Effects of Atomic Ratio on the Mechanical Properties of Amorphous Silicon Carbon Nitride
Abstract
1. Introduction
2. Simulation Methods
2.1. Preparation of the a-SiCN
2.2. Structural Characterization
2.3. Elastic Properties
3. Results and Discussion
3.1. Density
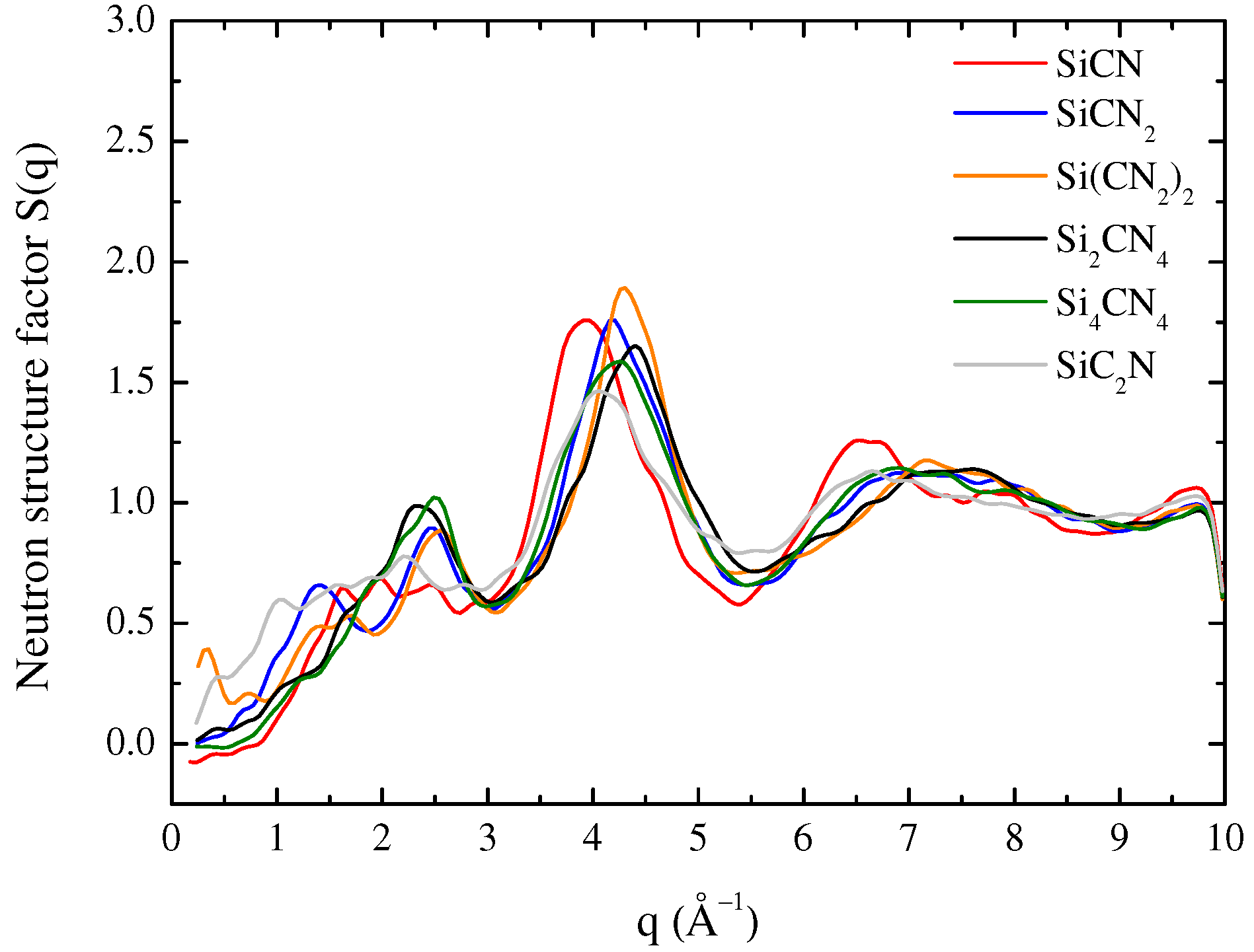
3.2. Structural Characterization
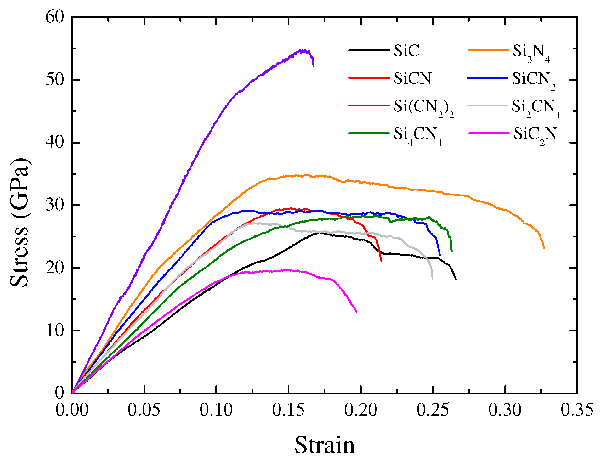
3.3. Mechanical Properties
4. Conclusions
Author Contributions
Funding
Institutional Review Board Statement
Informed Consent Statement
Data Availability Statement
Conflicts of Interest
References
- Tomasella, E.; Spinelle, L.; Bousquet, A.; Rebib, F.; Dubois, M.; Eypert, C.; Gaston, J.P.; Cellier, J.; Sauvage, T. Structural and Optical Investigations of Silicon Carbon Nitride Thin Films Deposited by Magnetron Sputtering. Plasma Process. Polym. 2009, 6, S11–S16. [Google Scholar] [CrossRef]
- Pusch, C.; Hoche, H.; Berger, C.; Riedel, R.; Ionescu, E.; Klein, A. Influence of the PVD sputtering method on structural characteristics of SiCN-coatings—Comparison of RF, DC and HiPIMS sputtering and target configurations. Surf. Coat. Technol. 2011, 205, S119–S123. [Google Scholar] [CrossRef]
- Inoue, F.; Peng, L.; Iacovo, S.; Phommahaxay, A.; Verdonck, P.; Meersschaut, J.; Dara, P.; Sleeckx, E.; Miller, A.; Beyer, G.; et al. Influence of Composition of SiCN as Interfacial Layer on Plasma Activated Direct Bonding. ECS J. Solid State Sci. Technol. 2019, 8, P346–P350. [Google Scholar] [CrossRef]
- Singh, N.; Singh, K.; Kaur, D. Electric field involved transport at elevated temperature in nanocrystalline silicon carbide nitride (nc-SiCN) thin films for harsh environment applications. Curr. Appl. Phys. 2018, 18, 220–225. [Google Scholar] [CrossRef]
- Ivashchenko, V.I.; Kozak, A.O.; Porada, O.K.; Ivashchenko, L.A.; Sinelnichenko, O.K.; Lytvyn, O.S.; Tomila, T.V.; Malakhov, V.J. Characterization of SiCN thin films: Experimental and theoretical investigations. Thin Solid Films 2014, 569, 57–63. [Google Scholar] [CrossRef]
- Lo, H.C.; Wu, J.J.; Wen, C.Y.; Wong, T.S.; Lin, S.T.; Chen, K.H.; Chen, L.C. Bonding characterization and nano-indentation study of the amorphous SiCxNy films with and without hydrogen incorporation. Diam. Relat. Mater. 2001, 10, 1916–1920. [Google Scholar] [CrossRef]
- Yang, J.F.; Zhang, G.J.; Kondo, N.; Ohji, T. Synthesis and properties of porous Si3N4/SiC nanocomposites by carbothermal reaction between Si3N4 and carbon. Acta Mater. 2002, 50, 4831–4840. [Google Scholar] [CrossRef]
- Khanis, N.H.; Ritikos, R.; Ahmad Kamal, S.A.; Abdul Rahman, S. Investigations on the Role of N2:(N2 + CH4) Ratio on the Growth of Hydrophobic Nanostructured Hydrogenated Carbon Nitride Thin Films by Plasma Enhanced Chemical Vapor Deposition at Low Temperature. Materials 2017, 10, 102. [Google Scholar] [CrossRef]
- Trong, D.N.; Long, V.C.; Ţŏlu, c. Effects of Number of Atoms and Doping Concentration on the Structure, Phase Transition, and Crystallization Process of Fe1-x-yNixCoy Alloy: A Molecular Dynamic Study. Appl. Sci. 2022, 12, 8473. [Google Scholar] [CrossRef]
- Yang, Q.; Li, J.; Lai, W.; Liu, J.; Liu, B. Interatomic Potential to Predict the Favored Glass-Formation Compositions and Local Atomic Arrangements of Ternary Al-Ni-Ti Metallic Glasses. Crystals 2022, 12, 1065. [Google Scholar] [CrossRef]
- Jamari, J.; Ammarullah, M.I.; Santoso, G.; Sugiharto, S.; Supriyono, T.; van der Heide, E. In Silico Contact Pressure of Metal-on-Metal Total Hip Implant with Different Materials Subjected to Gait Loading. Metals 2022, 12, 1241. [Google Scholar] [CrossRef]
- Lyngdoh, G.A.; Nayak, S.; Kumar, R.; Krishnan, N.M.A.; Das, S. Fracture toughness of sodium aluminosilicate hydrate (NASH) gels: Insights from molecular dynamics simulations. J. Appl. Phys. 2020, 127, 165107. [Google Scholar] [CrossRef]
- Plimpton, S. Fast Parallel Algorithms for Short-Range Molecular Dynamics. J. Comput. Phys. 1995, 117, 1–19. [Google Scholar] [CrossRef]
- Joshi, K.L.; Psofogiannakis, G.; van Duin, A.C.; Raman, S. Reactive molecular simulations of protonation of water clusters and depletion of acidity in H-ZSM-5 zeolite. Phys. Chem. Chem. Phys. 2014, 16, 18433–18441. [Google Scholar] [CrossRef]
- Aktulga, H.M.; Fogarty, J.C.; Pandit, S.A.; Grama, A.Y. Parallel reactive molecular dynamics: Numerical methods and algorithmic techniques. Parallel Comput. 2012, 38, 245–259. [Google Scholar] [CrossRef]
- Stukowski, A. Visualization and analysis of atomistic simulation data with OVITO—The Open Visualization Tool. Model. Simul. Mater. Sci. Eng. 2009, 18, 015012. [Google Scholar] [CrossRef]
- Le Roux, S.; Petkov, V. ISAACS—Interactive structure analysis of amorphous and crystalline systems. J. Appl. Crystallogr. 2010, 43, 181–185. [Google Scholar] [CrossRef]
- Tsai, D.H. The virial theorem and stress calculation in molecular dynamics. J. Chem. Phys. 1979, 70, 1375–1382. [Google Scholar] [CrossRef]
- Pedone, A.; Malavasi, G.; Cormack, A.N.; Segre, U.; Menziani, M.C. Insight into Elastic Properties of Binary Alkali Silicate Glasses; Prediction and Interpretation through Atomistic Simulation Techniques. Chem. Mater. 2007, 19, 3144–3154. [Google Scholar] [CrossRef]
- Lehmann, G.; Hess, P.; Wu, J.J.; Wu, C.T.; Wong, T.S.; Chen, K.H.; Chen, L.C.; Lee, H.Y.; Amkreutz, M.; Frauenheim, T. Structure and elastic properties of amorphous silicon carbon nitride films. Phys. Rev. B 2001, 64, 165305. [Google Scholar] [CrossRef]
- Ivashchenko, V.I.; Turchi, P.E.A.; Shevchenko, V.I. Simulations of the mechanical properties of crystalline, nanocrystalline, and amorphous SiC and Si. Phys. Rev. B 2007, 75, 085209. [Google Scholar] [CrossRef]
- Faruq, M.; Villesuzanne, A.; Shao, G. Molecular-dynamics simulations of binary Pd-Si metal alloys: Glass formation, crystallisation and cluster properties. J. Non-Cryst. Solids 2018, 487, 72–86. [Google Scholar] [CrossRef]
- Schempp, S.; Dürr, J.; Lamparter, P.; Bill, J.; Aldinger, F. Study of the Atomic Structure and Phase Separation in Amorphous Si-C-N Ceramics by X-ray and Neutron Diffraction. Z. Für Naturforschung A 1998, 53, 127–133. [Google Scholar] [CrossRef]
- Le, V.V.; Nguyen, T.T.; Pham, K.H. The structural correlation and mechanical properties in amorphous silicon nitride under densification. J. Non-Cryst. Solids 2013, 363, 6–12. [Google Scholar] [CrossRef]
- Maruthoor, S.; Ajayakumar, A.; Fuchs, T.; Jakovlev, O.; Reinecke, H.; Wilde, J. Mechanical Characterization of Polycrystalline and Amorphous Silicon Carbide Thin Films Using Bulge Test. J. Microelectromech. Syst. 2013, 22, 140–146. [Google Scholar] [CrossRef]
- El Khakani, M.A.; Chaker, M.; Jean, A.; Boily, S.; Kieffer, J.C.; OâĂŹHern, M.E.; Ravet, M.F.; Rousseaux, F. Hardness and Young’s modulus of amorphous a-SiC thin films determined by nanoindentation and bulge tests. J. Mater. Res. 1994, 9, 96–103. [Google Scholar] [CrossRef]
- Khan, A.; Philip, J.; Hess, P. Young’s modulus of silicon nitride used in scanning force microscope cantilevers. J. Appl. Phys. 2004, 95, 1667–1672. [Google Scholar] [CrossRef]
- Ctvrtlik, R.; Al-Haik, M.S.; Kulikovsky, V. Mechanical properties of amorphous silicon carbonitride thin films at elevated temperatures. J. Mater. Sci. 2015, 50, 1553–1564. [Google Scholar] [CrossRef]
- Hoche, H.; Allebrandt, D.; Bruns, M.; Riedel, R.; Fasel, C. Relationship of chemical and structural properties with the tribological behavior of sputtered SiCN films. Surf. Coat. Technol. 2008, 202, 5567–5571. [Google Scholar] [CrossRef]
- Katamune, Y.; Mori, H.; Morishita, F.; Izumi, A. Control of the chemical composition of silicon carbon nitride films formed from hexamethyldisilazane in H2/NH3 mixed gas atmospheres by hot-wire chemical vapor deposition. Thin Solid Films 2020, 695, 137750. [Google Scholar] [CrossRef]
- Awad, Y.; El Khakani, M.A.; Aktik, C.; Mouine, J.; Camire, N.; Lessard, M.; Scarlete, M.; Al-Abadleh, H.A.; Smirani, R. Structural and mechanical properties of amorphous silicon carbonitride films prepared by vapor-transport chemical vapor deposition. Surf. Coat. Technol. 2009, 204, 539–545. [Google Scholar] [CrossRef]






| Type | SiCN | SiCN | Si(CN) | SiCN | SiCN | SiCN |
|---|---|---|---|---|---|---|
| Density (g/cm) | 2.602 | 2.527 | 2.582 | 2.584 | 2.831 | 2.247 |
| Type | Young’s Modulus (GPa) | Poisson’s Ratio |
|---|---|---|
| SiCN | 266.874 | 0.412 |
| SiCN | 312.837 | 0.405 |
| Si(CN) | 393.581 | 0.397 |
| SiCN | 265.628 | 0.391 |
| SiCN | 233.466 | 0.425 |
| SiCN | 206.801 | 0.329 |
Publisher’s Note: MDPI stays neutral with regard to jurisdictional claims in published maps and institutional affiliations. |
© 2022 by the authors. Licensee MDPI, Basel, Switzerland. This article is an open access article distributed under the terms and conditions of the Creative Commons Attribution (CC BY) license (https://creativecommons.org/licenses/by/4.0/).
Share and Cite
Ji, C.; Cai, X.; Zhou, Z.; Gao, B.; Liu, S. Effects of Atomic Ratio on the Mechanical Properties of Amorphous Silicon Carbon Nitride. Materials 2022, 15, 6865. https://doi.org/10.3390/ma15196865
Ji C, Cai X, Zhou Z, Gao B, Liu S. Effects of Atomic Ratio on the Mechanical Properties of Amorphous Silicon Carbon Nitride. Materials. 2022; 15(19):6865. https://doi.org/10.3390/ma15196865
Chicago/Turabian StyleJi, Chaoyue, Xintian Cai, Zhen Zhou, Bing Gao, and Sheng Liu. 2022. "Effects of Atomic Ratio on the Mechanical Properties of Amorphous Silicon Carbon Nitride" Materials 15, no. 19: 6865. https://doi.org/10.3390/ma15196865
APA StyleJi, C., Cai, X., Zhou, Z., Gao, B., & Liu, S. (2022). Effects of Atomic Ratio on the Mechanical Properties of Amorphous Silicon Carbon Nitride. Materials, 15(19), 6865. https://doi.org/10.3390/ma15196865

