Computational and Experimental Studies of Selected Types of Biomass Combustion in a Domestic Boiler
Abstract
:1. Introduction
2. Research Methodology
2.1. Materials and Methods
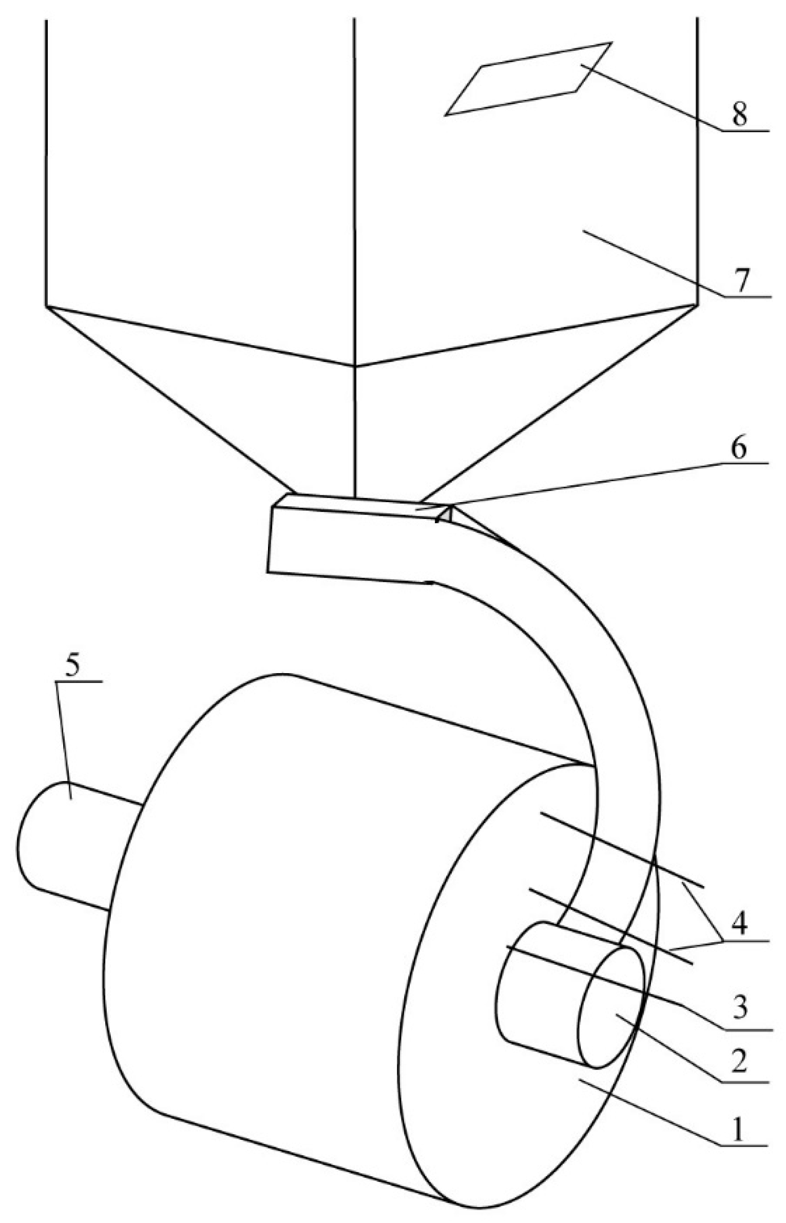
2.2. Test Stand Description
2.3. Modeling Procedure
- Significant differences between the reaction rate constants (determined on the basis of activation energies of individual combustion reactions, by different authors and for various process conditions);
- Turbulent nature of fuel combustion processes;
- Inadequacies of the existing computational models, especially visible in the simplified mechanisms assumed in CFD simulations.
- A—pre-exponential factor;
- b—temperature exponent;
- E—activation energy, J/mol;
- R—universal gas constant = 8314 J/(mol K);
- T—absolute temperature in the reaction zone, K.
2.4. Proximate and Ultimate Analyses
3. Results and Discussion
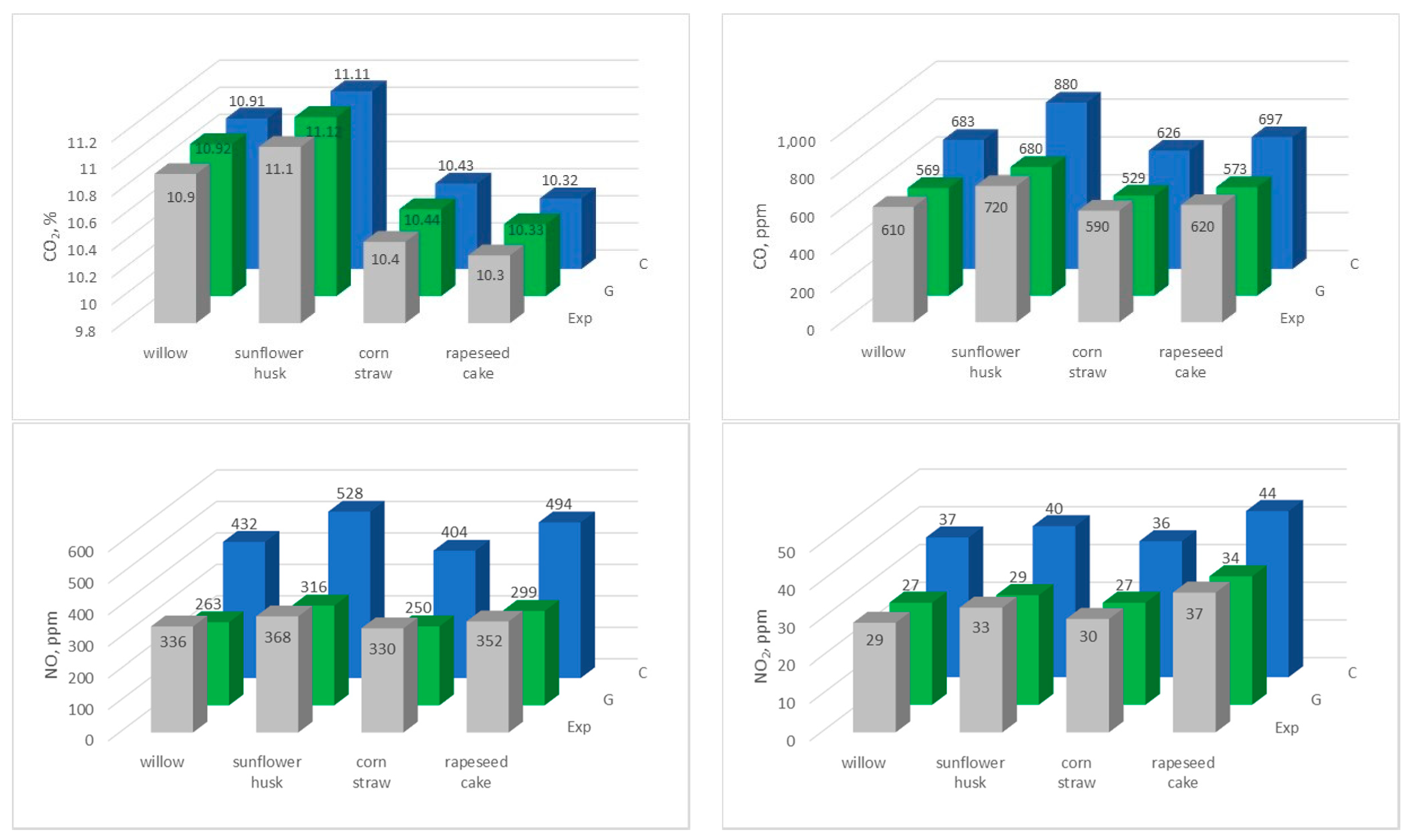
3.1. The Results of the Numerical Calculations
3.2. The Results of the Experiment
4. Conclusions
- All four types of the analyzed pellets meet the EN-ISO-17225-2:2014 standard in terms of bulk density, dimensions, as well as nitrogen and moisture content. The ash content for corn straw (7.56%) and rapeseed cake (5.77%) pellets is well above the aforementioned standard, according to which the ash content for this type of fuel should not exceed 3%.
- The highest concentrations of CO2 and CO are observed during the combustion of sunflower and willow husk pellets, which probably results from the highest carbon content and, thus, the highest calorific value when compared to cake and straw pellets.
- Too high an ash content and, at the same time, low calorific value do not make corn straw and rapeseed cake pellets good fuels, especially one that could be burned in biomass-fired domestic heating boilers.
- The research carried out in this article shows that, out of the four analyzed types of pellets, only sunflower husk and willow pellets can be combusted in this type of boiler and, at the same time, constitute a cheap alternative to wood pellets.
- The two mechanisms used in the numerical calculations show high convergence for CO2 concentration (±0.01%) and significant discrepancies in terms of NO and CO concentrations (average of 130 ppm for NO and 180 ppm for CO). The results most similar to the experiment were obtained for the calculations using the mechanism developed by Glarborg et al. The dependence between the discrepancies concerning the results of the two considered mechanisms requires further, detailed analysis.
Author Contributions
Funding
Institutional Review Board Statement
Informed Consent Statement
Data Availability Statement
Conflicts of Interest
References
- Cherubini, F.; Peters, G.P.; Berntsen, T.; Strømman, A.H.; Hertwich, E. CO2 emissions from Biomass Combustion for Bioenergy: Atmospheric Decay and Contribution to Global Warming. GCB Bioenergy 2011, 3, 413–426. [Google Scholar] [CrossRef] [Green Version]
- Possell, M.; Hewitt, C.N.; Beerling, D.J. The Effects of Glacial Atmospheric CO2 Concentrations and Climate on Isoprene Emissions by Vascular Plants. Glob. Chang. Biol. 2005, 11, 60–69. [Google Scholar] [CrossRef]
- Obaidullah, M.; Bram, S.; Verma, V.; De Ruyck, J. A Review on Particle Emissions from Small Scale Biomass Combustion. Int. J. Renew. Energy Res. 2012, 2, 147–159. [Google Scholar]
- Mlonka-Mędrala, A.; Magdziarz, A.; Dziok, T.; Sieradzka, M.; Nowak, W. Laboratory Studies on the Influence of Biomass Particle Size on Pyrolysis and Combustion Using TG GC/MS. Fuel 2019, 252, 635–645. [Google Scholar] [CrossRef]
- Zajemska, M.; Urbańczyk, P.; Poskart, A.; Urbaniak, D.; Radomiak, H.; Musiał, D.; Golański, G.; Wyleciał, T. The impact of co-firing sunflower husk pellets with coal in a boiler on the chemical composition of flue gas. Energy Fuels 2017, 14, 2021. [Google Scholar] [CrossRef] [Green Version]
- Radomiak, H.; Bala-Litwiniak, A.; Zajemska, M.; Musiał, D. Numerical Prediction of the Chemical Composition of Gas Products at Biomass Combustion and Co-Combustion in a Domestic Boiler. Energy Fuels 2017, 14, 2043. [Google Scholar] [CrossRef] [Green Version]
- Bala-Litwiniak, A.; Zajemska, M. Computational and Experimental Study of Pine and Sunflower Husk Pellet Combustion and Co-Combustion with Oats in Domestic Boiler. Renew. Energy 2020, 162, 151–159. [Google Scholar] [CrossRef]
- Serrano, C.; Portero, H.; Monedero, E. Pine Chips Combustion in a 50 KW Domestic Biomass Boiler. Fuel 2013, 111, 564–573. [Google Scholar] [CrossRef]
- Roy, M.M.; Corscadden, K.W. An Experimental Study of Combustion and Emissions of Biomass Briquettes in a Domestic Wood Stove. Appl. Energy 2012, 99, 206–212. [Google Scholar] [CrossRef]
- Ozgen, S.; Cernuschi, S.; Caserini, S. An Overview of Nitrogen Oxides Emissions from Biomass Combustion for Domestic Heat Production. Renew. Sustain. Energy Rev. 2021, 135, 110113. [Google Scholar] [CrossRef]
- Bala-Litwiniak, A. Environmental and Economic Aspects of Combustion of Biomass Pellets Containing a Waste Glycerol. Combust. Sci. Technol. 2020, 193, 1998–2008. [Google Scholar] [CrossRef]
- Kostecka, J.; Koc-Jurczyk, J.; Brudzisz, K. Waste Management in Poland and European Union. Waste Manag. 2014, 16, 1–10. [Google Scholar]
- Koryś, K.A.; Latawiec, A.E.; Grotkiewicz, K.; Kuboń, M. The Review of Biomass Potential for Agricultural Biogas Production in Poland. Sustainability 2019, 11, 6515. [Google Scholar] [CrossRef] [Green Version]
- Pradhan, P.; Mahajani, S.M.; Arora, A. Production and Utilization of Fuel Pellets from Biomass: A Review. Fuel Process. Technol. 2018, 181, 215–232. [Google Scholar] [CrossRef]
- Malinauskaite, J.; Jouhara, H.; Czajczyńska, D.; Stanchev, P.; Katsou, E.; Rostkowski, P.; Thorne, R.J.; Colón, J.; Ponsá, S.; Al-Mansour, F.; et al. Municipal Solid Waste Management and Waste-to-Energy in the Context of a Circular Economy and Energy Recycling in Europe. Energy 2017, 141, 2013–2044. [Google Scholar] [CrossRef]
- Musiał, D. Coke and Blast Furnace Gases: Ecological and Economic Benefits of Use in Heating Furnaces. Combust. Sci. Technol. 2020, 192, 1015–1027. [Google Scholar] [CrossRef]
- Scarlat, N.; Fahl, F.; Dallemand, J.F. Status and Opportunities for Energy Recovery from Municipal Solid Waste in Europe. Waste Biomass Valorization 2019, 10, 2425–2444. [Google Scholar] [CrossRef] [Green Version]
- Malico, I.; Nepomuceno Pereira, R.; Gonçalves, A.C.; Sousa, A.M.O. Current Status and Future Perspectives for Energy Production from Solid Biomass in the European Industry. Renew. Sustain. Energy Rev. 2019, 112, 960–977. [Google Scholar] [CrossRef]
- Musiał, D. Optimization of the Coke Oven Gas Combustion Process in an Experimental Heating Chamber. Przem. Chem. 2021, 100, 347–349. [Google Scholar] [CrossRef]
- Sobczyk, W. Evaluation of Harvest of Energetic Basket Willow. Teka. Comm. Mot. Power Ind. Agric. 2011, 11, 343–353. [Google Scholar]
- Stolarski, M.J.; Niksa, D.; Krzyżaniak, M.; Tworkowski, J.; Szczukowski, S. Willow Productivity from Small- and Large-Scale Experimental Plantations in Poland from 2000 to 2017. Renew. Sustain. Energy Rev. 2019, 101, 461–475. [Google Scholar] [CrossRef]
- Klepacka, A.M.; Florkowski, W.J.; Revoredo-Giha, C. The Expansion and Changing Cropping Pattern of Rapeseed Production and Biodiesel Manufacturing in Poland. Renew. Energy 2019, 133, 156–165. [Google Scholar] [CrossRef]
- Elkelawy, M.; Bastawissi, H.A.E.; Esmaeil, K.K.; Radwan, A.M.; Panchal, H.; Sadasivuni, K.K.; Suresh, M.; Israr, M. Maximization of Biodiesel Production from Sunflower and Soybean Oils and Prediction of Diesel Engine Performance and Emission Characteristics through Response Surface Methodology. Fuel 2020, 266, 117072. [Google Scholar] [CrossRef]
- John, M.; Abdullah, M.O.; Hua, T.Y.; Nolasco-Hipólito, C. Techno-Economical and Energy Analysis of Sunflower Oil Biodiesel Synthesis Assisted with Waste Ginger Leaves Derived Catalysts. Renew. Energy 2021, 168, 815–828. [Google Scholar] [CrossRef]
- Singh, S.P.; Singh, D. Biodiesel Production through the Use of Different Sources and Characterization of Oils and Their Esters as the Substitute of Diesel: A Review. Renew. Sustain. Energy Rev. 2010, 14, 200–216. [Google Scholar] [CrossRef]
- Thirumarimurugan, M.; Sivakumar, V.M.; Xavier, A.M.; Prabhakaran, D.; Kannadasan, T. Preparation of Biodiesel from Sunflower Oil by Transesterification. Int. J. Biosci. Biochem. Bioinform. 2012, 2, 441. [Google Scholar] [CrossRef]
- Peterson, G.R.; Scarrah, W.P. Rapeseed Oil Transesterification by Heterogeneous Catalysis. J. Am. Oil Chem. Soc. 1984, 61, 1593–1597. [Google Scholar] [CrossRef]
- Kolesárová, N.; Hutan, M.; Bodík, I.; Špalková, V. Utilization of Biodiesel By-Products for Biogas Production. J. Biomed. Biotechnol. 2011, 2011, 126798. [Google Scholar] [CrossRef]
- Thamsiriroj, T.; Murphy, J. Can Rape Seed Biodiesel Meet the European Union Sustainability Criteria for Biofuels? Energy Fuels 2010, 24, 1720–1730. [Google Scholar] [CrossRef]
- Bala-Litwiniak, A.; Radomiak, H. Possibility of the Utilization of Waste Glycerol as an Addition to Wood Pellets. Waste Biomass Valorization 2019, 10, 2193–2199. [Google Scholar] [CrossRef] [Green Version]
- Bala-Litwiniak, A.; Radomiak, H. Environmental Benefits of Co-Combustion of Light Fuel Oil with Waste Glycerol. Energy Sources Part A Recover. Util. Environ. Eff. 2016, 38, 2510–2516. [Google Scholar] [CrossRef]
- Potip, S.; Wongwuttanasatian, T. Combustion Characteristics of Spent Coffee Ground Mixed with Crude Glycerol Briquette Fuel. Combust. Sci. Technol. 2018, 190, 2030–2043. [Google Scholar] [CrossRef]
- Steinmetz, S.A.; Herrington, J.S.; Winterrowd, C.K.; Roberts, W.L.; Wendt, J.O.L.; Linak, W.P. Crude Glycerol Combustion: Particulate, Acrolein, and Other Volatile Organic Emissions. Proc. Combust. Inst. 2013, 34, 2749–2757. [Google Scholar] [CrossRef]
- Angeloni, M.; Remacha, P.; Martínez, A.; Ballester, J. Experimental Investigation of the Combustion of Crude Glycerol Droplets. Fuel 2016, 184, 889–895. [Google Scholar] [CrossRef]
- Muelas, A.; Remacha, P.; Pina, A.; Barroso, J.; Sobrino, A.; Aranda, D.; Bayarri, N.; Estévez, C.; Ballester, J. Combustion of Crude Glycerol and Its Blends with Acetals. Exp. Therm. Fluid Sci. 2020, 114, 110076. [Google Scholar] [CrossRef]
- Kang, S.B.; Oh, H.Y.; Kim, J.J.; Choi, K.S. Characteristics of Spent Coffee Ground as a Fuel and Combustion Test in a Small Boiler (6.5 KW). Renew. Energy 2017, 113, 1208–1214. [Google Scholar] [CrossRef]
- Růžičková, J.; Raclavská, H.; Šafář, M.; Kucbel, M.; Raclavský, K.; Grobelak, A.; Švédová, B.; Juchelková, D. The Occurrence of Pesticides and Their Residues in Char Produced by the Combustion of Wood Pellets in Domestic Boilers. Fuel 2021, 293, 120452. [Google Scholar] [CrossRef]
- Rabaçal, M.; Fernandes, U.; Costa, M. Combustion and Emission Characteristics of a Domestic Boiler Fired with Pellets of Pine, Industrial Wood Wastes and Peach Stones. Renew. Energy 2013, 51, 220–226. [Google Scholar] [CrossRef]
- Rimár, M.; Fedák, M.; Kulikov, A.; Čorny, I.; Abaham, M.; Kizek, J. Reduction of NOx Formation under the Limit Combustion Conditions through the Application of Combined Primary DeNOx Methods on the Gas Boilers. Acta Montan. Slovaca 2019, 24, 98–119. [Google Scholar]
- Lukáč, L.; Kizek, J.; Jablonský, G.; Karakash, Y. Defining the Mathematical Dependencies of NO x and CO Emission Generation after Biomass Combustion in Low-Power Boiler. Civ. Environ. Eng. Rep. 2019, 29, 153–163. [Google Scholar] [CrossRef] [Green Version]
- Mlonka-Mędrala, A.; Magdziarz, A.; Kalemba-Rec, I.; Nowak, W. The Influence of Potassium-Rich Biomass Ashes on Steel Corrosion above 550 °C. Energy Convers. Manag. 2019, 187, 15–28. [Google Scholar] [CrossRef]
- Williams, A.; Jones, J.M.; Ma, L.; Pourkashanian, M. Pollutants from the Combustion of Solid Biomass Fuels. Prog. Energy Combust. Sci. 2012, 38, 113–137. [Google Scholar] [CrossRef]
- Glarborg, P. Detailed Kinetic Mechanisms of Pollutant Formation in Combustion Processes. Comput. Aided Chem. Eng. 2019, 45, 603–645. [Google Scholar] [CrossRef]
- Li, B.; Sun, Z.; Li, Z.; Aldén, M.; Jakobsen, J.G.; Hansen, S.; Glarborg, P. Post-Flame Gas-Phase Sulfation of Potassium Chloride. Combust. Flame 2013, 160, 959–969. [Google Scholar] [CrossRef]
- Gao, X.; Lu, L.; Shahnam, M.; Rogers, W.A.; Smith, K.; Gaston, K.; Robichaud, D.; Brennan Pecha, M.; Crowley, M.; Ciesielski, P.N.; et al. Assessment of a Detailed Biomass Pyrolysis Kinetic Scheme in Multiscale Simulations of a Single-Particle Pyrolyzer and a Pilot-Scale Entrained Flow Pyrolyzer. Chem. Eng. J. 2021, 418, 129347. [Google Scholar] [CrossRef]
- Ranzi, E.; Frassoldati, A.; Stagni, A.; Pelucchi, M.; Cuoci, A.; Faravelli, T. Reduced Kinetic Schemes of Complex Reaction Systems: Fossil and Biomass-Derived Transportation Fuels. Int. J. Chem. Kinet. 2014, 46, 512–542. [Google Scholar] [CrossRef]
- Fitzpatrick, E.M.; Bartle, K.D.; Kubacki, M.L.; Jones, J.M.; Pourkashanian, M.; Ross, A.B.; Williams, A.; Kubica, K. The Mechanism of the Formation of Soot and Other Pollutants during the Co-Firing of Coal and Pine Wood in a Fixed Bed Combustor. Fuel 2009, 88, 2409–2417. [Google Scholar] [CrossRef]
- Szwaja, S. Zgazowanie Osadu Ściekowego Ze Ślazowcem Pensylwańskim. Przem. Chem. 2019, 1, 120–124. [Google Scholar] [CrossRef]







| Fuel | Fuel Feed Rate, kg/s | Air Flow, m3/s |
|---|---|---|
| Corn straw | 0.000500 | 0.003850 |
| Sunflower husk | 0.000306 | 0.002316 |
| Rapeseed cake | 0.000417 | 0.00327 |
| Willow | 0.000333 | 0.002522 |
| Analyzed Parameters | Corn Straw | Sunflower Husk | Rapeseed Cake | Willow | EN ISO-17225-2:2014 |
|---|---|---|---|---|---|
| Proximate analysis | |||||
| Moisture, % (±0.1%) | 5.31 | 4.55 | 9.29 | 5.82 | ≤10 |
| Ash, % (±0.1%) | 7.56 | 2.45 | 5,77 | 1.96 | ≤3 |
| Ultimate analysis | |||||
| C, % (±0.1%) | 46.7 | 48.7 | 47.5 | 48.1 | - |
| H, % (±0.1%) | 6.3 | 5.9 | 6.0 | 5.9 | - |
| N, % (±0.1%) | 0,6 | 1.0 | 0.9 | 0.7 | ≤1 |
| O, % (bal.) | 33.53 | 36.4 | 30.54 | 37.52 | - |
| Calorific value, MJ/kg (±0.1 MJ/kg) | 15.57 | 17.27 | 16.23 | 16.81 | ≥16.5 |
| Bulk density, kg/m3 (±10 kg/m3) | 500 | 585 | 575 | 550 | ≥500 |
| Length, mm (±1 mm) | 5–15 | 5–15 | 5–15 | 5–15 | 3.15–40 |
| Diameter, mm (±1 mm) | 6 | 6 | 6 | 6 | 6 |
Publisher’s Note: MDPI stays neutral with regard to jurisdictional claims in published maps and institutional affiliations. |
© 2022 by the authors. Licensee MDPI, Basel, Switzerland. This article is an open access article distributed under the terms and conditions of the Creative Commons Attribution (CC BY) license (https://creativecommons.org/licenses/by/4.0/).
Share and Cite
Bala-Litwiniak, A.; Musiał, D. Computational and Experimental Studies of Selected Types of Biomass Combustion in a Domestic Boiler. Materials 2022, 15, 4826. https://doi.org/10.3390/ma15144826
Bala-Litwiniak A, Musiał D. Computational and Experimental Studies of Selected Types of Biomass Combustion in a Domestic Boiler. Materials. 2022; 15(14):4826. https://doi.org/10.3390/ma15144826
Chicago/Turabian StyleBala-Litwiniak, Agnieszka, and Dorota Musiał. 2022. "Computational and Experimental Studies of Selected Types of Biomass Combustion in a Domestic Boiler" Materials 15, no. 14: 4826. https://doi.org/10.3390/ma15144826
APA StyleBala-Litwiniak, A., & Musiał, D. (2022). Computational and Experimental Studies of Selected Types of Biomass Combustion in a Domestic Boiler. Materials, 15(14), 4826. https://doi.org/10.3390/ma15144826

