Effect of V on the Precipitation Behavior of Ti−Mo Microalloyed High-Strength Steel
Abstract
:1. Introduction
2. Materials and Experimental Procedure
3. Results and Discussion
3.1. Quantitative Analysis of Precipitation in Ti-Mo and Ti−Mo−V Steels
3.2. Precipitation Characterization
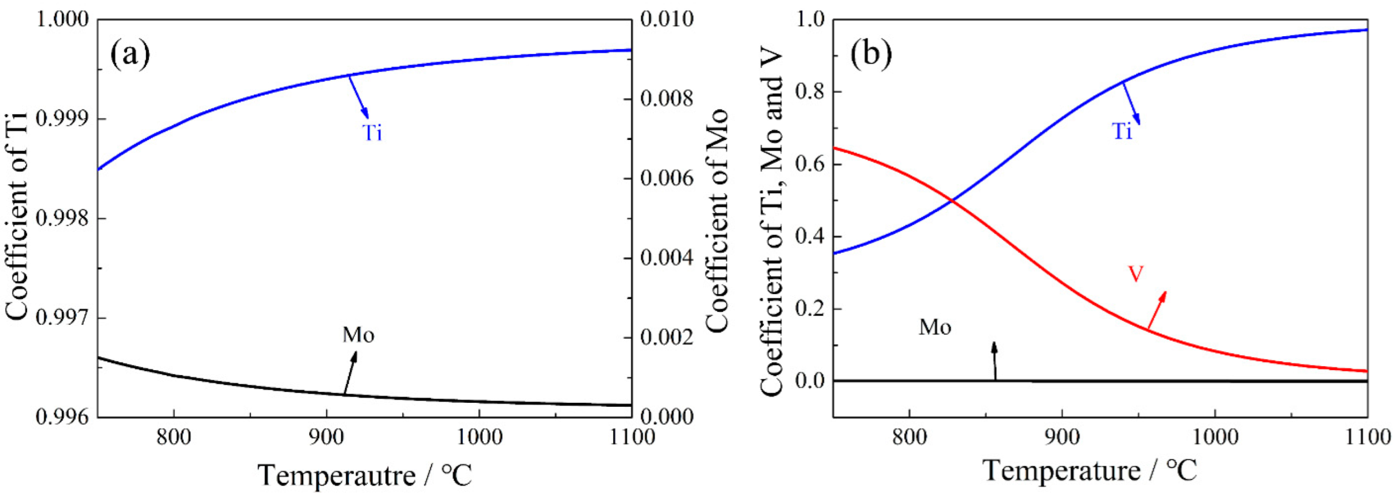
3.3. Effect of V on the Precipitation Behavior in the Austenite of Ti−Mo Steel
3.4. Effect of V on the Precipitation Behavior in Ferrite of Ti−Mo Steel
4. Conclusions
- The addition of V can significantly increase the volume fraction of the (Ti, Mo, V)C precipitates in Ti−Mo−V steel (0.242% vs. 0.389%). The precipitation characterization shows that the (Ti, Mo, V)C particles can be divided into three types: spherical precipitates in austenite after deformation, interphase precipitates during γ→α transformation and dispersive nano-sized precipitates in the supersaturated ferrite matrix.
- The results of theoretical calculation indicate that when the temperature is higher than 872 °C, the addition of vanadium can increase the driving force for (Ti, Mo, V)C precipitation in austenite, resulting in an increased nucleation rate and shortened incubation period, promoting the (Ti, Mo, V)C precipitation.
- The PTT curve of (Ti, Mo, V)C precipitated in the ferrite region is “C” shaped, but that of (Ti, Mo)C is “ε” shaped, and the incubation period of (Ti, Mo, V)C is significantly shorter than that of (Ti, Mo)C.
Author Contributions
Funding
Conflicts of Interest
References
- Song, R.; Fonstein, N.; Jun, H.J.; Pottore, N.; Bhattacharya, D.; Jansto, S. Effects of Nb on Microstructural Evolution and Mechanical Properties of Low-Carbon Cold-Rolled Dual-Phase Steels. Metallogr. Microstruct. Anal. 2014, 3, 174–184. [Google Scholar] [CrossRef]
- Hu, J.; Du, L.X.; Ma, Y.N.; Guo, G.S.; Xie, H.; Mirsa, R.D.K. Effect of microalloying with molybdenum and boron on the microstructure and mechanical properties of ultra-low-C Ti bearing steel. Mater. Sci. Eng. A 2015, 640, 259–266. [Google Scholar] [CrossRef]
- Liu, C.; Xiong, F.; Wang, Y.; Cao, Y.; Liu, X.; Xue, Z.; Peng, Q.; Peng, L. Strengthening Mechanism and Carbide Precipitation Behavior of Nb-Mo Microalloy Medium Mn Steel. Materials 2021, 14, 7461. [Google Scholar] [CrossRef] [PubMed]
- Yuan, J.; Xiao, Y.; Min, N.; Li, W.; Zhao, S. The Influence of Precipitate Morphology on the Growth of Austenite Grain in Nb-Ti-Al Microalloyed Steels. Materials 2022, 15, 3176. [Google Scholar] [CrossRef] [PubMed]
- Li, X.; Yang, J.; Li, Y.; Liu, L.; Jin, C.; Gao, X.; Deng, X.; Wang, Z. A Systematical Evaluation of the Crystallographic Orientation Relationship between MC Precipitates and Ferrite Matrix in HSLA Steels. Materials 2022, 15, 3967. [Google Scholar] [CrossRef]
- Saito, N.; Fukahori, M.; Minote, T.; Funakawa, Y.; Hisano, D.; Hamasaki, H.; Yoshida, F. Elasto-viscoplastic behavior of 980 MPa nano-precipitation strengthened steel sheet at elevated temperatures and spring back in warm bending. Int. J. Mech. Sci. 2018, 146–147, 571–582. [Google Scholar] [CrossRef]
- Timokhina, I.; Miller, M.K.; Wang, J.; Beladi, H.; Cizek, P.; Hodgson, P.D. On the Ti-Mo-Fe-C atomic clustering during interphase precipitation in the Ti-Mo steel studied by advanced microscopic techniques. Mater. Des. 2016, 111, 222–229. [Google Scholar] [CrossRef]
- Huang, Y.; Liu, W.; Zhao, A.; Han, J.; Wang, Z.; Yin, H. Effect of Mo content on the thermal stability of Ti-Mo-bearing ferritic steel. Int. J. Miner. Metall. Mater. 2021, 28, 412–421. [Google Scholar] [CrossRef]
- Funakawa, Y.; Shiozaki, T.; Tomita, K.; Yamamoto, T.; Maeda, E. Development of High Strength Hot-rolled Sheet Steel Consisting of Ferrite and Nanometer-sized Carbides. ISIJ Int. 2004, 44, 1945–1951. [Google Scholar] [CrossRef]
- Cai, M.; Chen, L.; Fang, K.; Huang, H.; Hodgson, P. The effects of a ferritic or martensitic matrix on the tensile behavior of a nano-precipitation strengthened ultra-low carbon Ti–Mo–Nb steel. Mater. Sci. Eng. A 2021, 801, 140410. [Google Scholar] [CrossRef]
- Bu, F.Z.; Wang, X.M.; Chen, L.; Yang, S.W.; Shang, C.J.; Misra, R.D.K. Influence of cooling rate on the precipitation behavior in Ti–Nb–Mo microalloyed steels during continuous cooling and relationship to strength. Mater. Charact. 2015, 102, 146–155. [Google Scholar] [CrossRef]
- Huang, H.; Yang, G.; Zhao, G.; Mao, X.; Gan, X.; Yin, Q.; Yi, H. Effect of Nb on the microstructure and properties of Ti-Mo microalloyed high-strength ferritic steel. Mater. Sci. Eng. A 2018, 736, 148–155. [Google Scholar] [CrossRef]
- He, X.; Yang, G.; Mao, X.; Yu, C.; Da, C.; Gan, X. Effect of Nb on the Continuous Cooling Transformation Rule and Microstructure, Mechanical Properties of Ti-Mo Bearing Microalloyed Steel. Acta Metall. Sin. 2017, 53, 648–656. [Google Scholar]
- Gan, X.L.; Yang, G.W.; Zhao, G.; Mao, X.P.; Huang, H.H.; Xu, G. Effect of Vanadium on the Phase Transformation Behavior of Ti–Mo Microalloyed Ultra-High Strength Steel. Steel Res. Int. 2018, 89, 1800112. [Google Scholar]
- Zhang, K.; Li, Z.D.; Sun, X.J.; Yong, Q.L.; Yang, J.W.; Li, Y.M.; Zhao, P.L. Development of Ti–V–Mo Complex Microalloyed Hot-Rolled 900-MPa-Grade High-Strength Steel. Acta Metall. Sin. Engl. Lett. 2015, 28, 641–648. [Google Scholar] [CrossRef]
- Fu, Z.; Yang, G.; Han, R.; Xu, Y.; Mao, X.; Bao, S.; Zhao, G. Influence of coiling temperature on microstructure and mechanical properties of a hot-rolled high-strength steel microalloyed with Ti, Mo and V. J. Iron Steel Res. Int. 2022, 29, 10. [Google Scholar] [CrossRef]
- Yang, G.; Sun, X.; Li, Z.; Li, X.; Yong, Q. Effects of vanadium on the microstructure and mechanical properties of a high strength low alloy martensite steel. Mater. Des. 2013, 50, 102–107. [Google Scholar] [CrossRef]
- Xu, L.; Wu, H.; Tang, Q. Effects of Coiling Temperature on Microstructure and Precipitation Behavior in Nb–Ti Microalloyed Steels. ISIJ Int. 2018, 58, 1086–1093. [Google Scholar] [CrossRef]
- Misra, R.D.K.; Nathani, H.; Hartmann, J.E.; Siciliano, F. Microstructural evolution in a new 770MPa hot rolled Nb–Ti microalloyed steel. Mater. Sci. Eng. A 2005, 394, 339–352. [Google Scholar] [CrossRef]
- Yen, H.; Chen, P.; Huang, C.; Yang, J. Interphase precipitation of nanometer-sized carbides in a titanium–molybdenum-bearing low-carbon steel. Acta Mater. 2011, 59, 6264–6274. [Google Scholar] [CrossRef]
- Ricks, R.A.; Howell, P.R. The formation of discrete precipitate dispersions on mobile interphase boundaries in iron-base alloys. Acta Mater. 1983, 31, 853–861. [Google Scholar] [CrossRef]
- Gong, P.; Liu, X.G.; Rijkenberg, A.; Rainforth, W.M. The effect of molybdenum on interphase precipitation and microstructures in microalloyed steels containing titanium and vanadium. Acta Mater. 2018, 161, 374–387. [Google Scholar] [CrossRef] [Green Version]
- Park, D.; Huh, M.; Shim, J.; Suh, J.; Lee, K.; Jung, W. Strengthening mechanism of hot rolled Ti and Nb microalloyed HSLA steels containing Mo and W with various coiling temperature. Mater. Sci. Eng. A 2013, 560, 528–534. [Google Scholar] [CrossRef]
- Yong, Q.L. Secondary Phases in Steels; Metallurgy Industry Press: Beijing, China, 2006. [Google Scholar]
- Chen, S.; Li, L.; Peng, Z.; Huo, X.; Gao, J. Strain-induced precipitation in Ti microalloyed steel by two-stage controlled rolling process. J. Mater. Res. Technol. 2020, 9, 15759–15770. [Google Scholar] [CrossRef]
- Zhang, K.; Sun, X.-J.; Li, Z.-D.; Xu, K.; Jia, T.; Zhu, Z.-H.; Ye, X.-Y.; Kang, J.-Y.; Yong, Q.-L. Effect of ti/v ratio on thermodynamics and kinetics of mc in γ/α matrices of ti-v microalloyed steels. J. Iron Steel Res. Int. 2021, 28, 1019–1029. [Google Scholar] [CrossRef]
- Kim, Y.W.; Hong, S.; Huh, Y.; Lee, C.S. Role of rolling temperature in the precipitation hardening characteristics of Ti–Mo microalloyed hot-rolled high strength steel. Mater. Sci. Eng. A 2014, 615, 255–261. [Google Scholar] [CrossRef]
- Kim, Y.W.; Kim, J.H.; Hong, S.; Lee, C.S. Effects of rolling temperature on the microstructure and mechanical properties of Ti–Mo microalloyed hot-rolled high strength steel. Mater. Sci. Eng. A 2014, 605, 244–252. [Google Scholar] [CrossRef]
- Taylor, K.A. Solubility products for titanium-, vanadium-, and niobium-carbide in ferrite. Scr. Mater. 1995, 32, 7–12. [Google Scholar] [CrossRef]










| Steel | C | Si | Mn | Ti | Mo | V | Cr | N | Fe |
|---|---|---|---|---|---|---|---|---|---|
| Ti−Mo | 0.06 | 0.07 | 1.44 | 0.097 | 0.28 | - | 0.21 | 0.0035 | Bal. |
| Ti−Mo−V | 0.08 | 0.14 | 1.48 | 0.10 | 0.30 | 0.24 | 0.22 | 0.0049 | Bal. |
| Symbol | Meaning | Unit |
|---|---|---|
| Mi | Amount of microalloyed element in the steel | wt.% |
| [Mi] | Amount of solid solution of element Mi | wt% |
| fv | Volume fraction of precipitation | % |
| ρFe,ρMC | Density of Fe and MC precipitated particles | kg/m3 |
| K | Temperature-independent constant | - |
| t0da | Temperature-independent parameter | s |
| t0.05da | Start time of precipitation that corresponds to the fraction precipitates 5% | s |
| d* | Size of critical nucleus in austenite | nm |
| dd* | Size of critical nucleus in ferrite | nm |
| A | Core energy of an edge dislocation line per unit | J/m |
| σ | Interfacial energy | J/m2 |
| Specific interfacial energy between MiC and matrix | J/m2 | |
| ΔGV | Volume free energy | J/m3 |
| ΔG* | Critical nuclear power in austenite | J |
| ΔGd* | Critical nuclear power in ferrite | J |
| Vm | Molar volume of precipitates | m3/mol |
| A, B | Constants of precipitates in the solubility product formula | - |
| n, x, y, z | Stoichiometric coefficient | - |
| η | Shape factor | - |
| Q | Activation energy for atoms | J/mol |
| k | Boltzmann constant | - |
| Steel | Mass Fraction of Element in MC Phase/% | fv/% | ||||
|---|---|---|---|---|---|---|
| Ti a | Mo | V | C b | ∑ | ||
| Ti−Mo | 0.082 | 0.085 | - | 0.031 | 0.212 | 0.242 |
| Ti−Mo−V | 0.077 | 0.087 | 0.086 | 0.050 | 0.300 | 0.389 |
| Steel | Mass Fraction of Element in M3C Phase/% | |||||
|---|---|---|---|---|---|---|
| Fe | Mn | Mo | V | C c | ∑ | |
| Ti−Mo | 0.323 | 0.033 | 0.026 | - | 0.027 | 0.416 |
| Ti−Mo−V | 0.299 | 0.018 | 0.031 | 0.01 | 0.025 | 0.391 |
Publisher’s Note: MDPI stays neutral with regard to jurisdictional claims in published maps and institutional affiliations. |
© 2022 by the authors. Licensee MDPI, Basel, Switzerland. This article is an open access article distributed under the terms and conditions of the Creative Commons Attribution (CC BY) license (https://creativecommons.org/licenses/by/4.0/).
Share and Cite
Han, R.; Yang, G.; Xu, D.; Jiang, L.; Fu, Z.; Zhao, G. Effect of V on the Precipitation Behavior of Ti−Mo Microalloyed High-Strength Steel. Materials 2022, 15, 5965. https://doi.org/10.3390/ma15175965
Han R, Yang G, Xu D, Jiang L, Fu Z, Zhao G. Effect of V on the Precipitation Behavior of Ti−Mo Microalloyed High-Strength Steel. Materials. 2022; 15(17):5965. https://doi.org/10.3390/ma15175965
Chicago/Turabian StyleHan, Ruyang, Gengwei Yang, Deming Xu, Lu Jiang, Zhixiang Fu, and Gang Zhao. 2022. "Effect of V on the Precipitation Behavior of Ti−Mo Microalloyed High-Strength Steel" Materials 15, no. 17: 5965. https://doi.org/10.3390/ma15175965
APA StyleHan, R., Yang, G., Xu, D., Jiang, L., Fu, Z., & Zhao, G. (2022). Effect of V on the Precipitation Behavior of Ti−Mo Microalloyed High-Strength Steel. Materials, 15(17), 5965. https://doi.org/10.3390/ma15175965

