Electrochemically Pretreated Sensor Based on Screen-Printed Carbon Modified with Pb Nanoparticles for Determination of Testosterone
Abstract
:1. Introduction
2. Materials and Methods
2.1. Apparatus
2.2. Reagents and Solutions
2.3. Fabrication of pSPCE/PbNPs and Voltammetric Determination of TST
2.4. HPLC/PDA Analysis
2.5. Sample Analysis
3. Results and Discussion
3.1. Characteristics of Sensors
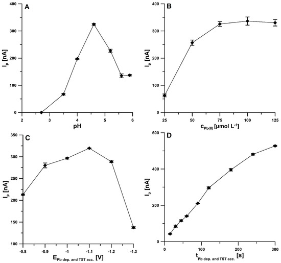
3.2. Mechanism and Optimization Procedure
3.3. Voltammetric Determination of TST
3.4. TST Determination in Real Samples
4. Conclusions
Author Contributions
Funding
Institutional Review Board Statement
Informed Consent Statement
Data Availability Statement
Acknowledgments
Conflicts of Interest
References
- Gugoasa, L.A.; Stefan-van Staden, R.-I.; Calenic, B.; Legler, J. Multimode sensors as new tools for molecular recognition of testosterone, dihydrotestosterone and estradiol in children’s saliva. J. Mol. Recognit. 2015, 28, 10–19. [Google Scholar] [CrossRef] [PubMed]
- Goyal, R.N.; Gupta, V.K.; Chatterjee, S. Electrochemical investigations of corticosteroid isomers—testosterone and epitestosterone and their simultaneous determination in human urine. Anal. Chim. Acta 2010, 657, 147–153. [Google Scholar] [CrossRef] [PubMed]
- Levent, A.; Altun, A.; Taş, S.; Yardım, Y.; Şentürk, Z. Voltammetric behavior of testosterone on bismuth film electrode: Highly sensitive determination in pharmaceuticals and human urine by square-wave adsorptive stripping voltammetry. Electroanalysis 2015, 27, 1219–1228. [Google Scholar] [CrossRef]
- Levent, A.; Altun, A.; Yardım, Y.; Şentürk, Z. Sensitive voltammetric determination of testosterone in pharmaceuticals and human urine using a glassy carbon electrode inthe presence of cationic surfactant. Electrochim. Acta 2014, 128, 54–60. [Google Scholar] [CrossRef]
- Moon, J.Y.; Kwon, W.; Suh, S.; Cheong, J.C.; In, M.K.; Chung, B.C.; Kim, J.Y.; Choi, M.H. Reference ranges for urinary levels of testosterone and epitestosterone, which may reveal gonadal function, in a Korean male population. J. Steroid Biochem. Mol. Biol. 2014, 140, 100–105. [Google Scholar] [CrossRef] [Green Version]
- Bulut, U.; Sanli, S.; Cevher, S.C.; Cirpan, A.; Donmez, S.; Timur, S. A biosensor platform based on amine functionalized conjugated benzenediamine-benzodithiophene polymer for testosterone analysis. J. Appl. Polym. Sci. 2020, 137, 49332. [Google Scholar] [CrossRef]
- Lyubimenko, R.; Cardenas, O.I.G.; Turshatov, A.; Richards, B.S.; Schäfer, A.I. Photodegradation of steroid-hormone micropollutants in a flow-through membrane reactor coated with Pd(II)-porphyrin. Appl. Catal. B 2021, 291, 120097. [Google Scholar] [CrossRef]
- Bexfield, L.M.; Toccalino, P.T.; Belitz, K.; Foreman, W.T.; Furlong, E.T. Hormones and pharmaceuticals in groundwater used as a source of drinking water across the united states. Environ. Sci. Technol. 2019, 53, 2950–2960. [Google Scholar] [CrossRef] [Green Version]
- Kolodziej, E.P.; Gray, J.L.; Sedlak, D.L. Quantification of steroid hormones with pheromonal properties in municipal wastewater effluent. Environ. Toxicol. Chem. 2003, 22, 2622–2629. [Google Scholar] [CrossRef] [Green Version]
- Vicente, F.B.; Smith, F.A.; Sierra, R.; Wang, S. Measurement of serum testosterone using high-performance liquid chromatography/tandem mass spectrometry. Clin. Chem. Lab. Med. 2006, 44, 70–75. [Google Scholar] [CrossRef]
- Sun, G.; Xue, J.; Li, L.; Li, X.; Cui, Y.; Qiao, B.; Wei, D.; Li, H. Quantitative determination of human serum testosterone via isotope dilution ultra-performance liquid chromatography tandem mass spectrometry. Mol. Med. Rep. 2020, 22, 1576–1582. [Google Scholar] [CrossRef] [PubMed]
- Wang, Y.; Gay, G.D.; Botelho, J.C.; Caudill, S.P.; Vesper, H.W. Total testosterone quantitative measurement in serum by LC-MS/MS. Clin. Chim. Acta 2014, 436, 263–267. [Google Scholar] [CrossRef] [PubMed] [Green Version]
- French, D. Development and validation of a serum total testosterone liquid chromatography–tandem mass spectrometry (LC-MS/MS) assay calibrated to NIST SRM 971. Clin. Chim. Acta 2013, 415, 109–117. [Google Scholar] [CrossRef]
- Kannenberg, F.; Fobker, M.; Schulte, E.; Pierściński, G.; Kelsch, R.; Zitzmann, M.; Nofer, J.R.; Schüring, A.N. The Simultaneous measurement of serum testosterone and 5α-dihydrotestosterone by gas chromatography–mass spectrometry (GC-MS). Clin. Chim. Acta 2018, 476, 15–24. [Google Scholar] [CrossRef]
- Matysik, S.; Schmitz, G. Determination of steroid hormones in human plasma by GC-triple quadrupole MS. Steroids 2015, 99, 151–154. [Google Scholar] [CrossRef]
- Du, B.; Zhang, J.; Dong, Y.; Wang, J.; Lei, L.; Shi, R. Determination of testosterone/epitestosterone concentration ratio in human urine by capillary electrophoresis. Steroids 2020, 161, 108691. [Google Scholar] [CrossRef]
- Chen, H.-X.; Deng, Q.-P.; Zhang, L.-W.; Zhang, X.-X. Quantification of testosterone and epitestosterone in biological samples by capillary electrophoresis with immunoaffinity extraction. Talanta 2009, 78, 464–470. [Google Scholar] [CrossRef] [PubMed]
- Tan, Y.; Jing, L.; Ding, Y.; Wei, T. A novel double-layer molecularly imprinted polymer film based surface plasmon resonance for determination of testosterone inaqueous media. Appl. Surf. Sci. 2015, 342, 84–91. [Google Scholar] [CrossRef]
- Tyszczuk, K. Application of an in situ plated lead film electrode to the analysis of testosterone by adsorptive stripping voltammetry. Anal. Bioanal. Chem. 2018, 390, 1951–1956. [Google Scholar] [CrossRef]
- Hu, S.; Chen, Z.; Zhang, T. Adsorptive stripping voltammetry of testosterone propionate in pharmaceutical preparations. Fresenius J. Anal. Chem. 1993, 346, 1008–1010. [Google Scholar] [CrossRef]
- Fourou, H.; Braiek, M.; Bonhomme, A.; Lagarde, F.; Zazoua, A.; Jaffrezic-Renault, N. Voltammetric sensor based on a double layered molecularly imprinted polymer for testosterone. Anal. Lett. 2018, 51, 312–322. [Google Scholar] [CrossRef]
- Ma, L.-L.; He, Y.; Qin, D.; Chang, A.; Huang, A.; Xie, X.-J.; Zhang, Y. Fabrication, Characterization and performance evaluation of screen-printed carbon electrodes: Determination of acetaminophen in Tylenol. Chin. J. Anal. Chem. 2021, 49, 21187–21196. [Google Scholar] [CrossRef]
- Raymundo-Pereira, P.A.; Gomes, N.O.; Machado, S.A.S.; Oliveira Jr, O.N. Simultaneous, ultrasensitive detection of hydroquinone, paracetamol and estradiol for quality control of tap water with a simple electrochemical method. J. Electroanal. Chem. 2019, 848, 113319. [Google Scholar] [CrossRef]
- Bagherinasab, Z.; Beitollahi, H.; Yousefi, M.; Bagherzadeh, M.; Hekmati, M. Rapid sol gel synthesis of BaFe12O19 nanoparticles: An excellent catalytic application in the electrochemical detection of tramadol in the presence of acetaminophen. Microchem. J. 2020, 156, 104803. [Google Scholar] [CrossRef]
- Kondori, T.; Tajik, S.; Akbarzadeh-T, N.; Beitollahi, H.; Graiff, C.; Jang, H.W.; Shokouhimehr, M. Synthesis and characterization of bipyridine cobalt(II) complex modified graphite screen printed electrode: An electrochemical sensor for simultaneous detection of acetaminophen and naproxen. RSC Adv. 2021, 11, 3049–3057. [Google Scholar] [CrossRef]
- Tyszczuk-Rotko, K.; Kozak, J.; Czech, B. Screen-printed voltammetric sensors—tools for environmental water monitoring of painkillers. Sensors 2022, 22, 2437. [Google Scholar] [CrossRef]
- Gonzalez-Sanchez, M.I.; Gomez-Monedero, B.; Agrisuelas, J.; Iniesta, J.; Valero, E. Highly activated screen-printed carbon electrodes by electrochemical treatment with hydrogen peroxide. Electrochem. Commun. 2018, 91, 36–40. [Google Scholar] [CrossRef]
- Yuan, X.; Ma, L.; Zhang, J.; Zheng, Y. Simple pre-treatment by low-level oxygen plasma activates screen-printed carbon electrode: Potential for mass production. Appl. Surf. Sci. 2021, 544, 148760. [Google Scholar] [CrossRef]
- Wei, H.; Sun, J.-J.; Xie, Y.; Lin, C.-G.; Wang, Y.-M.; Yin, W.-H.; Chen, G.-N. Enhanced electrochemical performance at screen-printed carbon electrodes by a new pretreating procedure. Anal. Chim. Acta 2007, 588, 297–303. [Google Scholar] [CrossRef]
- Lee, J.; Arrigan, D.W.M.; Silvester, D.S. Mechanical polishing as an improved surface treatment for platinum screen-printed electrodes. Sens. Bio-Sens. Res. 2016, 9, 38–44. [Google Scholar] [CrossRef] [Green Version]
- Cumba, L.R.; Foster, C.W.; Brownson, D.A.C.; Smith, J.P.; Iniesta, J.; Thakur, B.; do Camo, D.R.; Banks, C.E. Can the mechanical activation (polishing) of screen-printed electrodes enhance their electroanalytical response? Analyst 2016, 141, 2791–2799. [Google Scholar] [CrossRef] [PubMed] [Green Version]
- Montiel, N.F.; Parilla, M.; Beltran, V.; Nuyts, G.; Van Durme, F.; De Wael, K. The opportunity of 6-monoacetylmorphine to selectively detect heroin at preanodized screen printed electrodes. Talanta 2021, 226, 122005. [Google Scholar] [CrossRef] [PubMed]
- de Oliveira Silva, R.; da Silva, E.A.; Fiorucci, A.R.; Ferreira, V.S. Electrochemically activated multi-walled carbon nanotubes modified screen-printed electrode for voltammetric determination of sulfentrazone. J. Electroanal. Chem. 2019, 835, 220–226. [Google Scholar] [CrossRef]
- Kozak, J.; Tyszczuk-Rotko, K.; Wójciak, M.; Sowa, I.; Rotko, M. First screen-printed sensor (electrochemically activated screen-printed boron-doped diamond electrode) for quantitative determination of rifampicin by adsorptive stripping voltammetry. Materials 2021, 14, 4231. [Google Scholar] [CrossRef]
- Yaghoubian, H.; Tajik, S.; Beitollahi, H.; Sardahi, H.; Sheikhshoaie, I. Fe2MoO4 magnetic nanocomposite modified screen printed graphite electrode as a voltammetric sensor for simultaneous determination of nalbuphine and diclofenac. J. Mater. Sci. 2021, 32, 17311–17323. [Google Scholar] [CrossRef]
- Cumba, L.R.; Camisasca, A.; Giordani, S.; Foster, R.J. Electrochemical properties of screen-printed carbon nano-onion electrodes. Molecules 2020, 25, 3884. [Google Scholar] [CrossRef]
- Kozak, J.; Tyszczuk-Rotko, K.; Sadok, I.; Sztanke, K.; Sztanke, M. Application of a screen-printed sensor modified with carbon nanofibers for the voltammetric analysis of an anticancer disubstituted fused triazinone. Int. J. Mol. Sci. 2022, 23, 2429. [Google Scholar] [CrossRef]
- Ibanez-Redin, G.; Furuta, R.H.M.; Wilson, D.; Shimizu, F.M.; Materon, E.M.; Arantes, L.M.R.B.; Melendez, M.E.; Carvalho, A.L.; Reis, R.M.; Chaur, M.N.; et al. Screen-printed interdigitated electrodes modified with nanostructured carbon nano-onion films for detecting the cancer biomarker CA19-9. Mater. Sci. Eng. C 2019, 99, 1502–1508. [Google Scholar] [CrossRef]
- Sawan, S.; Maalouf, R.; Errachid, A.; Jaffrezic-Renault, N. Metal and metal oxide nanoparticles in the voltammetric detection of heavy metals: A review. Trends Anal. Chem. 2020, 131, 116014. [Google Scholar] [CrossRef]
- Hezard, T.; Fajerwerg, K.; Evrard, D.; Colliere, V.; Behra, P.; Gros, P. Gold nanoparticles electrodeposited on glassy carbon using cyclic voltammetry: Application to Hg(II) trace analysis. J. Electroanal. Chem. 2012, 664, 46–52. [Google Scholar] [CrossRef] [Green Version]
- Lee, M.-H.; Thomas, J.L.; Liu, W.-C.; Zhang, Z.-X.; Liu, B.D.; Yang, C.-H.; Lin, H.-Y. A multichannel system integrating molecularly imprinted conductive polymers for ultrasensitive voltammetric determination of four steroid hormones in urine. Microchim. Acta 2019, 186, 695–705. [Google Scholar] [CrossRef] [PubMed]
- Gonzalo-Lumbreras, R.; García-Miguens, M.A.; Izquierdo-Hornillos, R. HPLC method development for testosterone propionate and cipionate in oil-based injectables. J. Pharm. Biomed. Anal. 2005, 38, 757–762. [Google Scholar] [CrossRef] [PubMed]
- Rana, A.; Baig, N.; Saleh, T.A. Electrochemically pretreated carbon electrodes and their electroanalytical applications–A review. J. Electroanal. Chem. 2019, 833, 313–332. [Google Scholar] [CrossRef]
- Gosser, D.K. Cyclic Voltammetry: Simulation and Analysis of Reaction Mechanism; VCH: New York, NY, USA, 1993. [Google Scholar]
- Mocak, J.; Bond, A.M.; Mitchell, S.; Scollary, G. A statistical overview of standard (IUPAC and ACS) and new procedures for determining the limits of detection and quantification: Application to voltammetric and stripping techniques. Pure Appl. Chem. 1997, 69, 297–328. [Google Scholar] [CrossRef]










| Electrode | Method | Linear Range [mol L−1] | LOD [mol L−1] | Application | Ref. |
|---|---|---|---|---|---|
| SWNT-EPPGE | SWV | 5.0 × 10−9–1.0 × 10−6 | 2.8 × 10−9 | Urine | [2] |
| GCE/BiF + CTAB | SWAdSV | 1.0 × 10−9–4.5 × 10−8 | 3.0 × 10−10 | Pharmaceutical formulations, urine | [3] |
| HMDE | AdSV | 1.0 × 10−8–7.3 × 10−6 | 5.0 × 10−9 | Pharmaceutical formulations | [20] |
| MD/graphite | DPV | 1.0 × 10−8–1.0 × 10−6 | 4.1 × 10−8 | Saliva | [1] |
| MD/Graphene | DPV | 1.0 × 10−7–1.0 × 10−6 | 6.7 × 10−9 | Saliva | [1] |
| MD/CNTs | DPV | 1.0 × 10−10–1.0 × 10−6 | 1.4 × 10−11 | Saliva | [1] |
| MD/fullerene C60 | DPV | 1.0 × 10−8–1.0 × 10−6 | 1.5 × 10−8 | Saliva | [1] |
| SPE/MIP | CV | 3.5 × 10−18–3.5 × 10−15 | 3.5 × 10−17 | Urine | [41] |
| PbFE (GCE/PbF) | SWAdSV | 2.0 × 10−8–3.0 × 10−7 | 9.0 × 10−9 | Urine | [19] |
| AuE/DMIP | SWV | 1.0 × 10−14–1.0 × 10−13 | 1.0 × 10−14 | Urine | [21] |
| GCE/CTAB | SWAdSV | 1.0 × 10−8–7.0 × 10−8 | 1.2 × 10−9 | Pharmaceutical formulations, urine | [4] |
| pSPCE/PbNPs | DPAdSV | 1.0 × 10−11–1.0 × 10−10 2.0 × 10−10–2.0 × 10−9 2.0 × 10−9–2.0 × 10−8 | 2.2 × 10−12 | Urine, wastewater | This work |
| TST Concentration [µmol L−1] ± SD (n = 3) | |||||
|---|---|---|---|---|---|
| Sample | Added | Found DPAdSV | Found in Electrochemical Cell | Coefficient of Variation * [%] | Recovery ** [%] |
| Purified wastewater | 0.0003 | 0.000297 ± 0.000012 | 0.0000297 ± 0.0000012 | 4.05 | 99.0 |
| 0.002 | 0.00201 ± 0.000026 | 0.000209 ± 0.0000017 | 0.80 | 100.5 | |
| RM of human urine | 0.03 | 0.0296 ± 0.0012 | 0.0000296 ± 0.0000012 | 4.07 | 98.7 |
| 0.02 | 0.209 ± 0.0017 | 0.000209 ± 0.0000017 | 1.29 | 104.5 | |
Publisher’s Note: MDPI stays neutral with regard to jurisdictional claims in published maps and institutional affiliations. |
© 2022 by the authors. Licensee MDPI, Basel, Switzerland. This article is an open access article distributed under the terms and conditions of the Creative Commons Attribution (CC BY) license (https://creativecommons.org/licenses/by/4.0/).
Share and Cite
Kozak, J.; Tyszczuk-Rotko, K.; Wójciak, M.; Sowa, I.; Rotko, M. Electrochemically Pretreated Sensor Based on Screen-Printed Carbon Modified with Pb Nanoparticles for Determination of Testosterone. Materials 2022, 15, 4948. https://doi.org/10.3390/ma15144948
Kozak J, Tyszczuk-Rotko K, Wójciak M, Sowa I, Rotko M. Electrochemically Pretreated Sensor Based on Screen-Printed Carbon Modified with Pb Nanoparticles for Determination of Testosterone. Materials. 2022; 15(14):4948. https://doi.org/10.3390/ma15144948
Chicago/Turabian StyleKozak, Jędrzej, Katarzyna Tyszczuk-Rotko, Magdalena Wójciak, Ireneusz Sowa, and Marek Rotko. 2022. "Electrochemically Pretreated Sensor Based on Screen-Printed Carbon Modified with Pb Nanoparticles for Determination of Testosterone" Materials 15, no. 14: 4948. https://doi.org/10.3390/ma15144948
APA StyleKozak, J., Tyszczuk-Rotko, K., Wójciak, M., Sowa, I., & Rotko, M. (2022). Electrochemically Pretreated Sensor Based on Screen-Printed Carbon Modified with Pb Nanoparticles for Determination of Testosterone. Materials, 15(14), 4948. https://doi.org/10.3390/ma15144948

