Mott Insulator Ca2RuO4 under External Electric Field
Abstract
1. Introduction
Paper Organization
2. Computational Details
3. Results
3.1. Properties of the Bulk with Inversion Symmetry
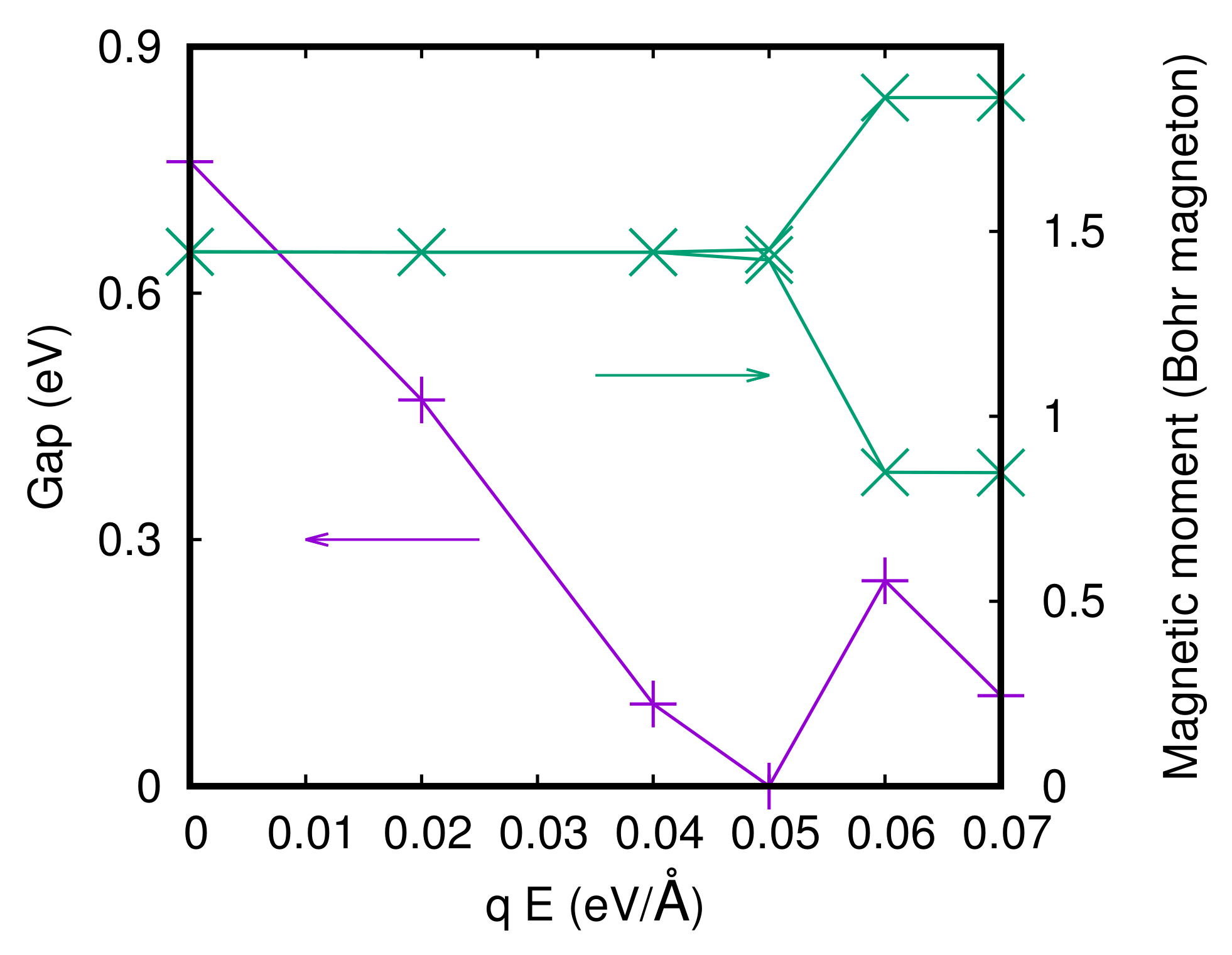
3.2. Properties of the Bulk without Inversion Symmetry
3.3. Properties of the Slab at Large Electric Fields
4. Conclusions
Author Contributions
Funding
Institutional Review Board Statement
Informed Consent Statement
Data Availability Statement
Acknowledgments
Conflicts of Interest
References
- Imada, M.; Fujimori, A.; Tokura, Y. Metal-insulator transitions. Rev. Mod. Phys. 1998, 70, 1039–1263. [Google Scholar] [CrossRef]
- Meijer, G.I. Who wins the nonvolatile memory race? Science 2008, 319, 1625–1626. [Google Scholar] [CrossRef] [PubMed]
- Waser, R.; Aono, M. Nanoionics-based resistive switching memories. Nat. Mater. 2007, 6, 833–840. [Google Scholar] [CrossRef]
- Rozenberg, M.J.; Inoue, I.H.; Sánchez, M.J. Nonvolatile Memory with Multilevel Switching: A Basic Model. Phys. Rev. Lett. 2004, 92, 178302. [Google Scholar] [CrossRef]
- Inoue, I.H.; Rozenberg, M.J. Taming the Mott Transition for a Novel Mott Transistor. Adv. Funct. Mater. 2008, 18, 2289–2292. [Google Scholar] [CrossRef]
- van Thiel, T.C.; Fowlie, J.; Autieri, C.; Manca, N.; Šiškins, M.; Afanasiev, D.; Gariglio, S.; Caviglia, A.D. Coupling Lattice Instabilities across the Interface in Ultrathin Oxide Heterostructures. ACS Mater. Lett. 2020, 2, 389–394. [Google Scholar] [CrossRef] [PubMed]
- Autieri, C.; Barone, P.; Sławińska, J.; Picozzi, S. Persistent spin helix in Rashba-Dresselhaus ferroelectric CsBiNb2O7. Phys. Rev. Mater. 2019, 3, 084416. [Google Scholar] [CrossRef]
- Hussain, G.; Samad, A.; Rehman, M.U.; Cuono, G.; Autieri, C. Emergence of Rashba splitting and spin-valley properties in Janus MoGeSiP2As2 and WGeSiP2As2 monolayers. J. Magn. Magn. Mater. 2022, 563, 169897. [Google Scholar] [CrossRef]
- van Thiel, T.C.; Brzezicki, W.; Autieri, C.; Hortensius, J.R.; Afanasiev, D.; Gauquelin, N.; Jannis, D.; Janssen, N.; Groenendijk, D.J.; Fatermans, J.; et al. Coupling Charge and Topological Reconstructions at Polar Oxide Interfaces. Phys. Rev. Lett. 2021, 127, 127202. [Google Scholar] [CrossRef] [PubMed]
- Autieri, C.; Cuoco, M.; Noce, C. Structural and electronic properties of Sr2RuO4/Sr3Ru2O7 heterostructures. Phys. Rev. B 2014, 89, 075102. [Google Scholar] [CrossRef]
- Autieri, C.; Cuoco, M.; Noce, C. Collective properties of eutectic ruthenates: Role of nanometric inclusions. Phys. Rev. B 2012, 85, 075126. [Google Scholar] [CrossRef]
- Paul, A.; Reitinger, C.; Autieri, C.; Sanyal, B.; Kreuzpaintner, W.; Jutimoosik, J.; Yimnirun, R.; Bern, F.; Esquinazi, P.; Korelis, P.; et al. Exotic exchange bias at epitaxial ferroelectric-ferromagnetic interfaces. Appl. Phys. Lett. 2014, 105, 022409. [Google Scholar] [CrossRef]
- Autieri, C.; Sanyal, B. Unusual ferromagnetic YMnO3 phase in YMnO3/La2/3Sr1/3MnO3 heterostructures. New J. Phys. 2014, 16, 113031. [Google Scholar] [CrossRef]
- Hausmann, S.; Ye, J.; Aoki, T.; Zheng, J.G.; Stahn, J.; Bern, F.; Chen, B.; Autieri, C.; Sanyal, B.; Esquinazi, P.D.; et al. Atomic-scale engineering of ferroelectric-ferromagnetic interfaces of epitaxial perovskite films for functional properties. Sci. Rep. 2017, 7, 10734. [Google Scholar] [CrossRef]
- Nakatsuji, S.; Maeno, Y. Quasi-Two-Dimensional Mott Transition System Ca2−xSrxRuO4. Phys. Rev. Lett. 2000, 84, 2666–2669. [Google Scholar] [CrossRef] [PubMed]
- Cuoco, M.; Forte, F.; Noce, C. Interplay of Coulomb interactions and c-axis octahedra distortions in single-layer ruthenates. Phys. Rev. B 2006, 74, 195124. [Google Scholar] [CrossRef]
- Forte, F.; Cuoco, M.; Noce, C. Field-induced orbital patterns in ferromagnetic layered ruthenates. Phys. Rev. B 2010, 82, 155104. [Google Scholar] [CrossRef]
- Pincini, D.; Veiga, L.S.I.; Dashwood, C.D.; Forte, F.; Cuoco, M.; Perry, R.S.; Bencok, P.; Boothroyd, A.T.; McMorrow, D.F. Tuning of the Ru4+ ground-state orbital population in the 4d4 Mott insulator Ca2RuO4 achieved by La doping. Phys. Rev. B 2019, 99, 075125. [Google Scholar] [CrossRef]
- Koga, A.; Kawakami, N.; Rice, T.M.; Sigrist, M. Orbital-Selective Mott Transitions in the Degenerate Hubbard Model. Phys. Rev. Lett. 2004, 92, 216402. [Google Scholar] [CrossRef]
- Das, L.; Forte, F.; Fittipaldi, R.; Fatuzzo, C.G.; Granata, V.; Ivashko, O.; Horio, M.; Schindler, F.; Dantz, M.; Tseng, Y.; et al. Spin-Orbital Excitations in Ca2RuO4 Revealed by Resonant Inelastic X-Ray Scattering. Phys. Rev. X 2018, 8, 011048. [Google Scholar] [CrossRef]
- Alexander, C.S.; Cao, G.; Dobrosavljevic, V.; McCall, S.; Crow, J.E.; Lochner, E.; Guertin, R.P. Destruction of the Mott insulating ground state of Ca2RuO4 by a structural transition. Phys. Rev. B 1999, 60, R8422–R8425. [Google Scholar] [CrossRef]
- Gorelov, E.; Karolak, M.; Wehling, T.O.; Lechermann, F.; Lichtenstein, A.I.; Pavarini, E. Nature of the Mott Transition in Ca2RuO4. Phys. Rev. Lett. 2010, 104, 226401. [Google Scholar] [CrossRef]
- Zhang, G.; Pavarini, E. Mott transition, spin-orbit effects, and magnetism in Ca2RuO4. Phys. Rev. B 2017, 95, 075145. [Google Scholar] [CrossRef]
- Okazaki, R.; Nishina, Y.; Yasui, Y.; Nakamura, F.; Suzuki, T.; Terasaki, I. Current-Induced Gap Suppression in the Mott Insulator Ca2RuO4. J. Phys. Soc. Jpn. 2013, 82, 103702. [Google Scholar] [CrossRef]
- Porter, D.G.; Granata, V.; Forte, F.; Di Matteo, S.; Cuoco, M.; Fittipaldi, R.; Vecchione, A.; Bombardi, A. Magnetic anisotropy and orbital ordering in Ca2RuO4. Phys. Rev. B 2018, 98, 125142. [Google Scholar] [CrossRef]
- Nakamura, F.; Sakaki, M.; Yamanaka, Y.; Tamaru, S.; Suzuki, T.; Maeno, Y. Electric-field-induced metal maintained by current of the Mott insulator Ca2RuO4. Sci. Rep. 2013, 3, 2536. [Google Scholar] [CrossRef]
- Zhang, J.; McLeod, A.S.; Han, Q.; Chen, X.; Bechtel, H.A.; Yao, Z.; Gilbert Corder, S.N.; Ciavatti, T.; Tao, T.H.; Aronson, M.; et al. Nano-Resolved Current-Induced Insulator-Metal Transition in the Mott Insulator Ca2RuO4. Phys. Rev. X 2019, 9, 011032. [Google Scholar] [CrossRef]
- Cirillo, C.; Granata, V.; Avallone, G.; Fittipaldi, R.; Attanasio, C.; Avella, A.; Vecchione, A. Emergence of a metallic metastable phase induced by electrical current in Ca2RuO4. Phys. Rev. B 2019, 100, 235142. [Google Scholar] [CrossRef]
- Mattoni, G.; Yonezawa, S.; Nakamura, F.; Maeno, Y. Role of local temperature in the current-driven metal–insulator transition of Ca2RuO4. Phys. Rev. Mater. 2020, 4, 114414. [Google Scholar] [CrossRef]
- Gauquelin, N.; Forte, F.; Jannis, D.; Fittipaldi, R.; Autieri, C.; Cuono, G.; Granata, V.; Lettieri, M.; Noce, C.; Miletto Granozio, F.; et al. Pattern Formation by Electric-field Quench in Mott Crystal. Submitted.
- Kresse, G.; Hafner, J. Ab initio molecular dynamics for liquid metals. Phys. Rev. B 1993, 47, 558–561. [Google Scholar] [CrossRef]
- Kresse, G.; Furthmüller, J. Efficiency of ab-initio total energy calculations for metals and semiconductors using a plane-wave basis set. Comput. Mater. Sci. 1996, 6, 15–50. [Google Scholar] [CrossRef]
- Kresse, G.; Furthmüller, J. Efficient iterative schemes for ab initio total-energy calculations using a plane-wave basis set. Phys. Rev. B 1996, 54, 11169. [Google Scholar] [CrossRef]
- Kresse, G.; Joubert, D. From ultrasoft pseudopotentials to the projector augmented-wave method. Phys. Rev. B 1999, 59, 1758–1775. [Google Scholar] [CrossRef]
- Perdew, J.P.; Ruzsinszky, A.; Csonka, G.I.; Vydrov, O.A.; Scuseria, G.E.; Constantin, L.A.; Zhou, X.; Burke, K. Restoring the Density-Gradient Expansion for Exchange in Solids and Surfaces. Phys. Rev. Lett. 2008, 100, 136406. [Google Scholar] [CrossRef]
- Autieri, C. Antiferromagnetic xy ferro-orbital order in insulating SrRuO3 thin films with SrO termination. J. Phys. Condens. Matter 2016, 28, 426004. [Google Scholar] [CrossRef]
- Vaugier, L.; Jiang, H.; Biermann, S. Hubbard U and Hund exchange J in transition metal oxides: Screening versus localization trends from constrained random phase approximation. Phys. Rev. B 2012, 86, 165105. [Google Scholar] [CrossRef]
- Friedt, O.; Braden, M.; André, G.; Adelmann, P.; Nakatsuji, S.; Maeno, Y. Structural and magnetic aspects of the metal-insulator transition in Ca2−xSrxRuO4. Phys. Rev. B 2001, 63, 174432. [Google Scholar] [CrossRef]
- Resta, R. Theory of the electric polarization in crystals. Ferroelectrics 1992, 136, 51–55. [Google Scholar] [CrossRef]
- King-Smith, R.D.; Vanderbilt, D. Theory of polarization of crystalline solids. Phys. Rev. B 1993, 47, 1651–1654. [Google Scholar] [CrossRef]
- Nunes, R.W.; Gonze, X. Berry-phase treatment of the homogeneous electric field perturbation in insulators. Phys. Rev. B 2001, 63, 155107. [Google Scholar] [CrossRef]
- Souza, I.; Íñiguez, J.; Vanderbilt, D. First-Principles Approach to Insulators in Finite Electric Fields. Phys. Rev. Lett. 2002, 89, 117602. [Google Scholar] [CrossRef]
- Islam, R.; Ghosh, B.; Autieri, C.; Chowdhury, S.; Bansil, A.; Agarwal, A.; Singh, B. Tunable spin polarization and electronic structure of bottom-up synthesized MoSi2N4 materials. Phys. Rev. B 2021, 104, L201112. [Google Scholar] [CrossRef]
- Islam, R.; Verma, R.; Ghosh, B.; Muhammad, Z.; Bansil, A.; Autieri, C.; Singh, B. Switchable Large-Gap Quantum Spin Hall State in Two-Dimensional MSi2Z4 Materials Class. arXiv 2022, arXiv:2207.08407. [Google Scholar] [CrossRef]
- Neugebauer, J.; Scheffler, M. Adsorbate-substrate and adsorbate-adsorbate interactions of Na and K adlayers on Al(111). Phys. Rev. B 1992, 46, 16067–16080. [Google Scholar] [CrossRef]
- Gonze, X.; Lee, C. Dynamical matrices, Born effective charges, dielectric permittivity tensors, and interatomic force constants from density-functional perturbation theory. Phys. Rev. B 1997, 55, 10355–10368. [Google Scholar] [CrossRef]
- Detraux, F.; Ghosez, P.; Gonze, X. Anomalously large Born effective charges in cubic WO3. Phys. Rev. B 1997, 56, 983–985. [Google Scholar] [CrossRef]
- Ganga Prasad, K.; Niranjan, M.K.; Asthana, S.; Karthikeyan, R. Investigation of Raman Modes and Born-Effective Charges in AgNb1/2Ta1/2O3: A Density-Functional and Raman Scattering Study. J. Am. Ceram. Soc. 2016, 99, 332–339. [Google Scholar] [CrossRef]
- Zou, W.N.; Tang, C.X.; Pan, E. Symmetry types of the piezoelectric tensor and their identification. Proc. R. Soc. A Math. Phys. Eng. Sci. 2013, 469, 20120755. [Google Scholar] [CrossRef]
- Kuwata, J.; Uchino, K.; Nomura, S. Electrostrictive coefficients of pb(Mg1/3Nb2/3)O3 ceramics. Jpn. J. Appl. Phys. 1980, 19, 2099–2103. [Google Scholar] [CrossRef]
- Khanbabaee, B.; Mehner, E.; Richter, C.; Hanzig, J.; Zschornak, M.; Pietsch, U.; Stöcker, H.; Leisegang, T.; Meyer, D.C.; Gorfman, S. Large piezoelectricity in electric-field modified single crystals of SrTiO3. Appl. Phys. Lett. 2016, 109, 222901. [Google Scholar] [CrossRef]
- Park, D.; Hadad, M.; Riemer, L.M.; Ignatans, R.; Spirito, D.; Esposito, V.; Tileli, V.; Gauquelin, N.; Chezganov, D.; Jannis, D.; et al. Induced giant piezoelectricity in centrosymmetric oxides. Science 2022, 375, 653. [Google Scholar] [CrossRef]
- Catti, M.; Noel, Y.; Dovesi, R. Full piezoelectric tensors of wurtzite and zinc blende ZnO and ZnS by first-principles calculations. J. Phys. Chem. Solids 2003, 64, 2183–2190. [Google Scholar] [CrossRef]
- Kyung, W.; Kim, C.H.; Kim, Y.K.; Kim, B.; Kim, C.; Jung, W.; Kwon, J.; Kim, M.; Bostwick, A.; Denlinger, J.D.; et al. Electric-field-driven octahedral rotation in perovskite. npj Quantum Mater. 2021, 6, 5. [Google Scholar] [CrossRef]








| Ion | |||||||||
|---|---|---|---|---|---|---|---|---|---|
| Ca | 9.331 | −0.089 | 0.087 | −0.138 | 9.288 | −2.594 | 0.172 | 0.088 | 8.875 |
| O | −4.794 | −1.101 | 0.128 | −1.003 | −4.656 | −1.471 | 0.129 | 0.054 | −3.558 |
| O | −4.558 | −0.017 | 0.383 | −0.299 | −4.651 | −1.355 | 0.227 | 0.126 | −5.915 |
| Ru | 0.045 | −0.464 | −0.119 | 0.412 | 0.037 | 3.121 | −0.409 | 0.377 | 1.193 |
| Ru | 0.045 | 0.464 | 0.119 | −0.412 | 0.037 | 3.121 | 0.409 | 0.377 | 1.193 |
Publisher’s Note: MDPI stays neutral with regard to jurisdictional claims in published maps and institutional affiliations. |
© 2022 by the authors. Licensee MDPI, Basel, Switzerland. This article is an open access article distributed under the terms and conditions of the Creative Commons Attribution (CC BY) license (https://creativecommons.org/licenses/by/4.0/).
Share and Cite
Cuono, G.; Autieri, C. Mott Insulator Ca2RuO4 under External Electric Field. Materials 2022, 15, 6657. https://doi.org/10.3390/ma15196657
Cuono G, Autieri C. Mott Insulator Ca2RuO4 under External Electric Field. Materials. 2022; 15(19):6657. https://doi.org/10.3390/ma15196657
Chicago/Turabian StyleCuono, Giuseppe, and Carmine Autieri. 2022. "Mott Insulator Ca2RuO4 under External Electric Field" Materials 15, no. 19: 6657. https://doi.org/10.3390/ma15196657
APA StyleCuono, G., & Autieri, C. (2022). Mott Insulator Ca2RuO4 under External Electric Field. Materials, 15(19), 6657. https://doi.org/10.3390/ma15196657

