The Transition of Mg-Containing Phases and Recovery of NaCl in Molten Salt Chloride Slags at High Temperature
Abstract
1. Introduction
2. Materials and Methods
2.1. Materials
2.1.1. Raw Materials
2.1.2. Experimental Systems
2.2. Methods
2.2.1. Chemical Composition Analysis
2.2.2. Thermodynamic Analysis
2.2.3. High Temperature Phase Transition and Filtration Experiment
2.2.4. Analytical Method
- (1)
- Phase analysis
- (2)
- Mg removal rate
- (3)
- Recovery rate of NaCl
3. Thermodynamic Analysis
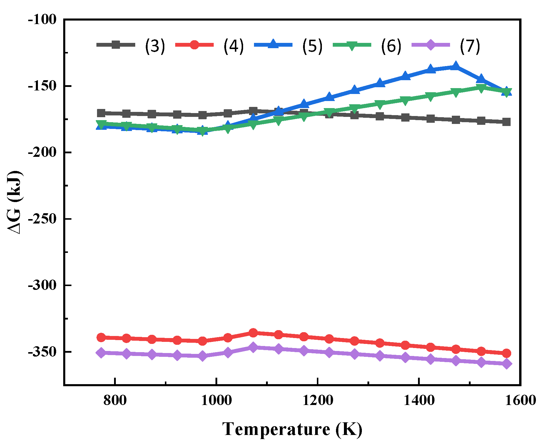
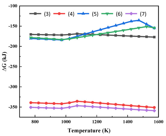
3.1. Thermodynamic Reactions of Phase Transition of MgCl2 at High Temperatures
3.2. Reaction Equilibrium Phase Diagram Analysis
4. Phase Transition and Removal Behavior of Magnesium at High Temperature
4.1. Additive Dosage
4.2. Phase Transition Temperature
4.3. Phase Transition Atmosphere
5. NaCl Recovery from Molten Salt Chloride Slags
5.1. NaCl Recovery from Molten Salt Chlorinated Synthetic Slags
5.2. NaCl Recovery from Molten Salt Chloride Slags of Panxi
6. Conclusions
Author Contributions
Funding
Institutional Review Board Statement
Informed Consent Statement
Data Availability Statement
Acknowledgments
Conflicts of Interest
References
- Xiang, J.; Pei, G.; Lv, W.; Li, B.; Qiu, G.; Lv, X. Effect of TiO2 on reduction behavior of Cr2O3 in CaO-SiO2-Al2O3-MgO-TiO2-Cr2O3 by carbon from Fe-C melt. J. Iron Steel Res. Int. 2020, 27, 1145–1152. [Google Scholar] [CrossRef]
- Zhao, L.; Wang, L.; Qi, T.; Chen, D.; Zhao, H.; Liu, Y. A novel method to extract iron, titanium, vanadium, and chromium from high-chromium vanadium-bearing titanomagnetite concentrates. Hydrometallurgy 2014, 149, 106–109. [Google Scholar] [CrossRef]
- Luo, J.; Qiu, K.; Qiu, Y.; Zhang, P. Studies of Mineralogical Characteristics on Vanadium Titanium Magnetite in Hongge Area, Panzhihua, Sichuan, China. Metall. Technol. Mater. II 2013, 813, 292–297. [Google Scholar] [CrossRef]
- Zhang, M. Preparation of Spherical TiO2 Using Panzhihua Ilmenite. Hydrometall. China 2013, 32, 336–339. [Google Scholar]
- Wu, F.; Li, X.; Wang, Z.; Wu, L.; Wang, X.; Guo, H. Tests on Acid-decomposition and Water-leaching of Panzhihua Ilmenite. Hydrometall. China 2010, 29, 88–91. [Google Scholar]
- Li, X.; Wen, S. Actuality of Dioxide and Titanium Sponge Feedstock Industry in the World and Key Points of Domestic Developing. Titan. Ind. Prog. 2011, 28, 9–13. [Google Scholar]
- Jia, H.; Lu, F.; Hao, B. Report on China titanium industry in 2020. Iron Steel Vanadium Titan. 2021, 42, 1–9. [Google Scholar]
- Xu, C.; Zhang, Y.; Liu, T.; Huang, J. Characterization and Pre-Concentration of Low-Grade Vanadium-Titanium Magnetite Ore. Minerals 2017, 7, 137. [Google Scholar] [CrossRef]
- Zhang, W.; Zhu, Z.; Cheng, C. A literature review of titanium metallurgical processes. Hydrometallurgy 2011, 108, 177–188. [Google Scholar] [CrossRef]
- Qiu, G.; Guo, Y. Current situation and development trend of titanium metal industry in China. Int. J. Miner. Metall. Mater. 2022, 29, 599–610. [Google Scholar] [CrossRef]
- Ma, X.; Shi, J. Production Practice of Large Salt Chlorinators. Nonferrous Met. Des. 2022, 49, 40–44. [Google Scholar]
- Jia, Y. Physicochemical Research on Molten Salt System for Carbochlorination of High Calcium Magnesium Titanium Slag. Master’s Thesis, Kunming University of Science and Technology, Kunming, China, 2021. [Google Scholar]
- Feng, N.; Ma, J.; Cao, K. Applied Research on the Production of Crude Titanium Tetrachloride by the Means of Molten Salt Chlorination. J. Liaoning Univ. Technol. (Nat. Sci. Ed.) 2017, 37, 180–182. [Google Scholar]
- Tian, J.; Zhang, X.; Huang, J.; Zhu, Y.; Huang, H. Technical Analysis and Comprehensive Utilization of Chlorinated Waste During the Production of TiCl4 by Fluidized Bed Chlorination. Titan. Ind. Prog. 2018, 35, 6–10. [Google Scholar]
- Liu, J. Study on the Process of Producing Titanium Tetrachloride by Molten Salt Chlorination. Mod. Min. 2019, 35, 221–225. [Google Scholar]
- Lian, R. Analysis of titanium tetrachloride process technology. Tianjin Chem. Ind. 2019, 33, 52–53. [Google Scholar]
- Wang, X.; Lei, T.; Zou, P. Research on Treatment of the Chloride in the Slag from Molten Salt Chlorination Process. Yunnan Metall. 2009, 38, 24–28. [Google Scholar]
- Jia, Y.; Li, L.; Jiang, W.; Deng, P.; Liu, D. Research Progress of Molten Salt System and Its Physical Properties for Titanium Metallurgy. J. Kunming Univ. Sci. Technol. (Nat. Sci.) 2021, 46, 1–12. [Google Scholar]
- Shi, J. Overview and Prospect of TiCl4 Production by Chlorination Furnaces. Nonferrous Met. Des. 2021, 48, 34–37. [Google Scholar]
- Qin, X. Analysis of Process of Melting Salt Chlorination with Titanium Slag in Panzhihua. Iron Steel Vanadium Titan 2015, 36, 16–19. [Google Scholar]
- Li, L.; Zhu, F.; Deng, P.; Zhang, D.; Jia, Y.; Li, K.; Kong, L.; Liu, D. Behavior of magnesium impurity during carbochlorination of magnesium-bearing titanium slag in chloride media. J. Mater. Res. Technol. 2021, 13, 204–215. [Google Scholar] [CrossRef]
- Ju, D.; Qing, Y.; Yan, D.; Chen, Z.; Li, X. Thermodynamic Analysis of Ca2+ and Mg2+ CuringProcess in Molten Chlorides. Iron Steel Vanadium Titan 2011, 32, 25–29. [Google Scholar]
- Lu, H.; Wang, H.; Yang, R.; Meng, J.; Xie, G.; Xie, H. Analysis of Deterioration Cause and Investigation on the Stability Control Measures of Molten Salt System in TiCl4 Molten Salt Chlorinator. Rare Met. Cem. Carbides 2014, 42, 16–22. [Google Scholar]
- LI, X.; Lin, R.; Ye, G.; Hu, X.; He, H. Experimental study on viscosity of melts KCl-NaCl and KCI-NaCl-MgCl2. China Meas. Test 2015, 41, 38–41. [Google Scholar] [CrossRef] [PubMed][Green Version]
- Wei, X.; Xie, P.; Zhang, X.; Wang, W.; Lu, J.; Ding, J. Research on preparation and thermodynamic properties of chloride molten salt materials. CIESC J. 2020, 71, 2423–2431. [Google Scholar]
- Xie, P. Design and Properties of Heat Transfer and Storage Materials for Chloride Molten Salt. Master’s Thesis, South China University of Technology, Guangzhou, China, 2020. [Google Scholar]
- Rong, Z.; Pan, G.; Lu, J.; Liu, S.; Ding, J.; Wang, W.; Lee, D. Ab-initio molecular dynamics study on thermal property of NaCl–CaCl2 molten salt for high-temperature heat transfer and storage. Renew. Energy 2021, 163, 579–588. [Google Scholar] [CrossRef]
- Yin, Y. Study on Thermal Stability of Chloride Salt and Enhanced Thermal Properties of Molten Salt. Master’s Thesis, South China University of Technology, Guangzhou, China, 2018. [Google Scholar]
- Zhang, J.; Wu, X.; Miao, H.; Zhou, L. Preliminary Studies on the Chloride Recycle from Residue of Fused Salt Chlorination and the Effect of Preliminary Studies on the Chloride Recycle from Residue of Fused Salt Chlorination and the Effect of Recycled Chloride on Hydrochloric Acid Leaching of llmenite. Iron Steel Vanadium Titan. 2015, 36, 48–52. [Google Scholar]
- Chen, F.; Liu, C.; Wen, Y.; Zhu, F.; Yao, H.; Guo, Y.; Wang, S.; Yang, L. The Conversion of Calcium-Containing Phases and Their Separation with NaCl in Molten Salt Chlorinated Slags at High Temperature. Sustainability 2022, 14, 293. [Google Scholar] [CrossRef]



















| Name | Chemical Formula | Specific Specifications |
|---|---|---|
| Sodium Chloride | NaCl | analysis reagent |
| Anhydrous magnesium chloride | MgCl2 | analysis reagent |
| Anhydrous calcium chloride | CaCl2 | analysis reagent |
| Sodium silicate | Na2SiO3 | SiO2 44–47% |
| Chemical Element | Ca | Mg | Al | Fe | Cl | Na | Mn | Si | Ti |
|---|---|---|---|---|---|---|---|---|---|
| Content % | 2.76 | 4.54 | 2.82 | 6.46 | 33.60 | 9.34 | 1.24 | 5.47 | 7.51 |
| Symbol | Paraphrase |
|---|---|
| the mass content of Mg in the filtrate (after separation) | |
| the recovery rate of NaCl | |
| the mass content of Mg in the filtrate (after separation) | |
| the total mass content of Mg in the reactants | |
| the mass content of NaCl in the filtrate (after separation) | |
| the total mass content of NaCl in the reactants | |
| the mass of filtrate | |
| the mass of NaCl produced by the reaction of Na2SiO3 with MgCl2 (and CaCl2) | |
| the mass of raw material |
| Temperatures/K | Times/min | Recovery Rate of NaCl/% |
|---|---|---|
| 1373 | 30 | 33.59 |
| 1473 | 10 | 97.62 |
| Weight of Filtrate/g | Composition of Filtrate/wt% | Recovery Rate of NaCl/% | Mg Removal Rate/% |
|---|---|---|---|
| 18.89 | NaCl (99.35), MgCl2 (0.0063), CaCl2 (0.045) | 97.62 | 99.98 |
Publisher’s Note: MDPI stays neutral with regard to jurisdictional claims in published maps and institutional affiliations. |
© 2022 by the authors. Licensee MDPI, Basel, Switzerland. This article is an open access article distributed under the terms and conditions of the Creative Commons Attribution (CC BY) license (https://creativecommons.org/licenses/by/4.0/).
Share and Cite
Chen, F.; Wen, Y.; Guo, Y.; Wang, S.; Yang, L.; Zheng, Y.; Li, D.; Ren, Y. The Transition of Mg-Containing Phases and Recovery of NaCl in Molten Salt Chloride Slags at High Temperature. Materials 2022, 15, 5983. https://doi.org/10.3390/ma15175983
Chen F, Wen Y, Guo Y, Wang S, Yang L, Zheng Y, Li D, Ren Y. The Transition of Mg-Containing Phases and Recovery of NaCl in Molten Salt Chloride Slags at High Temperature. Materials. 2022; 15(17):5983. https://doi.org/10.3390/ma15175983
Chicago/Turabian StyleChen, Feng, Yuekai Wen, Yufeng Guo, Shuai Wang, Lingzhi Yang, Yu Zheng, Dongyue Li, and Yuqiao Ren. 2022. "The Transition of Mg-Containing Phases and Recovery of NaCl in Molten Salt Chloride Slags at High Temperature" Materials 15, no. 17: 5983. https://doi.org/10.3390/ma15175983
APA StyleChen, F., Wen, Y., Guo, Y., Wang, S., Yang, L., Zheng, Y., Li, D., & Ren, Y. (2022). The Transition of Mg-Containing Phases and Recovery of NaCl in Molten Salt Chloride Slags at High Temperature. Materials, 15(17), 5983. https://doi.org/10.3390/ma15175983

