Driving Third-Order Optical Nonlinearities in Photoluminescent Si Nanoparticles by Nitrogen Co-Implantation in a Silica Matrix
Abstract
:1. Introduction
2. Materials and Methods
2.1. Sample Preparation
2.2. Microscopy Characterization
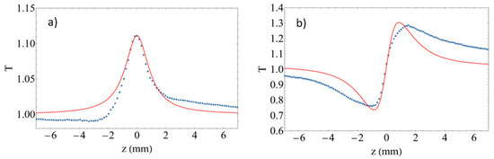
2.3. UV-Vis Spectroscopy and Photoluminescence Studies
2.4. Nanosecond and Picosecond Two−Wave Mixing Experiments
2.5. Femtosecond z-Scan Experiments
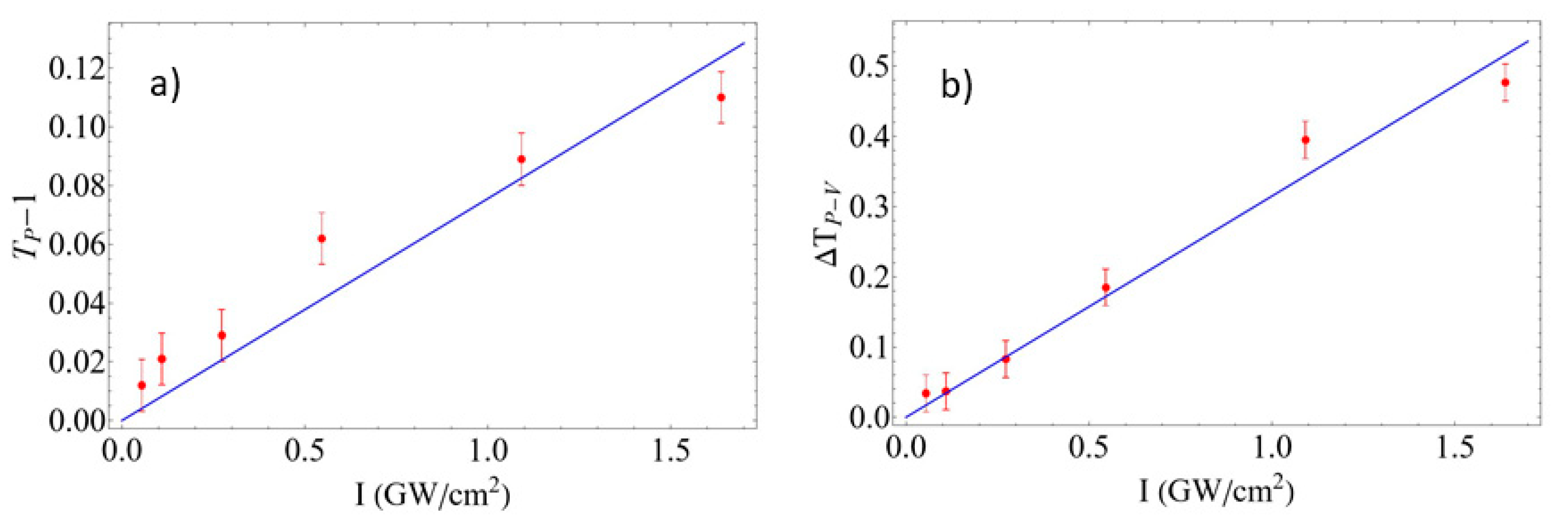
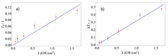
2.6. Photothermal Evaluations
3. Results
4. Discussion
5. Conclusions
Author Contributions
Funding
Informed Consent Statement
Data Availability Statement
Acknowledgments
Conflicts of Interest
References
- Thomson, D.; Zilkie, A.; Bowers, J.E.; Komljenovic, T.; Reed, G.T.; Vivien, L.; Marris-Morini, D.; Cassan, E.; Virot, L.; Fédéli, J.-M.; et al. Roadmap on silicon photonics. J. Opt. 2016, 18, 073003. [Google Scholar] [CrossRef]
- Xie, M.X.M.; Yuan, Z.Y.Z.; Qian, B.Q.B.; Pavesi, A.L.P.L. Silicon nanocrystals to enable silicon photonics Invited Paper. Chin. Opt. Lett. 2009, 7, 319–324. [Google Scholar] [CrossRef]
- Khriachtchev, L. (Ed.) Silicon Nanophotonics, 2nd ed.; Pan Stanford Publishing Pte. Ltd.: Singapore, 2016. [Google Scholar]
- Bornacelli, J.; Silva-Pereyra, H.G.; Rodríguez-Fernández, L.; Avalos-Borja, M.; Oliver, A. Platinum nanoclusters in silica: Photoluminescent properties and their application for enhancing the emission of silicon nanocrystals in an integrated configuration. J. Appl. Phys. 2016, 120, 123106. [Google Scholar] [CrossRef]
- Leuthold, J.; Koos, C.; Freude, W. Nonlinear silicon photonics. Nat. Photonics 2010, 4, 535–544. [Google Scholar] [CrossRef]
- Tan, D.T.H.; Ooi, K.J.A.; Ng, D.K.T. Nonlinear optics on silicon-rich nitride—A high nonlinear figure of merit CMOS platform [Invited]. Photonics Res. 2018, 6, B50–B66. [Google Scholar] [CrossRef]
- Bornacelli, J.; Torres-Torres, C.; Can-Uc, B.; Rangel-Rojo, R.; Silva-Pereyra, H.; Labrada-Delgado, G.; Rodríguez-Fernández, L.; Cheang-Wong, J.; Oliver, A. Coupling effects and ultrafast third-order nonlinear optical behavior in ion-implanted silicon quantum dots and platinum nanoclusters. Opt. Mater. 2019, 97, 109388. [Google Scholar] [CrossRef]
- Xiang, C.; Jin, W.; Bowers, J.E. Silicon nitride passive and active photonic integrated circuits: Trends and prospects. Photonics Res. 2022, 10, A82. [Google Scholar] [CrossRef]
- Wang, Y.Q.; Cao, L.; Cao, Z.X. High-efficiency visible photoluminescence from amorphous silicon nanoparticles embedded in silicon nitride. Appl. Phys. Lett. 2003, 83, 3474–3476. [Google Scholar] [CrossRef]
- Hao, H.L.; Wu, L.K.; Shen, W.Z.; Dekkers, H.F.W. Origin of visible luminescence in hydrogenated amorphous silicon nitride. Appl. Phys. Lett. 2007, 91, 201922. [Google Scholar] [CrossRef]
- Vlasukova, L.; Parkhomenko, I.; Komarov, F.; Akilbekov, A.; Murzalinov, D.; Mudryi, A.; Ryabikin, Y.; Romanov, I.; Giniyatova, S.; Dauletbekova, A.K. Luminescence of silicon nitride films implanted with nitrogen ions. Mater. Res. Express 2018, 5, 096414. [Google Scholar] [CrossRef]
- Tan, D.T.H.; Ng, D.K.T.; Choi, J.W.; Sahin, E.; Sohn, B.U.; Chen, G.F.R.; Xing, P.; Gao, H.; Cao, Y. Nonlinear optics in ultra-silicon-rich nitride devices: Recent developments and future outlook. Adv. Phys. X 2021, 6, 1905544. [Google Scholar] [CrossRef]
- Friedman, A.; Nejadriahi, H.; Sharma, R.; Fainman, Y. Demonstration of the DC-Kerr effect in silicon-rich nitride. Opt. Lett. 2021, 46, 4236. [Google Scholar] [CrossRef] [PubMed]
- Sohn, B.-U.; Choi, J.W.; Ng, D.K.T.; Tan, D.T.H. Optical nonlinearities in ultra-silicon-rich nitride characterized using z-scan measurements. Sci. Rep. 2019, 9, 10364. [Google Scholar] [CrossRef]
- Ziegler, J.F.; Ziegler, M.D.; Biersack, J.P. SRIM–The stopping and range of ions in matter (2010). Nucl. Instrum. Methods Phys. Res. Sect. B 2010, 268, 1818–1823. [Google Scholar] [CrossRef]
- Boyd, R.W. Nonlinear Optics, 3rd ed.; Academic Press: New York, NY, USA, 2008. [Google Scholar]
- Kim, T.-Y.; Park, N.-M.; Kim, K.-H.; Sung, G.Y.; Ok, Y.-W.; Seong, T.-Y.; Choi, C.-J. Quantum confinement effect of silicon nanocrystals in situ grown in silicon nitride films. Appl. Phys. Lett. 2004, 85, 5355–5357. [Google Scholar] [CrossRef]
- Sheik-Bahae, M.; Said, A.; Wei, T.-H.; Hagan, D.; Van Stryland, E. Sensitive measurement of optical nonlinearities using a single beam. IEEE J. Quantum Electron. 1990, 26, 760–769. [Google Scholar] [CrossRef]
- Fernandez, B.G.; López, M.; García, C.; Pérez-Rodríguez, A.; Morante, J.R.; Bonafos, C.; Carrada, M.; Claverie, A. Influence of average size and interface passivation on the spectral emission of Si nanocrystals embedded in SiO2. J. Appl. Phys. 2002, 91, 798–807. [Google Scholar] [CrossRef]
- Ledoux, G.; Gong, J.; Huisken, F.; Guillois, O.; Reynaud, C. Photoluminescence of size-separated silicon nanocrystals: Confirmation of quantum confinement. Appl. Phys. Lett. 2002, 80, 4834–4836. [Google Scholar] [CrossRef]
- Ranjan, V.; Singh, V.A.; John, G.C. Effective exponent for the size dependence of luminescence in semiconductor nanocrystallites. Phys. Rev. B 1998, 58, 1158–1161. [Google Scholar] [CrossRef]
- Bornacelli, J.; Reyes-Esqueda, J.A.; Rodríguez-Fernández, L.; Oliver, A. Improving Passivation Process of Si Nanocrystals Embedded in SiO2 Using Metal Ion Implantation. J. Nanotechnol. 2013, 2013, 736478. [Google Scholar] [CrossRef]
- White, C.; Budai, J.; Withrow, S.; Zhu, J.; Sonder, E.; Zuhr, R.; Meldrum, A.; Hembree, J.D.; Henderson, D.; Prawer, S. Encapsulated semiconductor nanocrystals formed in insulators by ion beam synthesis. Nucl. Instrum. Methods Phys. Res. Sect. B 1998, 141, 228–240. [Google Scholar] [CrossRef]
- Cesca, T.; Manca, M.; Michieli, N.; Mattei, G. Tuning the linear and nonlinear optical properties of ordered plasmonic nanoarrays by morphological control with thermal annealing. Appl. Surf. Sci. 2019, 491, 67–74. [Google Scholar] [CrossRef]
- Rangel-Rojo, R.; Yamada, S.; Matsuda, H.; Yankelevich, D. Large near-resonance third-order nonlinearity in an azobenzene-functionalized polymer film. Appl. Phys. Lett. 1998, 72, 1021–1023. [Google Scholar] [CrossRef]
- Yannopapas, V. Enhancement of nonlinear susceptibilities near plasmonic metamaterials. Opt. Commun. 2010, 283, 1647–1649. [Google Scholar] [CrossRef]
- Torres-Torres, R. Extracting characteristic impedance in low-loss substrates. Electron. Lett. 2011, 47, 191–193. [Google Scholar] [CrossRef]
- Fu, M.; Wang, X.; Yi, W.; Li, X.; Frandsen, L.H.; Guan, X. Slot Waveguides with Silicon-Rich Materials for Nonlinear Applications. IEEE Photonics J. 2021, 13, 6600109. [Google Scholar] [CrossRef]
- Ooi, K.J.A.; Ng, D.K.T.; Wang, T.; Chee, A.K.L.; Ng, S.K.; Wang, Q.; Ang, L.K.; Agarwal, A.; Kimerling, L.C.; Tan, D.T.H. Pushing the limits of CMOS optical parametric amplifiers with USRN:Si7N3 above the two-photon absorption edge. Nat. Commun. 2017, 8, 13878. [Google Scholar] [CrossRef]
- Krückel, C.J.; Fülöp, A.; Klintberg, T.; Bengtsson, J.; Andrekson, P.A.; Torres-Company, V. Linear and nonlinear characterization of low-stress high-confinement silicon-rich nitride waveguides. Opt. Express 2015, 23, 25827–25837. [Google Scholar] [CrossRef]
- Lacava, C.; Stankovic, S.; Khokhar, A.Z.; Bucio, T.D.; Gardes, F.Y.; Reed, G.T.; Richardson, D.; Petropoulos, P. Si-rich Silicon Nitride for Nonlinear Signal Processing Applications. Sci. Rep. 2017, 7, 22. [Google Scholar] [CrossRef]
- Hernández, S.; Pellegrino, P.; Martínez, A.; Lebour, Y.; Garrido, B.; Spano, R.; Cazzanelli, M.; Daldosso, N.; Pavesi, L.; Jordana, E.; et al. Linear and nonlinear optical properties of Si nanocrystals in SiO2 deposited by plasma-enhanced chemical-vapor deposition. J. Appl. Phys. 2008, 103, 064309. [Google Scholar] [CrossRef]
- Toudert, J.; Fernandez, H.; Babonneau, D.; Camelio, S.; Girardeau, T.; Solis, J. Linear and third-order nonlinear optical responses of multilayered Ag:Si3N4 nanocomposites. Nanotechnology 2009, 20, 475705. [Google Scholar] [CrossRef] [PubMed]








| Sample | [esu] | [esu] |
|---|---|---|
| Irradiation by 4 ns pulses | Irradiation by 25 ps pulses | |
| SiNPs | 3.7 × 10−10 | 2.9 × 10−10 |
| SiNPs+N | 4.81 × 10−10 | 9.28 × 10−10 |
| (cm2/GW) | (cm/GW) | (esu) | Platform | |
|---|---|---|---|---|
| Ultra Si-rich Nitride (Si7N3) [14] | 8.1 × 10−4 | 80 | - | PECVD 1 |
| Si-rich Nitride and Si-rich oxide layers [28] | 2.5 × 10−5 | Nil | - | CVD 2 |
| Si-rich nitride (Si7N3) [29] | 2.8 × 10−4 | Nil | - | CVD |
| Si-rich Nitride (Si1.85N) [30] | 1.4 × 10−5 | Nil | - | CVD |
| Si-rich Nitride (Si1.25N) [31] | 1.6 × 10−5 | Nil | - | PECVD |
| Si clusters in SiO2 [33] | ~10−3 | ~10−1 | 1.9 × 10−10 | PECVD |
| Multilayered Ag: Si3N4 [32] | - | - | 1.1 × 10−7 | Ion Beam Sputtering |
| SiNPs in SiO2 (This Work) | 0.26 | −3.97 × 10−4 | 2.9 × 10−10 | Ion Implantation |
| SiNPs+N in SiO2 (This Work) | ≤0.071 | ≤−385 | 9.28 × 10−10 | Ion Implantation |
Publisher’s Note: MDPI stays neutral with regard to jurisdictional claims in published maps and institutional affiliations. |
© 2022 by the authors. Licensee MDPI, Basel, Switzerland. This article is an open access article distributed under the terms and conditions of the Creative Commons Attribution (CC BY) license (https://creativecommons.org/licenses/by/4.0/).
Share and Cite
Bornacelli, J.; Araiza-Sixtos, F.A.; Torres-Torres, C.; Hernández-Acosta, M.A.; Oliver, A.; Rangel-Rojo, R. Driving Third-Order Optical Nonlinearities in Photoluminescent Si Nanoparticles by Nitrogen Co-Implantation in a Silica Matrix. Materials 2022, 15, 5670. https://doi.org/10.3390/ma15165670
Bornacelli J, Araiza-Sixtos FA, Torres-Torres C, Hernández-Acosta MA, Oliver A, Rangel-Rojo R. Driving Third-Order Optical Nonlinearities in Photoluminescent Si Nanoparticles by Nitrogen Co-Implantation in a Silica Matrix. Materials. 2022; 15(16):5670. https://doi.org/10.3390/ma15165670
Chicago/Turabian StyleBornacelli, Jhovani, Fernando Arturo Araiza-Sixtos, Carlos Torres-Torres, Marco Antonio Hernández-Acosta, Alicia Oliver, and Raúl Rangel-Rojo. 2022. "Driving Third-Order Optical Nonlinearities in Photoluminescent Si Nanoparticles by Nitrogen Co-Implantation in a Silica Matrix" Materials 15, no. 16: 5670. https://doi.org/10.3390/ma15165670
APA StyleBornacelli, J., Araiza-Sixtos, F. A., Torres-Torres, C., Hernández-Acosta, M. A., Oliver, A., & Rangel-Rojo, R. (2022). Driving Third-Order Optical Nonlinearities in Photoluminescent Si Nanoparticles by Nitrogen Co-Implantation in a Silica Matrix. Materials, 15(16), 5670. https://doi.org/10.3390/ma15165670

