Comparison of the Influence of Two Types of Plasma Treatment of Short Carbon Fibers on Mechanical Properties of Epoxy Composites Filled with These Treated Fibers
Abstract
:1. Introduction
2. Experiment
2.1. Materials
2.1.1. Plasma Treatment of Recycled Carbon Fibers
Microwave Plasma Treatment
Radiofrequency Plasma Treatment
2.1.2. Characterization of Recycled Carbon Fibers
2.2. Preparation of FRE Composite Samples
2.3. Characterization of FRE Composite Samples
3. Results and Discussion
3.1. Analysis and Morphology of Fibers
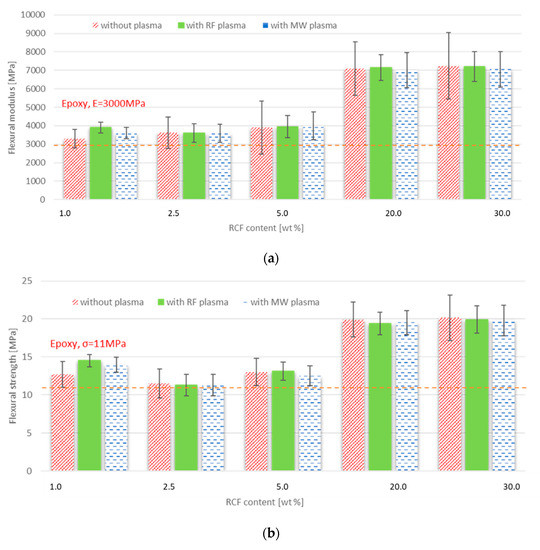
3.2. Characteristics of FRE Composites
4. Conclusions
Author Contributions
Funding
Institutional Review Board Statement
Informed Consent Statement
Data Availability Statement
Acknowledgments
Conflicts of Interest
References
- Borjan, D.; Knez, Ž.; Knez, M. Recycling of Carbon Fiber-Reinforced Composites—Difficulties and Future Perspectives. Mater 2021, 14, 4191. [Google Scholar] [CrossRef] [PubMed]
- Bismarck, A.; Song, B.; Springer, J. Contact Angle Measurements on Fibers and Fiber Assemblies, Bundles, Fabrics, and Textiles. In Surface and Interfacial Tension; CRC Press: Boca Raton, FL, USA, 2004. [Google Scholar]
- Corujeira-Gallo, S.; Dong, H. Effect of microstructure on the plasma surface treatment of carbon fibers. J. Compos. Mater. 2017, 51, 3239–3256. [Google Scholar] [CrossRef]
- Morra, M.; Occhiello, E.; Garbassi, F.; Nicolais, L. Surface studies on untreated and plasma-treated carbon fibers. Compos. Sci. Technol. 1991, 42, 361–372. [Google Scholar] [CrossRef]
- Gravis, D.; Moisan, S.; Poncin-Epaillard, F. Surface characterization of plasma-modified carbon fiber: Correlation between surface chemistry and morphology of the single strand. Surf. Interfaces 2020, 21, 100731. [Google Scholar] [CrossRef]
- Scheffler, C.; Wölfel, E.; Förster, T.; Poitzsch, C.; Kotte, L.; Mäder, G. Influence of microwave plasma treatment on the surface properties of carbon fibers and their adhesion in a polypropylene matrix. In IOP Conference Series: Materials Science and Engineering, Proceedings of the 37th Risø International Symposium on Materials Science, Risø, Denmark, 5–8 September 2016; IOP Publishing Ltd.: Bristol, UK, 2016; Volume 139, p. 139. [Google Scholar] [CrossRef]
- Morgan, P. Carbon Fibers and Their Composites; Taylor & Francis Group: Boca Raton, FL, USA, 2005; ISBN 0824709837/9780824709839. [Google Scholar]
- Chang, T. Plasma surface treatment in composites manufacturing. J. Ind. Technol. 1998, 15, 1–7. [Google Scholar]
- Donnet, J.; Dhami, T.L.; Dong, S.; Brendlé, M. Microwave plasma treatment effect on the surface energy of carbon fibers. In: J. Phys. D Appl. Phys. 1987, 20, 269. [Google Scholar] [CrossRef]
- Altay, L.; Bozaci, E.; Atagur, M.; Sever, K.; Tantug, G.S.; Sarikanat, M.; Seki, Y. The effect of atmospheric plasma treatment of recycled carbon fiber at different plasma powers on recycled carbon fiber and its polypropylene composites. J. Appl. Polym. Sci. 2019, 136, 47131. [Google Scholar] [CrossRef]
- Lee, H.; Ohsawa, I.; Takahashi, J. Effect of plasma surface treatment of recycled carbon fiber on carbon fiber-reinforced plastics (CFRP) interfacial properties. Appl. Surf. Sci. 2015, 328, 241–246. [Google Scholar] [CrossRef]
- Novotná, J.; Tomková, B.; Šourková, H. Influence of the use of oxygen plasma for the compatibility of carbon fibers with the epoxy matrix. Adhes. Adhesives 2022, 30, 1–11. [Google Scholar]
- Yuan, L.Y.; Chen, C.S.; Shyu, S.S.; Lai, J.Y. Plasma surface treatment on carbon fibers. Part 1: Morphology and surface analysis of plasma etched fibers. Compos. Sci. Technol. 1992, 45, 1–7. [Google Scholar] [CrossRef]
- Jin, P.S.; Chang, Y.; Moon, C.; Seo, D.; Im-soon, I.S.; Kim, Y. A study of atmospheric plasma treatment on surface energetics of carbon fibers. Bull. Korean Chem. Soc. 2010, 31, 335–338. [Google Scholar] [CrossRef] [Green Version]
- Weisweiler, W.; Schlitter, K. Surface Modification of Carbon Fibers by Plasma Polymerization. In Carbon Fibers Filaments and Composites; Springer: Berlin/Heidelberg, Germany, 1990; pp. 263–274. [Google Scholar] [CrossRef]
- Fairley, N.; Fernandez, V.; Richard-Plouet, M.; Guillot-Deudon, C.; Walton, J.; Smith, E.; Flahaut, D.; Greiner, M.; Biesinger, M.; Tougaard, S. Systematic and collaborative approach to problem solving using X-ray photoelectron spectroscopy. Appl. Surf. Sci. Adv. 2021, 5, 100112. [Google Scholar] [CrossRef]
- Novotná, J.; Müllerová, J.; Tomková, B. Dielectric analysis of composite materials with recycled carbon fibers. Influence of Filler Size and Structure on the electrical Properties of Carbon fiber reinforced composites. In Proceedings of the 12th International Conference on Nanomaterials - Research & Application, Brno, Czech Republic, 21–23 October 2020. [Google Scholar] [CrossRef]
- Tang, L.; Kardos, J.L. A review of methods for improving the interfacial adhesion between carbon fiber and polymer matrix. Polym. Compos. 1997, 18, 100–113. [Google Scholar] [CrossRef]
- Tiwari, S.; Bijwe, J. Surface Treatment of Carbon Fibers—A Review. Procedia Technol. 2014, 14, 505–512. [Google Scholar] [CrossRef]
- Donnet, J.B.; Brendle, M.; Dhami, T.L.; Bahl, O.P. Plasma treatment effect on the surface energy of carbon and carbon fibers. Carbon 1986, 24, 757–770. [Google Scholar] [CrossRef]
- Dilsiz, N.; Erinç, N.K.; Bayramli, E.; Akovali, G. Surface energy and mechanical properties of plasma-modified carbon fibers. Carbon 1995, 33, 853–858. [Google Scholar] [CrossRef]
- Montes-Morán, M.A.; Young, R.J. Raman spectroscopy study of HM carbon fibers: Effect of plasma treatment on the interfacial properties of single fiber/epoxy composites. Carbon 2002, 40, 845–855. [Google Scholar] [CrossRef]
- Fitzer, E.; Rozploch, F. Laser Raman spectroscopy for determination of the C–C bonding length in carbon. Carbon 1988, 26, 594–595. [Google Scholar] [CrossRef]
- Hinterreiter, A.P.; Duchoslav, J.; Kehrer, M.; Truglas, T.; Lumetzberger, A.; Unterweger, C.; Fürst, C.; Stifter, D. Determination of the surface chemistry of ozone-treated carbon fibers by highly consistent evaluation of X-ray photoelectron spectra. Carbon 2019, 146, 97–105. [Google Scholar] [CrossRef]
- Nohara, L.B.; Petraconi Filho, G.; Nohara, E.L.K.; Urban, M.; Rezende, M.C. Evaluation of carbon fiber surface treated by chemical and cold plasma processes. Mater. Res. 2005, 8, 281–286. [Google Scholar] [CrossRef]
- Čapková, P.; Matoušek, J.; Rejnek, J.; Bendlová, N.; Pavlík, J.; Kormunda, M.; Šplíchalová, L.; Pilařová, V. Effect of plasma treatment on structure and surface properties of montmorillonite. Appl. Clay Sci. 2016, 129, 15–19. [Google Scholar] [CrossRef]
- Lee, S.; Jeong, E.; Lee, M.Y.; Lee, M.; Lee, Y. Improvement of the mechanical and thermal properties of polyethersulfone-modified epoxy composites. J. Ind. Eng. Chem. 2016, 33, 73–79. [Google Scholar] [CrossRef]
- Lam, C.; Cheung, H.; Lau, K.; Zhou, L.; Ho, M.; Hui, D. Cluster size effect in hardness of nanoclay/epoxy composites. Compos. Part B 3 2005, 36, 263–269. [Google Scholar] [CrossRef]
- Teh, P.L.; Jaafar, M.; Akil, H.M.; Seetharamu, K.N.; Wagiman, A.N.R.; Beh, K.S. Thermal and mechanical properties of particulate fillers filled epoxy composites for electronic packaging application. Polym. Adv. Technol. 2008, 19, 308–315. [Google Scholar] [CrossRef]












Publisher’s Note: MDPI stays neutral with regard to jurisdictional claims in published maps and institutional affiliations. |
© 2022 by the authors. Licensee MDPI, Basel, Switzerland. This article is an open access article distributed under the terms and conditions of the Creative Commons Attribution (CC BY) license (https://creativecommons.org/licenses/by/4.0/).
Share and Cite
Novotná, J.; Kormunda, M.; Perner, J.; Tomková, B. Comparison of the Influence of Two Types of Plasma Treatment of Short Carbon Fibers on Mechanical Properties of Epoxy Composites Filled with These Treated Fibers. Materials 2022, 15, 6290. https://doi.org/10.3390/ma15186290
Novotná J, Kormunda M, Perner J, Tomková B. Comparison of the Influence of Two Types of Plasma Treatment of Short Carbon Fibers on Mechanical Properties of Epoxy Composites Filled with These Treated Fibers. Materials. 2022; 15(18):6290. https://doi.org/10.3390/ma15186290
Chicago/Turabian StyleNovotná, Jana, Martin Kormunda, Jakub Perner, and Blanka Tomková. 2022. "Comparison of the Influence of Two Types of Plasma Treatment of Short Carbon Fibers on Mechanical Properties of Epoxy Composites Filled with These Treated Fibers" Materials 15, no. 18: 6290. https://doi.org/10.3390/ma15186290
APA StyleNovotná, J., Kormunda, M., Perner, J., & Tomková, B. (2022). Comparison of the Influence of Two Types of Plasma Treatment of Short Carbon Fibers on Mechanical Properties of Epoxy Composites Filled with These Treated Fibers. Materials, 15(18), 6290. https://doi.org/10.3390/ma15186290

