antibacterial properties of copper-substituted cobalt ferrite nanoparticles synthesized by co-precipitation method. Particuology 2017, 30, 158–163. [Google Scholar] [CrossRef]
- Vinosha, P.A.; Manikandan, A.; Ceicilia, A.S.J.; Dinesh, A.; Nirmala, G.F.; Preetha, A.C.; Slimani, Y.; Almessiere, M.A.; Baykal, A.; Xavier, B. Review on recent advances of zinc substituted cobalt ferrite nanoparticles: Synthesis characterization and diverse applications. Ceram. Int. 2021, 47, 10512–10535. [Google Scholar] [CrossRef]
- Boris, I.; Kharisova, H.; Dias, V.R.; Oxana, B.; Kharissova, V. Mini-review: Ferrite nanoparticles in the catalysis. Arab. J. Chem. 2019, 212, 1234–1246. [Google Scholar]
- Wu, D.M.; Liu, X.P.; Gao, P.Z.; He, L.T.; Li, J.W. Effects of Ni2+ concentration on the composition, structure, magnetic properties, and DC-bias superposition characteristics of NiCuZn ferrites. Ceram. Int. 2022, 448, 11228–11237. [Google Scholar] [CrossRef]
- Lathiya, P.; Kreuzer, M.; Wang, J. RF complex permeability spectra of Ni-Cu-Zn ferrites prepared under different applied hydraulic pressures and durations for wireless power transfer (WPT) applications. J. Magn. Magn. Mater. 2020, 499, 166273. [Google Scholar] [CrossRef]
- Chu, N.; Wang, X.; Liu, Y.; Jin, H.; Wu, Q.; Li, L.; Wang, Z.; Ge, H. Magnetic properties of low Mn-doped NiCuZn nanocrystalline ferrites. J. Alloys Compd. 2009, 470, 438–442. [Google Scholar] [CrossRef]
- Peng, Y.; Xia, C.; Cui, M.; Yao, Z.; Yi, X. Effect of reaction condition on microstructure and properties of (NiCuZn) Fe2O4 nanoparticles synthesized via co-precipitation with ultrasonic irradiation. Ultrason. Sonochem. 2021, 71, 105369. [Google Scholar] [CrossRef] [PubMed]
- Sujatha, C.; Reddy, K.V.; Babu, K.S.; Reddy, A.R.; Rao, K.H. Effect of sintering temperature on electromagnetic properties of NiCuZn ferrite. Ceram. Int. 2013, 39, 3077–3086. [Google Scholar] [CrossRef]
- Dimri, M.C.; Verma, A.; Kashyap, S.C.; Dube, D.C.; Thakur, O.P.; Prakash, C. Structural, dielectric and magnetic properties of NiCuZn ferrite grown by citrate precursor method. Mater. Sci. Eng. B 2006, 133, 42–48. [Google Scholar] [CrossRef]
- Yan, S.; Deng, L.; Feng, Z.; He, J.; Li, Y.; Hu, M. Effect of CO2O3 addition on stability of permeability to an impulse magnetic field in NiCuZn ferrites. IEEE Trans. Magn. 2017, 53, 2001404. [Google Scholar] [CrossRef]
- Praveena, K.; Sadhana, K.; Srinath, S.; Murthy, S.R. Effect of TiO2 on electrical and magnetic properties of Ni0.35Cu0.12Zn0.35Fe2O4 synthesized by the microwave–hydrothermal method. J. Phys. Chem. Solids 2013, 74, 1329–1335. [Google Scholar] [CrossRef]
- Kim, J.-S.; Ham, C.-W. The effect of calcining temperature on the magnetic properties of the ultra-fine NiCuZn-ferrites. Mater. Res. Bull. 2009, 44, 633–637. [Google Scholar] [CrossRef]
- Bayoumy, W.A.; Gabal, M.A. Synthesis characterization and magnetic properties of Cr-substituted NiCuZn nanocrystalline ferrite. J. Alloys Compd. 2010, 506, 205–209. [Google Scholar] [CrossRef]
- Wang, Y.; Jing, Y.; Che, S.; Li, Y.; Xu, Z.; Tang, X. Comparison of magnetic properties of low-temperature-fired NiCuZn ferrites under low-and high-Bi2O3 doping modes. J. Electron. Mater. 2020, 49, 3325–3331. [Google Scholar] [CrossRef]
- Wang, X.; Zhang, D.; Wang, G.; Jin, L.; Li, J.; Liao, Y.; Zhang, H.; Wang, S. Synthesis of V2O5-Doped and low-sintered NiCuZn ferrite with uniform grains and enhanced magnetic properties. Ceram. Int. 2020, 46, 10652–10657. [Google Scholar] [CrossRef]
- Ji, X.; Chen, T.; Shen, C.; Zhao, Y.; Zhou, K.; Sun, M.; Yu, Y.; Fan, L.; Zheng, H.; Wu, Q. Magnetic and dielectric properties of NiCuZn ferrite with optimized Cu content and sintered by a two-step process. J. Alloys Compd. 2022, 898, 162906. [Google Scholar] [CrossRef]
- Karisma, A.D.; Shinokawa, Y.; Fukasawa, T.; Ishigami, T.; Fukui, K. Synthesis of NiCuZn ferrite nanoparticles from metallic nitrate solutions using the microwave direct denitration method and evaluation of its properties. Part. Sci. Technol. 2021, 39, 427–435. [Google Scholar] [CrossRef]
- Naz, M.Y.; Irfan, M.; Shukrullah, S.; Ahmad, I.; Ghaffar, A.; Niazi, U.M.; Rahman, S.; Jalalah, M.; Alsaiari, M.A.; Khan, M.K.A. Effect of microwave plasma treatment on magnetic and photocatalytic response of manganese ferrite nanoparticles for wastewater treatment. Main Group Chem. 2021, 20, 423–435. [Google Scholar] [CrossRef]
- Inayat, A.; Tariq, R.; Khan, Z.; Ghenai, C.; Kamil, M.; Jamil, F.; Shanableh, A. A comprehensive review on advanced thermochemical processes for bio-hydrogen production via microwave and plasma technologies. Biomass Convers. Biorefinery 2020, 1–10. [Google Scholar] [CrossRef]
- Xu, J.; Li, M.; Yang, L.; Qiu, J.; Chen, Q.; Zhang, X.; Feng, Y.; Yao, J. Synergy of Ni dopant and oxygen vacancies in ZnO for efficient photocatalytic depolymerization of sodium lignosulfonate. Chem. Eng. J. 2020, 394, 125050. [Google Scholar] [CrossRef]
- Abdel Maksoud, M.I.A.; Abdel Reheem, A.M.; Waly, S.A.; Fahim, R.A.; Ahour, A.H. Tuning the structure, optical, and magnetic properties of nanostructured NiMoO4 by nitrogen plasma treatment. Appl. Phys. A 2022, 128, 300. [Google Scholar] [CrossRef]
- Magdalane, C.M.; Priyadharsini, G.M.A.; Kaviyarasu, K.; Jothi, A.I.; Simiyon, G.G. Synthesis and characterization of TiO2 doped cobalt ferrite nanoparticles via microwave method: Investigation of photocatalytic performance of congo red degradation dye. Surf. Interfaces 2021, 25, 101296. [Google Scholar] [CrossRef]
- Ansar, M.T.; Ali, A.; Mustafa, G.M.; Afzal, F.; Ishaq, S.; Kanwal, F.; Naseem, S.; Atiq, S. Polypyrrole-based nanocomposites architecture as multifunctional material for futuristic energy storage applications. J. Alloys Compd. 2021, 855, 157341. [Google Scholar] [CrossRef]
- Almessiere, M.A.; Slimani, Y.; Güngüneş, H.; Korkmaz, A.D.; Trukhanov, S.V.; Guner, S.; Alahmari, F.; Trukhanov, A.V.; Baykal, A. Correlation between chemical composition, electrical, magnetic and microwave properties in Dy-substituted Ni-Cu-Zn ferrites. Mater. Sci. Eng. B 2021, 270, 115202. [Google Scholar] [CrossRef]
- Tatarchuk, T.; Myslin, M.; Mironyuk, I.; Bououdina, M.; Pędziwiatr, A.T.; Gargula, R.; Bogacz, B.F.; Kurzydło, P. Synthesis, morphology, crystallite size and adsorption properties of nanostructured Mg–Zn ferrites with enhanced porous structure. J. Alloys Compd. 2020, 819, 152945. [Google Scholar] [CrossRef]
- Gao, X.; Wang, W.; Bi, J.; Chen, Y.; Hao, X.; Sun, X.; Zhang, J. Morphology-controllable preparation of NiFe2O4 as high performance electrode material for supercapacitor. Electrochim. Acta 2019, 296, 181–189. [Google Scholar] [CrossRef]
- Quader, A.; Mustafa, G.M.; Abbas, S.K.; Ahmad, H.; Riaz, S.; Naseem, S.; Atiq, S. Efficient energy storage and fast switching capabilities in Nd-substituted La2Sn2O7 pyrochlores. Chem. Eng. J. 2020, 396, 125198. [Google Scholar] [CrossRef]
- Li, Z.; Wang, Q.; Zhang, T.; Wang, H.; Chen, T. A novel bulk density-based recognition method for kitchen and dry waste: A case study in Beijing, China. Waste Manag. 2020, 114, 89–95. [Google Scholar] [CrossRef] [PubMed]
- Swathi, S.; Yuvakkumar, R.; Kumar, P.S.; Ravi, G.; Velauthapillai, D. Annealing temperature effect on cobalt ferrite nanoparticles for photocatalytic degradation. Chemosphere 2021, 281, 130903. [Google Scholar] [CrossRef]
- Tariq, M.J.; Ali, Y.; Iqbal, S.; Hussain, A.A.; Firdous, M. Micro Wave Plasma Treatment of Zinc doped Barium ferrites nanoparticles synthesized by chemical co-precipitation technique.
- Zolfaghari, P.; Khaledian, H.R.; Aliasgharlou, N.; Khorram, S.; Karimi, A.; Khataee, A. Facile surface modification of immobilized rutile nanoparticles by non-thermal glow discharge plasma: Effect of treatment gases on photocatalytic process. Appl. Surf. Sci. 2019, 490, 266–277. [Google Scholar] [CrossRef]
- Gan, G.; Zhang, D.; Li, J.; Wang, G.; Huang, X.; Yang, Y.; Rao, Y.; Xu, F.; Wang, X.; Zhang, H. Equivalent permeability and permittivity of Sm substituted Mg–Cd ferrites for high-frequency applications. J. Alloys Compd. 2020, 819, 153059. [Google Scholar] [CrossRef]
- Sujatha, C.; Reddy, K.V.; Babu, K.S.; Reddy, A.R.; Rao, K.H. Effects of heat treatment conditions on the structural and magnetic properties of MgCuZn nano ferrite. Ceram. Int. 2012, 38, 5813–5820. [Google Scholar] [CrossRef]
- Kaur, T.; Kaur, B.; Bhat, B.H.; Kumar, S.; Srivastava, A.K. Effect of calcination temperature on microstructure, dielectric, magnetic and optical properties of Ba0.7La0.3Fe11.7Co0.3O19 hexaferrites. Phys. B Condens. Matter 2015, 456, 206–212. [Google Scholar] [CrossRef]
- Li, Y.-X.; Li, J.; Li, Q.; Yu, G.-L.; Zhang, H.-W. Structure and magnetic properties of NiCuZn ferrite materials with La doping. Rare Met. 2017, 36, 202–204. [Google Scholar] [CrossRef]
- Thakur, A.; Singh, M. Preparation and characterization of nanosize Mn0.4Zn0.6 Fe2O4 ferrite by citrate precursor method. Ceram. Int. 2003, 29, 505–511. [Google Scholar] [CrossRef]
- Wang, H.; Tang, H.; He, J.; Wang, Q. Fabrication of aligned ferrite nanofibers by magnetic-field-assisted electrospinning coupled with oxygen plasma treatment. Mater. Res. Bull. 2009, 44, 1676–1680. [Google Scholar] [CrossRef]
- Mohapatra, J.; Xing, M.; Elkins, J.; Beatty, J.; Liu, J.P. Size-dependent magnetic hardening in CoFe2O4 nanoparticles: Effects of surface spin canting. J. Phys. D Appl. Phys. 2020, 53, 504004. [Google Scholar] [CrossRef]
- Manikandan, M.; Saravana Kumar, K.; Venkateswaran, C. Mn doping instigated multiferroicity and magneto-dielectric coupling in KNbO3. J. Appl. Phys. 2015, 118, 234105. [Google Scholar] [CrossRef]
- Jin, L.; Li, F.; Zhang, S. Decoding the Fingerprint of Ferroelectric Loops: Comprehension of the Material Properties and Structures. J. Am. Ceram. Soc. 2014, 97, 1–27. [Google Scholar] [CrossRef]
- Kumar, N.; Singh, R.K.; Singh, P.R. Structural, optical, and magnetic properties of Pr substituted Li–Ni Ferrites prepared by citrate -precursor method. J. Mater. Sci. Mater. Electron. 2021, 32, 9886–9902. [Google Scholar] [CrossRef]
- Singh, S.; Goswami, N. Tailoring magnetic properties through variation of cations distribution in Zn-Cu ferrite nanoparticles prepared by exploding wire technique. Mater. Sci. Eng. B 2022, 278, 115608. [Google Scholar] [CrossRef]
- Das, B.C.; Hossain, A.K.M.A. Rietveld refined structure, ferroelectric, magnetic and magnetoelectric response of Gd-substituted Ni-Cu-Zn ferrite and Ca, Zr co-doped BaTiO3 multiferroic composites. J. Alloys Compd. 2021, 867, 159068. [Google Scholar] [CrossRef]
- Anwar, A.; Yousuf, M.A.; Zulfiqar, S.; Agboola, P.O.; Shakir, I.; Al-Khalli, N.F.; Warsi, M.F. The impact of highly paramagnetic Gd3+ cations on structural, spectral, magnetic and dielectric properties of spinel nickel ferrite nanoparticles. J. Saudi Chem. Soc. 2021, 25, 101306. [Google Scholar] [CrossRef]
- Mumtaz, M.; Hassan, M.; Ali, L.; Ahmad, Z.; Imtiaz, M.A.; Aamir, M.F.; Rehman, A.; Nadeem, K. Comparative study of frequency-dependent dielectric properties of ferrites MFe2O4 (M = Co, Mg, Cr and Mn) nanoparticles. Appl. Phys. A 2020, 126, 334. [Google Scholar]
- Junaid, M.; Khan, M.A.; Hashmi, Z.M.; Nasar, G.; Kattan, N.A.; Laref, A. Structural, spectral, magnetic and dielectric properties of Bi substituted Li-Co spinel ferrites. J. Mol. Struct. 2020, 1221, 128859. [Google Scholar] [CrossRef]
- Gaikwad, A.A.; Kulkarni, S.B. Enhanced magnetic and permeability properties of Mn-substituted NiCuZn nanoparticles for ferrite core application. J. Supercond. Nov. Magn. 2021, 34, 2405–2414. [Google Scholar] [CrossRef]
- Kavitha, S.; Kurian, M. Effect of zirconium doping in the microstructure, magnetic and dielectric properties of cobalt ferrite nanoparticles. J. Alloys Compd. 2019, 799, 147–159. [Google Scholar] [CrossRef]
- Hajlaoui, M.E.; Gharbi, S.; Dhahri, E.; Khirouni, K. Impedance spectroscopy and giant permittivity study of ZnFe2O4 spinel ferrite as a function of frequency and temperature. J. Alloys Compd. 2022, 906, 164361. [Google Scholar] [CrossRef]
- Singh, P.; Singh, B.; Gupta, M. Fe+3-Mn+4 and Ti+4-Mn+3 interactions effect on the structural, electronic, magnetic and magnetoelectronic properties of perovskite manganites. Ceram. Int. 2022, 48, 4074–4079. [Google Scholar] [CrossRef]
- Hegde, S.S.; Fernandes, B.J.; Talapatadur, V.; Ramesh, K.P.; Ramesh, K. Impedance spectroscopy analysis of SnS chalcogenide semiconductors. Mater. Today Proc. 2022, 62, 5648–5652. [Google Scholar] [CrossRef]
- Patankar, K.K.; Nipankar, R.P.; Mathe, V.L.; Mahajan, R.P.; Patil, S.A. Role of sintering on magneto-electric effect in CuFe1.8Cr0.2O4–Ba0.8Pb0.2Ti0.8Zr0.2O3 composite ceramics. Ceram. Int. 2001, 27, 853–858. [Google Scholar] [CrossRef]
- Kausar, R.; Khan, M.A.; Gulbadan, S.; Junaid, M.; Hussain, A.; Manzoor, A.; Somaily, H.H.; Attia, M.S.; Amin, M.A. Investigation into the structural and magnetic features of nickel doped U-type hexaferrites prepared through sol–gel method. J. Magn. Magn. Mater. 2022, 549, 169054. [Google Scholar] [CrossRef]
- Saba, S.; Mustafa, G.M.; Saleem, M.; Ramay, S.M.; Atiq, S. Ferroelectric polymer/ceramic nanocomposites with low energy losses. Polym. Compos. 2020, 41, 3271–3281. [Google Scholar] [CrossRef]
- Babu, K.V.; Satyanarayana, G.; Sailaja, B.; Kumar, G.V.S.; Jalaiah, K.; Ravi, M. Structural and magnetic properties of Ni0.8M0.2Fe2O4 (M= Cu, Co) nano-crystalline ferrites. Results Phys. 2018, 9, 55–62. [Google Scholar] [CrossRef]
- Zhang, C.; Chi, Q.; Dong, J.; Cui, Y.; Wang, X.; Liu, L.; Lei, Q. Enhanced dielectric properties of poly (vinylidene fluoride) composites filled with nano iron oxide-deposited barium titanate hybrid particles. Sci. Rep. 2016, 6, 33508. [Google Scholar] [CrossRef] [PubMed]
- Nobre, M.A.L.; Lanfredi, S. Dielectric loss and phase transition of sodium potassium niobate ceramic investigated by impedance spectroscopy. Catal. Today 2003, 78, 529–538. [Google Scholar] [CrossRef]
- Kumari, R.; Ahlawat, N.; Agarwal, A.; Sanghi, S.; Sindhu, M.; Ahlawat, N. Rietveld refinement, impedance spectroscopy and magnetic properties of Bi0.8Sr0.2FeO3 substituted Na0.5Bi0.5TiO3 ceramics. J. Magn. Magn. Mater. 2016, 414, 1–9. [Google Scholar] [CrossRef]
- Ye, H.; Jackman, R.B.; Hing, P. Spectroscopic impedance study of nanocrystalline diamond films. J. Appl. Phys. 2003, 94, 7878–7882. [Google Scholar] [CrossRef]
- Khalid, A.; Abbas, S.K.; Mustafa, G.M.; Atiq, S.; Hussain, S.S.; Anwar, M.S.; Naseem, S. Analysis of dielectric dispersion and magnetoelectric coupling in BiFeO3 and NiFe2O4 nanocomposites. Ceram. Int. 2019, 45, 24453–24460. [Google Scholar] [CrossRef]
- Hassan, A.; Mustafa, G.M.; Abbas, S.K.; Atiq, S.; Saleem, M.; Riaz, S.; Naseem, S. Correlation of La-mediated structural transition and dielectric relaxation in Bi2Mg2/3Nb4/3O7 pyrochlores. Ceram. Int. 2019, 45, 14576–14585. [Google Scholar] [CrossRef]
- Koops, C.G. On the dispersion of resistivity and dielectric constant of some semiconductors at audiofrequencies. Phys. Rev. 1951, 83, 121. [Google Scholar] [CrossRef]
- Maxwell, J.C. A Treatise on Electricity and Magnetism; Clarendon Press: Oxford, UK, 1873; Volume 1. [Google Scholar]









| Sample | Crystallite Size (nm) | Lattice Constant (Å) | Unit Cell Volume | X-ray Density (g/cm3) | Bulk Density (g/cm3) | Porosity (%) |
|---|---|---|---|---|---|---|
| UT40 | 49.1212 ± 0.0091 | 8.3983 ± 0.0081 | 593.44 ± 1.9242 | 5.3757 ± 0.0173 | 5.1732 ± 0.0015 | 5.881 ± 0.9878 |
| PT40 | 49.1324 | 8.3800 | 593.12 | 5.3787 | 5.1723 | 7.934 |
| UT45 | 49.1434 | 8.4001 | 597.05 | 5.3433 | 5.1701 | 6.321 |
| PT45 | 49.1201 | 8.3971 | 595.99 | 5.3528 | 5.1708 | 7.541 |
| Sample | Saturation Magnetization (Ms) | Remnant Magnetization (Mr) | Squareness Ratio (Mr/Ms) | Coercivity (Hc) |
|---|---|---|---|---|
| UT-30 | 31.85 | 11.32 | 0.355 | 437 |
| PT-30 | 53.38 | 18.35 | 0.343 | 518 |
| UT-40 | 42.52 | 15.31 | 0.360 | 443 |
| PT-40 | 64.48 | 22.24 | 0.344 | 551 |
| UT-45 | 48.01 | 20.42 | 0.425 | 1033 |
| PT-45 | 74.46 | 26.35 | 0.353 | 1040 |
Publisher’s Note: MDPI stays neutral with regard to jurisdictional claims in published maps and institutional affiliations. |
© 2022 by the authors. Licensee MDPI, Basel, Switzerland. This article is an open access article distributed under the terms and conditions of the Creative Commons Attribution (CC BY) license (https://creativecommons.org/licenses/by/4.0/).
Share and Cite
Munir, M.A.; Naz, M.Y.; Shukrullah, S.; Ansar, M.T.; Farooq, M.U.; Irfan, M.; Mursal, S.N.F.; Legutko, S.; Petrů, J.; Pagáč, M. Enhancement of Magnetic and Dielectric Properties of Ni0.25Cu0.25Zn0.50Fe2O4 Magnetic Nanoparticles through Non-Thermal Microwave Plasma Treatment for High-Frequency and Energy Storage Applications. Materials 2022, 15, 6890. https://doi.org/10.3390/ma15196890
Munir MA, Naz MY, Shukrullah S, Ansar MT, Farooq MU, Irfan M, Mursal SNF, Legutko S, Petrů J, Pagáč M. Enhancement of Magnetic and Dielectric Properties of Ni0.25Cu0.25Zn0.50Fe2O4 Magnetic Nanoparticles through Non-Thermal Microwave Plasma Treatment for High-Frequency and Energy Storage Applications. Materials. 2022; 15(19):6890. https://doi.org/10.3390/ma15196890
Chicago/Turabian StyleMunir, Muhammad Adnan, Muhammad Yasin Naz, Shazia Shukrullah, Muhammad Tamoor Ansar, Muhammad Umar Farooq, Muhammad Irfan, Salim Nasar Faraj Mursal, Stanislaw Legutko, Jana Petrů, and Marek Pagáč. 2022. "Enhancement of Magnetic and Dielectric Properties of Ni0.25Cu0.25Zn0.50Fe2O4 Magnetic Nanoparticles through Non-Thermal Microwave Plasma Treatment for High-Frequency and Energy Storage Applications" Materials 15, no. 19: 6890. https://doi.org/10.3390/ma15196890
APA StyleMunir, M. A., Naz, M. Y., Shukrullah, S., Ansar, M. T., Farooq, M. U., Irfan, M., Mursal, S. N. F., Legutko, S., Petrů, J., & Pagáč, M. (2022). Enhancement of Magnetic and Dielectric Properties of Ni0.25Cu0.25Zn0.50Fe2O4 Magnetic Nanoparticles through Non-Thermal Microwave Plasma Treatment for High-Frequency and Energy Storage Applications. Materials, 15(19), 6890. https://doi.org/10.3390/ma15196890

