A Methodology for Optimizing the Calibration and Validation of Reactive Transport Models for Cement-Based Materials
Abstract
:1. Introduction
2. Methodology
2.1. Experimental Investigations
2.1.1. Sample Preparation
2.1.2. Thermogravimetric Analyses (TGA)
2.1.3. X-ray Diffraction (XRD)
2.1.4. Inductively Coupled Plasma Optical Emission Spectrometry (ICP-OES)
2.2. Numerical Model
2.2.1. Mass Transport
2.2.2. Reaction Model (Chemical Equilibrium)
2.2.3. Microstructure Model
2.2.4. Input Parameters
3. Results
3.1. Thermogravimetric Analysis (TGA)
3.2. Phase Assemblage during Exposure (XRD)
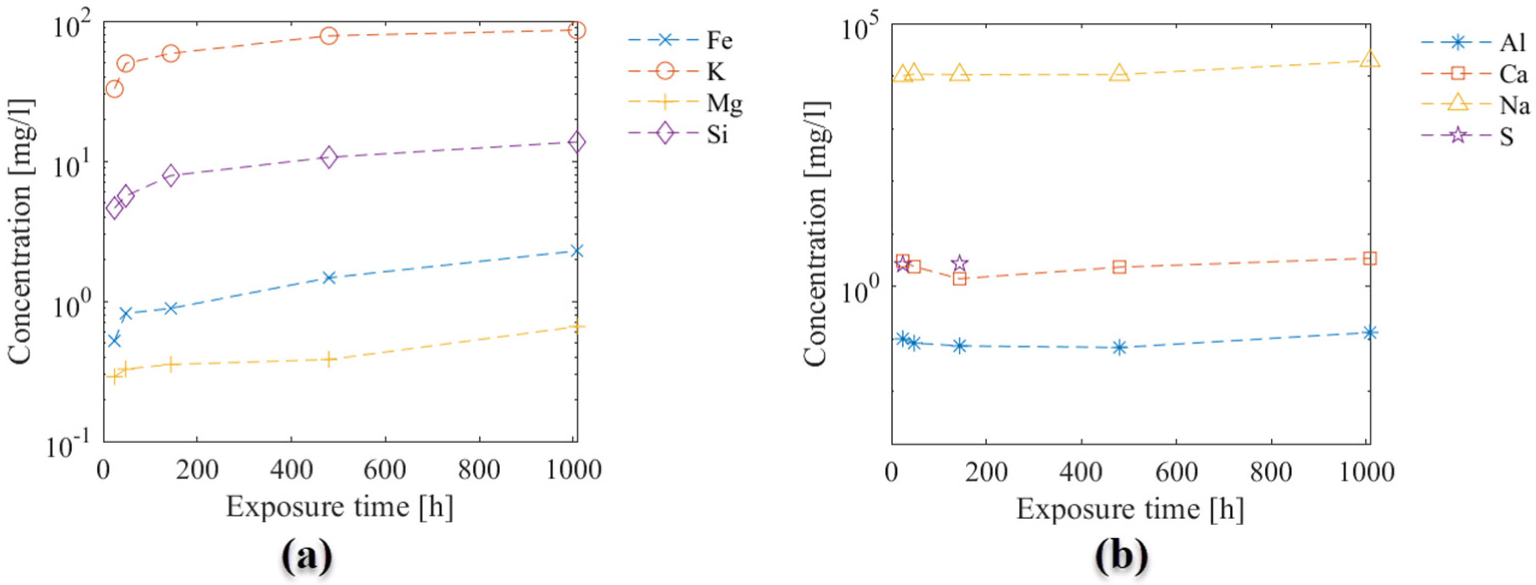
3.3. Chemical Composition of Exposure Solution (ICP-OES)
3.4. Model Results
3.5. Comparison of Model and Experimental Results
4. Discussion
4.1. Calibration of the Reaction Model
- An initial model of the binder system is set based on the TGA and XRD experimental data. In addition, XRD measurements are used to confirm the phase assemblage of the unexposed hydrated system;
- The degree of hydration is estimated based on the TGA experimental data (see also Figure 2);
- The system is simulated with a stepwise increase of NaHCO3 in solution (see Figure 9) to validate the considered phase assemblage within the expected modeled chemical systems.
4.2. Validation of the Transport Model
5. Conclusions
- In this study, an approach was presented to limit the degree of freedom in the input space of a reactive transport model for cement-based materials;
- The proposed approach utilizes several short-term experimental results, which provide multiple reference data at different times and result in a more robust model validation process;
- Early age carbonation of class G oil well cement exposed to 0.5 M NaHCO3 solution was studied as proof of concept;
- Changes in the hydrate phases were evaluated experimentally using TGA and XRD, while the chemistry of the exposure solution was monitored using ICP-OES;
- Comparison between numerical and experimental results indicates that the calibrated model could reproduce changes in hydrate phases and pore solution during early age exposure;
- The process to limit the design space for possible input parameters was carried out in two steps: first, establishing a representative chemical system with a limited number of hydrate phases and ionic species and second, calibrating the transport processes by modifying the impact of the geometric tortuosity on the ionic transport (i.e., through the initial tortuosity factor);
- To establish a representative chemical system, experimental data were used in combination with the Cemdata18 chemical database to identify the dominant hydrate phases and ionic species in the system:
- ○
- In particular, TGA experimental data were used to estimate the degree of hydration and provide a reference for the change in mass weight of portlandite and calcite phases over time;
- ○
- In addition, XRD analysis detected the presence of clinker phases (i.e., alite, belite, and brownmillerite) and ettringite, which was utilized to describe the initial unexposed hydrated system;
- ○
- Repeated XRD measurements over time intervals did not provide additional information; thus, one set of XRD measurements was found to be sufficient when combined with TGA measurements over time for this study.
- The robustness of the calibrated chemical model was tested by simulating a stepwise increase of NaHCO3 and varying the initial oxide composition. This process resulted in a representative chemical system with a reduced number of parameters, which limited the degree of uncertainty in the chemical input space of the model, improved numerical stability, and reduced computational time;
- Implementing a microstructure model minimizes the need for a fitting parameter for the transport processes. The microstructure model updates the geometric tortuosity based on changes in the solid phase assemblage;
- The transport processes in the system were tested by modifying the initial tortuosity. The change in Portlandite-to-Calcite ratio measured by TGA and element concentration in the exposure solution measured employing ICP-OES are used as indirect references. Numerical results indicate that the change in the Portlandite-to-Calcite ratio and the leaching of most elements were insensitive to variations in the initial tortuosity factor. The low impact is attributed to the employment of our microstructure model to update the tortuosity based on changes in the solid phase assemblage;
- The use of a microstructure model contributes to improved robustness of the reactive transport model.
Author Contributions
Funding
Acknowledgments
Conflicts of Interest
Appendix A
| Parameter | Value | Unit |
|---|---|---|
| General parameters | ||
| Total distance | 3 | mm |
| Total time | 90 | days |
| Temperature | 20 | °C |
| Pressure | 1 | bar |
| Transport model | ||
| Initial tortuosity (T0) | 1:2000 | - |
| Shape factor (τ) | 1 | - |
| Initial porosity (ω0) | 0.4 | - |
| Equilibrium Phases | |
|---|---|
| Portlandite | OH-hydrotalcite |
| Calcite | Monocarbonate |
| Gypsum | CO2 (g) |
| Solid solution phases | |
| C-S-H | |
| CSHQ-JenD | CSHQ-JenH |
| CSHQ-TobD | CSHQ-TobH |
| NaSiOH | KSiOH |
| Ettringite | |
| ettringite | ettringite30 |
| SO4_CO3_AFt | |
| tricarboalu03 | ettringite03_ss |
| Si-Hydrogarnet | |
| C3AFS0.84H4.32 | C3FS0.84H4.32 |
| OH− | 5.30 | CaCO3 | 0.45 | Mg(OH)+ | 0.71 | NaCO3− | 0.71 |
| H+ | 9.31 | CaSiO3 | 0.71 | Mg+2 | 0.71 | NaHCO3 | 0.71 |
| AlO2− | 0.71 | Ca(HCO3)+ | 0.47 | Mg(SO4) | 0.71 | SO4−2 | 1.07 |
| AlO2H | 1.04 | Ca(HSiO3)+ | 0.71 | Mg(CO3) | 0.71 | HSO4− | 1.39 |
| AlSiO5−3 | 0.71 | FeO2− | 0.71 | MgSiO3 | 0.71 | CO2 | 2.26 |
| AlO+ | 0.71 | FeO2H | 0.71 | Mg(HCO3)+ | 0.71 | CO3−2 | 0.96 |
| Al(OH)+2 | 1.04 | FeO+ | 0.71 | Mg(HSiO3)+ | 0.71 | HCO3− | 1.18 |
| Ca(OH)+ | 0.16 | K+ | 1.96 | NaOH | 1.33 | ||
| Ca+2 | 0.16 | KOH | 1.96 | Na+ | 0.03 | ||
| CaSO4 | 0.47 | KSO4− | 0.75 | Na(SO4)− | 0.62 |
References
- Scrivener, K.L.; John, V.M.; Gartner, E.M. Eco-efficient cements: Potential economically viable solutions for a low-CO2 cement-based materials industry. Cem. Concr. Res. 2018, 114, 2–26. [Google Scholar] [CrossRef]
- Steefel, C.I.; Appelo, C.A.J.; Arora, B.; Jacques, D.; Kalbacher, T.; Kolditz, O.; Lagneau, V.; Lichtner, P.C.; Mayer, K.U.; Meeussen, J.C.L.; et al. Reactive transport codes for subsurface environmental simulation. Comput. Geosci. 2015, 19, 445–478. [Google Scholar] [CrossRef]
- Baroghel-Bouny, V.; Nguyen, T.; Dangla, P. Assessment and prediction of RC structure service life by means of durability indicators and physical/chemical models. Cem. Concr. Compos. 2009, 31, 522–534. [Google Scholar] [CrossRef]
- Marchand, J.; Samson, E. Predicting the service-life of concrete structures—Limitations of simplified models. Cem. Concr. Compos. 2009, 31, 515–521. [Google Scholar] [CrossRef]
- Hosokawa, Y.; Yamada, K. Development of a multi-species mass transport model for concrete with account to thermodynamic phase equilibriums. Mater. Struct. 2011, 44, 1577–1592. [Google Scholar] [CrossRef]
- Elakneswaran, Y.; Ishida, T. Integrating Physicochemical and Geochemical Aspects for Development of a Multi-scale Modelling Framework to Performance Assessment of Cementitious Materials. In Multi-Scale Modeling and Characterization of Infrastructure Materials; Springer: Berlin/Heidelberg, Germany, 2013; pp. 63–78. [Google Scholar]
- Tran, V.Q.; Soive, A.; Baroghel-Bouny, V. Modelisation of chloride reactive transport in concrete including thermodynamic equilibrium, kinetic control and surface complexation. Cem. Concr. Res. 2018, 110, 70–85. [Google Scholar] [CrossRef]
- Michel, A.; Marcos-Meson, V.; Kunther, W.; Geiker, M.R. Microstructural changes and mass transport in cement-based materials: A modeling approach. Cem. Concr. Res. 2021, 139, 106285. [Google Scholar] [CrossRef]
- Phung, Q.T.; Maes, N.; Jacques, D.; de Schutter, G.; Ye, G.; Perko, J. Modelling the carbonation of cement pastes under a CO2 pressure gradient considering both diffusive and convective transport. Constr. Build. Mater. 2016, 114, 333–351. [Google Scholar] [CrossRef]
- Samson, E.; Marchand, J. Modeling the effect of temperature on ionic transport in cementitious materials. Cem. Concr. Res. 2007, 37, 455–468. [Google Scholar] [CrossRef]
- Addassi, M.; Johannesson, B. Reactive mass transport in concrete including for gaseous constituents using a two-phase moisture transport approach. Constr. Build. Mater. 2020, 232, 117148. [Google Scholar] [CrossRef]
- Samson, E.; Marchand, J. Modeling the transport of ions in unsaturated cement-based materials. Comput. Struct. 2007, 85, 1740–1756. [Google Scholar] [CrossRef]
- Addassi, M.; Omar, A.; Ghorayeb, K.; Hoteit, H. Comparison of various reactive transport simulators for geological carbon sequestration. Int. J. Greenh. Gas Control 2021, 110, 103419. [Google Scholar] [CrossRef]
- Clavijo, S.; Addassi, M.; Finkbeiner, T.; Hoteit, H. A coupled phase-field and reactive-transport framework for fracture propagation in poroelastic media. Earth Space Sci. Open Arch. 2022; preprint. [Google Scholar] [CrossRef]
- Lothenbach, B.; Matschei, T.; Möschner, G.; Glasser, F. Thermodynamic modelling of the effect of temperature on the hydration and porosity of Portland cement. Cem. Concr. Res. 2008, 38, 1–18. [Google Scholar] [CrossRef]
- Kulik, D.A. Improving the structural consistency of C-S-H solid solution thermodynamic models. Cem. Concr. Res. 2011, 41, 477–495. [Google Scholar] [CrossRef]
- Matschei, T.; Lothenbach, B.; Glasser, F. Thermodynamic properties of Portland cement hydrates in the system CaO-Al2O3-SiO2-CaSO4-CaCO3-H2O. Cem. Concr. Res. 2007, 37, 1379–1410. [Google Scholar] [CrossRef]
- Lothenbach, B. Thermodynamic equilibrium calculations in cementitious systems. Mater. Struct. 2010, 43, 1413–1433. [Google Scholar] [CrossRef]
- Lothenbach, B.; Kulik, D.A.; Matschei, T.; Balonis, M.; Baquerizo, L.; Dilnesa, B.; Miron, G.D.; Myers, R.J. Cemdata18: A chemical thermodynamic database for hydrated Portland cements and alkali-activated materials. Cem. Concr. Res. 2019, 115, 472–506. [Google Scholar] [CrossRef]
- Kari, O.; Puttonen, J.; Skantz, E. Reactive transport modelling of long-term carbonation. Cem. Concr. Compos. 2014, 52, 42–53. [Google Scholar] [CrossRef]
- Michel, A.; Pease, B.J. Moisture ingress in cracked cementitious materials. Cem. Concr. Res. 2018, 113, 154–168. [Google Scholar] [CrossRef]
- Addassi, M.; Johannesson, B.; Wadsö, L. Inverse analyses of effective diffusion parameters relevant for a two-phase moisture model of cementitious materials. Cem. Concr. Res. 2018, 106, 117–129. [Google Scholar] [CrossRef]
- Seigneur, N.; Kangni-Foli, E.; Lagneau, V.; Dauzères, A.; Poyet, S.; Le Bescop, P.; L’Hôpital, E.; de Lacaillerie, J.-B.D. Predicting the atmospheric carbonation of cementitious materials using fully coupled two-phase reactive transport modelling. Cem. Concr. Res. 2020, 130, 105966. [Google Scholar] [CrossRef]
- Marty, N.; Bildstein, O.; Blanc, P.; Claret, F.; Cochepin, B.; Gaucher, E.C.; Jacques, D.; Lartigue, J.-E.; Liu, S.; Mayer, K.U.; et al. Benchmarks for multicomponent reactive transport across a cement/clay interface. Comput. Geosci. 2015, 19, 635–653. [Google Scholar] [CrossRef]
- Lagneau, V.; van der Lee, J. Operator-splitting-based reactive transport models in strong feedback of porosity change: The contribution of analytical solutions for accuracy validation and estimator improvement. J. Contam. Hydrol. 2010, 112, 118–129. [Google Scholar] [CrossRef] [PubMed]
- Addassi, M.; Michel, A.; Marcos-Meson, V.; Kunther, W. Modelling and testing of carbonation effects on hydrated oil-well cements. In Proceedings of the International Workshop: CO2 Storage in Concrete, Marne La Vallée, France, 24–25 June 2019. [Google Scholar]
- Papadakis, V.G.; Vayenas, C.G.; Fardis, M.N. Fundamental Modeling and Experimental Investigation of Concrete Carbonation. ACI Mater. J. 1991, 88, 186–196. [Google Scholar]
- Maruyama, I.; Nishioka, Y.; Igarashi, G.; Matsui, K. Microstructural and bulk property changes in hardened cement paste during the first drying process. Cem. Concr. Res. 2014, 58, 20–34. [Google Scholar] [CrossRef]
- Duguid, A.; Scherer, G.W. Degradation of oilwell cement due to exposure to carbonated brine. Int. J. Greenh. Gas Control 2010, 4, 546–560. [Google Scholar] [CrossRef]
- Ngala, V.T.; Page, C.L. Effects of carbonation on pore structure and diffusional properties of hydrated cement pastes. Cem. Concr. Res. 1997, 27, 995–1007. [Google Scholar] [CrossRef]
- Morandeau, A.; Thiéry, M.; Dangla, P. Investigation of the carbonation mechanism of CH and C-S-H in terms of kinetics, microstructure changes and moisture properties. Cem. Concr. Res. 2014, 56, 153–170. [Google Scholar] [CrossRef]
- De Weerdt, K.; Plusquellec, G.; Revert, A.B.; Geiker, M.R.; Lothenbach, B. Effect of carbonation on the pore solution of mortar. Cem. Concr. Res. 2019, 118, 38–56. [Google Scholar] [CrossRef]
- Lota, J.S.; Bensted, J.; Pratt, P.L. Characterisation of an unhydrated Class G oilwell cement. Ind. Ital. Cem. 1998, 172–183. [Google Scholar]
- Johannesson, B. Development of a generalized version of the Poisson-Nernst-Planck equations using the hybrid mixture theory: Presentation of 2D numerical examples. Transp. Porous Media 2010, 85, 565–592. [Google Scholar] [CrossRef]
- Jensen, M.M.; Johannesson, B.; Geiker, M.R. Framework for reactive mass transport: Phase change modeling of concrete by a coupled mass transport and chemical equilibrium model. Comput. Mater. Sci. 2014, 92, 213–223. [Google Scholar] [CrossRef]
- Bennethum, L.; Cushman, J. Multicomponent, multiphase thermodynamics of swelling porous media with electroquasistatics: II. Constitutive theory. Transp. Porous Media 2002, 47, 337–362. [Google Scholar] [CrossRef]
- Bennethum, L.; Cushman, J. Multicomponent, multiphase thermodynamics of swelling porous media with electroquasistatics: I. Macroscale field equations. Transp. Porous Media 2002, 47, 309–336. [Google Scholar] [CrossRef]
- Zienkiewicz, O.C.; Taylor, R.L.; Zhu, J.Z. The Finite Element Method: Its Basis and Fundamentals; Butterworth-Heinemann: Oxford, UK, 2005; Volume 1. [Google Scholar]
- Parkhurst, D.L.; Appelo, C.A.J. Description of Input and Examples for PHREEQC Version 3—A Computer Program for Speciation, Batch-Reaction, One-Dimensional Transport, and Inverse Geochemical Calculations; U.S. Geological Survey: Denver, CO, USA, 2013. [Google Scholar]
- Charlton, S.R.; Parkhurst, D.L. Modules based on the geochemical model PHREEQC for use in scripting and programming languages. Comput. Geosci. 2011, 37, 1653–1663. [Google Scholar] [CrossRef]
- Thoenen, T.; Hummel, W.; Berner, U.; Curti, E. The PSI/Nagra Chemical Thermodynamic Database 12/07 Nuclear Energy and Safety Research Department Laboratory for Waste Management (LES); Villigen PSI: Villigen, Switzerland, 2014. [Google Scholar]
- Scheffler, G.A.; Plagge, R. A whole range hygric material model: Modelling liquid and vapour transport properties in porous media. Int. J. Heat Mass Transf. 2010, 53, 286–296. [Google Scholar] [CrossRef]
- Michel, A.; Meson, V.M.; Stang, H.; Geiker, M.R.; Lepech, M. Coupled mass transport chemical and mechanical modelling in cementitious materials: A dual-lattice approach. In Life Cycle Analysis and Assessment in Civil Engineering: Towards an Integrated Vision: Proceedings of the Sixth International Symposium on Life-Cycle Civil Engineering (IALCCE 2018); CRC Press: London, UK, 2018; pp. 965–972. [Google Scholar]
- Li, K.; Xu, L.; Stroeven, P.; Shi, C. Materials, and undefined 2021. Water permeability of unsaturated cementitious materials: A review. Constr. Build. Mater. 2021, 302, 124168. [Google Scholar] [CrossRef]
- Lothenbach, B.; Durdzinski; de Weerdt, K. A Practical Guide to Microstructural Analysis of Cementitious Materials; CRC Press: London, UK, 2018. [Google Scholar]
- Ghanbarian, B.; Hunt, A.G.; Ewing, R.P.; Sahimi, M. Science society of, and undefined 2013. Tortuosity in porous media: A critical review. Soil Sci. Soc. Am. J. 2013, 77, 1461–1477. [Google Scholar] [CrossRef]
- Ukrainczyk, N.; Koenders, E.A.B. Representative elementary volumes for 3D modeling of mass transport in cementitious materials. Model. Simul. Mater. Sci. Eng. 2014, 22, 035001. [Google Scholar] [CrossRef]
- Villain, G.; Thiery, M.; Platret, G. Measurement methods of carbonation profiles in concrete: Thermogravimetry, chemical analysis and gammadensimetry. Cem. Concr. Res. 2007, 37, 1182–1192. [Google Scholar] [CrossRef]
- Bhatty, J.I. Hydration versus strength in a portland cement developed from domestic mineral wastes—A comparative study. Thermochim. Acta 1986, 106, 93–103. [Google Scholar] [CrossRef]
- Lothenbach, B.; Winnefeld, F. Thermodynamic modelling of the hydration of Portland cement. Cem. Concr. Res. 2006, 36, 209–226. [Google Scholar] [CrossRef]
- Rimmelé, G.; Barlet-Gouédard, V.; Porcherie, O.; Goffé, B.; Brunet, F. Heterogeneous porosity distribution in Portland cement exposed to CO2-rich fluids. Cem. Concr. Res. 2008, 38, 1038–1048. [Google Scholar] [CrossRef]
- Shi, Z.; Lothenbach, B.; Geiker, M.R.; Kaufmann, J.; Leemann, A.; Ferreiro, S.; Skibsted, J. Experimental studies and thermodynamic modeling of the carbonation of Portland cement, metakaolin and limestone mortars. Cem. Concr. Res. 2016, 88, 60–72. [Google Scholar] [CrossRef]
- You, X.; Hu, X.; He, P.; Liu, J.; Shi, C. A review on the modelling of carbonation of hardened and fresh cement-based materials. Cem. Concr. Compos. 2022, 125, 104315. [Google Scholar] [CrossRef]













| CaO | SiO2 | Al2O3 | Fe2O3 | SO3 | MgO | K2O | Na2O | |
|---|---|---|---|---|---|---|---|---|
| Mass % | 64.16 | 21.64 | 3.89 | 5.23 | 2.28 | 0.79 | 0.41 | 0.1 |
| DoH % | 60 | 60 | 60 | 60 | 60 | 60 | 60 | 60 |
| Original | C3S = 48%wt. | C3S = 58%wt. | |
|---|---|---|---|
| AFt-phases | |||
| Tricarboaluminate | −0.55 | −0.54 | −0.55 |
| AFm-phases | |||
| Hemicarbonate | −0.74 | −0.74 | −0.74 |
| Monosulphate14 | −1.39 | −1.39 | −1.39 |
| Straetlingite | −2.95 | −2.94 | −2.95 |
| Fe-hemicarbonate | −5.60 | −5.60 | −5.60 |
| Fe-monocarbonate | −3.25 | −3.25 | −3.25 |
| Hydroxides | |||
| Al(OH)3(am) | −4.07 | −4.07 | −4.07 |
| Al(OH)3(mic) | −3.21 | −3.21 | −3.21 |
| FeOOH(mic) | −1.29 | −1.29 | −1.29 |
| SiO2 (am) | −6.25 | −6.25 | −6.25 |
Publisher’s Note: MDPI stays neutral with regard to jurisdictional claims in published maps and institutional affiliations. |
© 2022 by the authors. Licensee MDPI, Basel, Switzerland. This article is an open access article distributed under the terms and conditions of the Creative Commons Attribution (CC BY) license (https://creativecommons.org/licenses/by/4.0/).
Share and Cite
Addassi, M.; Marcos-Meson, V.; Kunther, W.; Hoteit, H.; Michel, A. A Methodology for Optimizing the Calibration and Validation of Reactive Transport Models for Cement-Based Materials. Materials 2022, 15, 5590. https://doi.org/10.3390/ma15165590
Addassi M, Marcos-Meson V, Kunther W, Hoteit H, Michel A. A Methodology for Optimizing the Calibration and Validation of Reactive Transport Models for Cement-Based Materials. Materials. 2022; 15(16):5590. https://doi.org/10.3390/ma15165590
Chicago/Turabian StyleAddassi, Mouadh, Victor Marcos-Meson, Wolfgang Kunther, Hussein Hoteit, and Alexander Michel. 2022. "A Methodology for Optimizing the Calibration and Validation of Reactive Transport Models for Cement-Based Materials" Materials 15, no. 16: 5590. https://doi.org/10.3390/ma15165590
APA StyleAddassi, M., Marcos-Meson, V., Kunther, W., Hoteit, H., & Michel, A. (2022). A Methodology for Optimizing the Calibration and Validation of Reactive Transport Models for Cement-Based Materials. Materials, 15(16), 5590. https://doi.org/10.3390/ma15165590

