Abstract
Natural dyes were extracted from various plant sources and converted into lake pigments based on aluminum and tin. Three different plants (weld, Persian berries, and Brazilwood) were chosen as representative sources of natural dyes. High-performance liquid chromatography (HPLC) and triple-quadrupole mass spectrometry (QqQ MS) were used to identify dyestuffs in the raw extracts. The natural dyes and lake pigments were further characterized by optical and scanning electron microscopy (SEM), UV-Vis spectrophotometry, and thermogravimetric analysis (TGA). The stabilization of the studied plant extracts onto aluminum and tin salts led to the formation of natural lake pigments characterized by different color shades. The natural lake pigments showed improved thermal and chemical stability, which was confirmed by their higher degradation temperatures and lower solubility in chemical agents compared to natural dyes extracted from plants. This improvement can be attributed to electrostatic attraction due to the process of chelation. Ethylene-norbornene (EN) composites colored with the lake pigments exhibited uniform color and improved resistance to long-term UV exposure aging. After 300 h of UV exposure, the aging factor of the neat EN copolymer reduced to 0.3, indicating an advanced aging process of polymer compared to colored samples. Prolonged UV exposure deteriorated the mechanical properties of EN by approximately 57%, compared to about 43% with the application of BW/Al lake pigment. Natural lake pigments could be used as effective substitutes for commercial colorants in plastics for packaging applications.
1. Introduction
Dyes or pigments are used as colorants for polymers. Dyes are organic compounds that are soluble in, or have an affinity for, the medium being colored [1]. Pigments are chemical substances characterized by insolubility and the ability to create stable fine-grained dispersions with high tinctorial strength in most mediums. The most prominent uses of pigments are in paints and varnishes. They are also used extensively in the printing, paper, and polymer industries [2]. Depending on their chemical structures, pigments can be classified as organic, inorganic, or organic–inorganic colorants. Organic–inorganic colorants combine the best properties of organic pigments (such as a broad range of colors and colors with high intensity) with the advantages of inorganic pigments (such as high resistance to solvents, light, and temperature) [3,4]. The inorganic part provides dye stabilization and can simultaneously improve the functional properties of polymer composites (such as their thermal stability or barrier properties) [5,6,7,8,9].
Studies have shown that acidic dyes can be stabilized by adsorption on TiO2 and silica surfaces previously modified with aminosilanes [10,11]. Coloring agents may also be obtained by the adsorption of carminic acid on a cation exchange layer of filler–montmorillonite [12]. An interesting trend is the preparation of organic–inorganic pigments using layered hydroxides [13,14,15,16]. The application of layered hydroxides modified with dye can markedly improve the barrier stability and flame retardancy of polymer composites [17]. Conventionally, organic–inorganic pigments are obtained by the laking process. Laking involves the precipitation of water-soluble dyes or extracts with different salts, such as alum, tin chloride, or copper sulfate [18]. These salts can form complexes with the dye molecules via coordinate bonds. Different metal salts can be used as mordants in the process. Inorganic substrates (e.g., aluminum hydroxides) may also be used, producing lakes known as toners [18,19]. These complexes are insoluble and hence improve the staining ability of a dye as well as its fastness. Therefore, a water-soluble dye can be converted into an insoluble pigment by making it into a lake. Due to the simple process of production and the superior properties of lakes, they make promising colorants and have attracted the interest of researchers and industry. In the last century, natural pigments were replaced by synthetic colorants with higher photo-stability, thermal and chemical stability, and low prices, as well as a wider variety of colors. However, increasing ecological awareness and the poisonous properties of some synthetic colorants have renewed interest in natural dyes and pigments, which are characterized by low toxicity and biodegradability [19].
In recent years, many researchers have focused on developing new natural lake pigments with improved chemical properties and high stability for possible applications in polymers used as packaging film. Deveoglu et al. [20] successfully prepared lake pigments from hemp (Datisca cannabina L.) using KAl(SO4)2·12H2O (alum), FeSO4·7H2O, and SnCl2·2H2O mordants. Zhou et al. [21] used Chinese Tallow leaf extract and different mordants (two metal and one biomordant) to obtain wool fabric dye. The dye exhibited excellent antioxidant activity, good UV protection, and high antibacterial activity against Escherichia coli (E. coli) and Staphylococcus aureus (S. aureus). Mahmud-Ali et al. [22] applied aluminum salts Al2(SO4)3·14–15H2O and KAL (SO4)2·12H2O to precipitate dyes from aqueous extracts of onion peel and Canadian Goldenrod. Many other studies have contributed to a better understanding of the conditions of lake pigment formation [23,24].
Many fillers have been investigated as potential carriers for lake pigments. For instance, Sirirak et al. [25] prepared lake pigments based on Caesalpinia Sappan Linn. and aluminum hydroxide using the adsorption method. The prepared red-pink lake pigments were utilized as a natural colorant in natural rubber (elastomer) toy balloons, which could make toy balloons safer for children.
Previously, we described the use of different fillers, including vermiculite, palygorskite, and sepiolite, to obtain organic–inorganic pigments by the laking method (precipitation) [26,27]. These obtained organic–inorganic pigments act as multifunctional additives in polymers, positively influencing their applicative performance, while simultaneously providing high aesthetic qualities. The present study is the first to investigate the behavior of lake pigments stabilized on salts in thermoplastic elastomers intended for use as packaging materials. Inspired by traditional recipes, the lake pigments from weld (Reseda luteola L.) (W), Persian berries (Rhamnimaturi) (PB), and Brazilwood (Caesalpinia Sappan Linn.) (BW) extracts were obtained. The usefulness of the lake pigments as natural colorants in the thermoplastic elastomer was investigated using different techniques. The obtained pigments could potentially be applied as colorants in natural composites or polymers for food packaging.
2. Materials and Methods
2.1. Reagents and Raw Materials
Acetonitrile and methanol of HPLC grade were purchased from Merck (Darmstadt, Germany). Hydrofluoric acid (48% in water), SnCl2, and KAl(SO4)2 × 12 H2O were purchased from Sigma-Aldrich (Steinheim, Germany). All aqueous solutions were prepared using deionized Milli Q water. Weld (Reseda luteola L.), Persian berries (Rhamnimaturi), and Brazilwood (Caesalpinia Sappan Linn) were obtained from Kremer Pigmente (Aichstetten, Germany) in dried form. Ethylene-norbornene random copolymer, with the commercial name Topas Elastomer E140 (EN), was provided by TOPAS Advanced Polymers (Raunheim, Germany).
2.2. Extraction of Dyes from Weld, Persian Berries, and Brazilwood
The plant materials (ca. 10 g) were homogenized and then suspended in 500 mL of aqueous methanol mixture (3:1 v/v) containing 10 mL of 4 M aqueous hydrofluoric acid (HF) solution. The mixtures were refluxed for 1 h, cooled to 50 °C, and filtered under reduced pressure. Next, 1 mL of each supernatant was taken up in 2 mL ACN/MeOH/DMSO (1:1:1, v/v), of which 2 μL was injected into an HPLC column.
2.3. Lake Pigment Preparation Method
2.3.1. Lake Pigments from Weld, Persian Berries, and Brazilwood with Alum (RE/Al, JP/Al, BW/Al)
To the hot extracts of weld, Persian berries, and Brazilwood, 20 g of KAl(SO4)2 × 12 H2O was added. The mixtures were heated for 30 min at a temperature not exceeding 60 °C. After cooling, 30 g of CaCO3 was added in portions (foaming). The suspensions were left for 24 h for precipitation. The pigments were filtered, washed, and air-dried.
2.3.2. Lake Pigment from Weld with Tin (RE/Sn)
To the hot extract of weld, 20 g of SnCl2 was added. The mixture was refluxed for 30 min, cooled, and left for 24 h. The solid precipitate was filtered, washed, and air-dried.
2.4. Preparation of Polymer Composites
Four lake pigments were used as new colorants for ethylene-norbornene copolymer materials. Colorful EN composites were prepared using 100 phr (parts per hundred parts of rubber) of EN copolymer mixed with 3 phr of lake pigment. Mixing was performed in an internal micromixer equipped with cylindrical blades (Brabender, Duisburg, Germany) with the following process parameters: chamber temperature 110 °C and rotor speed 50 rpm. Composite plates were prepared on a hydraulic compression press configured to 120 °C with 15 MPa pressure for 10 min.
2.5. Characterization Techniques
2.5.1. Chromatographic Analysis
Chromatographic analyses were performed using the Agilent 1290 system (Agilent technology, Waldbronn, Germany) controlled by Agilent Masshunter software version B 06.01. The parameters for the spectrochromatographic analysis are presented in Table 1.
Table 1.
Conditions of chromatographic separation and detection of the examined dyes.
2.5.2. Thermogravimetric Analysis
The thermal characteristics of the natural lake pigments were determined using a TGA thermogravimetric analyzer (Mettler Toledo, Columbus, OH, USA). Powder samples of approximately 10 mg were placed in an alumina crucible and heated from 25 °C to 600 °C under an argon atmosphere at a heating rate of 10 °C/min. Thermogravimetric analysis was performed in triplicate runs for each sample.
2.5.3. Chemical Resistance Characteristic
The chemical resistance of each of the natural dyes and prepared lake pigments was evaluated by immersing the samples (~10 mg) in two solvents with different polarities: ethanol and hexane. Subsequently, the colored supernatants were analyzed by UV-Vis spectrophotometry in the range 200–1100 nm using a quartz cuvette.
2.5.4. UV-Vis Spectroscopy
The UV-Vis spectra of the lake pigments were recorded on an Evolution 201/220 UV-Visible spectrophotometer (Thermo Scientific, Waltham, MA, USA). Prior to the measurements, the samples were stored under normal conditions and spectra were recorded in the range 200–1100 nm, directly in the air without further pre-treatment.
2.5.5. Optical Microscopy
Optical microscopy images of the lake powders and polymer composites were collected using an Optatech optical microscope (Optatech, Warsaw, Poland) operating at 64× or 100× magnification, coupled with a Leica MZ 6 camera (Leica microsystems, Wetzlar, Germany) and OptaView software (Optatech, Warsaw, Poland).
2.5.6. Scanning Electron Microscopy (SEM)
Scanning electron microscopy (SEM) was used to investigate the morphology of the natural lake pigments powders. SEM images with the magnification of 25 k× were collected using a scanning electron microscope (SEM, Zeiss, ULTRA Plus, Oberchoken, Germany), operating at an accelerating voltage of 15 keV. The samples were coated with carbon to avoid a charging effect.
2.5.7. Colorimetric Measurements
The color characteristics of the prepared EN composites colored with lake pigments were evaluated on a CM-3600d spectrophotometer (Konica Minolta Sensing, Osaka, Japan). The measurements were performed in the wavelength ranges of 360–740 nm, under standard illuminant D65 and 10° observer, and represented in CIELAB color space. The CIELAB results presented in the manuscript are the average values of the 10 measurements for each composite sample. Based on the colorimetric analysis, three different color coordinate parameters have been determined: L–brightness; a*–redness/greenness color coordinate; and b*–yellowness-blueness color coordinate.
2.5.8. Carbonyl Index Determination (FTIR Measurements)
The infrared absorbance spectra were recorded using a Thermo Scientific Nicolet 6700 FTIR (Fourier transform infrared) spectrometer (Thermo Scientific, Waltham, MA, USA). The ATR-FTIR technique was used to examine the formation of oxidation products in the wavelength range of 4000–500 cm−1 (64 scans, resolution of 4 cm−1, absorption mode). Prior to the FTIR analysis, background measurements and baseline corrections were made. Changes in the relative absorbance intensity of the ketone group A>C=O (corresponding to 1800–1680 cm−1) versus the absorbance intensity of the methylene group A−CH2− (at 3000–2800 cm−1) were used to calculate carbonyl index (CI) according to Equation (1) [28]:
2.5.9. Mechanical Properties of EN Composites
The mechanical properties of the EN/lake pigment composites were evaluated using a Zwick/Roell 1435 universal tensile testing machine at a uniform crosshead speed of 500 mm/min. The tests were carried out following the guidelines of the ISO 37 standard. The elongation at break (EB) and tensile strength (TS) were calculated as the average of five measurements. The measurement error determined for the mechanical parameters was approximately 10%.
2.5.10. Accelerated UV Aging and Aging Factor Determination
Accelerated UV aging was performed in an Atlas UV 2000 apparatus. The procedure included two successively repeating segments: a day segment (irradiance 0.7 W/m2, temperature 60 °C, duration 8 h) and a night segment (no UV radiation, temperature 50 °C, duration 4 h). The accelerated UV aging test was performed for 300 h using radiation at wavelength λ = 343 nm. The aging factor was determined based on tensile strength tests, where AF was evaluated according to Equation (2) [29]:
3. Results and Discussion
3.1. Characterization of Plant Extracts by Liquid Chromatography-Mass Spectrometry
The colorants present in the plant materials were isolated using a mild extraction method with hydrofluoric acid. The use of hydrofluoric acid enables the isolation of natural dyes from various matrices (e.g., plant tissues, lake-pigments, oil paints, textiles) with high efficiency, without breaking the glycosidic bonds or causing other undesired transformations [30,31,32,33]. Liquid chromatography-mass spectrometry with atmospheric pressure negative electrospray ionization LC-ESI (−)-MS was applied to identify the main components in the plant extracts. The identification of colorants was performed based on retention times, UV, and mass spectra in the negative ionization mode (ESI(−)-MS). Mass spectra of flavonoids detected in weld and Persian berries showed the loss of small neutral fragments such as CO (−28 u), H2O (−18 u), and CO2 (−44 u), as well as of combinations of such fragments. Fragmentation reactions were observed for all the flavonoids analyzed in this study (Table 1). The detected fragment ions contributed to the mass spectral fingerprint. Another type of fragmentation of flavonoids is cleavage of the C-ring by a retro-Diels-Alder (RDA) mechanism. This leads to i,jA− and i,jB− ions, providing information on the number and type of substituents in the A− and B− rings [34,35]. The fragmentation pathway of O-glycosylated flavonoids starts with the cleavage of glycosidic bonds and elimination of the sugar moieties. The loss of 162 u (hexose) and 146 u (deoxyhexose) enables the determination of the carbohydrate sequence. In flavonoid C-glycosides, the major fragmentation pathways concern the cross-ring cleavages of the sugar residue. The LC-ESI(-)-MS analysis of the yellow extract of weld showed the presence of eleven flavone-type dyes. Most of them were present in O-glucoside form. In the extract of Persian berries, nine yellow flavone-glucosides and six aglycons were identified.
The fragmentation of coloring substances detected in Brazilwood (brazilin-type homoisoflavonoids) proceeded according to one of two mechanisms: the loss of small neutral molecules or the cleavage of internal rings [36]. The red extract of Brazilwood contained two main compounds, protosappanin B and brazilin, and a trace amount of brazilein.
The chromatographic profiles of the plant extracts are presented in Figure 1. The retention times, molecular ions, main fragment ions, elemental compositions, maximum absorbance wavelengths (λmax), and formulas for the detected dyes are summarized in Table 2. All of the extracts were used for the preparation of lake pigments by stabilization onto aluminum and tin salts.
Figure 1.
Chromatograms at 254 nm for extracts taken from (a) weld, (b) Persian berries, (c) Brazilwood.
Table 2.
Spectrochromatographic data of components extracted from weld, Persian berries, and Brazilwood.
3.2. Structural Characterization of Lake Pigments
Dyes derived from natural sources have attracted considerable attention in recent years, due to increasing ecological awareness. Many of the most common red, yellow, or blue natural colorants also exhibit broad biological activities. Flavonoids, for example, possess bioactive properties and are of great interest for nutrition and pharmacology, due to their extraordinary antioxidant, antibacterial, anti-inflammatory, antifungal, and antitumor properties [37,38,39]. Despite the many advantages of such colorants, they often do not exhibit adequate thermal, chemical, or light stability when applied in advanced materials. Therefore, three different natural plant extracts, weld (W), Persian berries (PB), and Brazilwood (BW) were selected to produce stable colorants with improved physico-chemical performance. The stabilization of these natural plant dyes on the aluminum and tin salts led to the formation of natural lake pigments characterized by different color shades. Figure 2 shows the optical microscopic images of the studied lake pigments. As can be seen, the PB/Al, W/Al and W/Sn pigments were light brown in color, while the BW/Al lake pigment was a deep brown color. The color differences were also reflected in the UV-Vis data shown in Section 2.4, in which characteristic UV-Vis absorption peaks can be distinguished at a wavelength of 415 nm for W/Al and at 550 nm for BW/Al. The stabilization of weld extract on tin resulted in a pigment of a slightly lighter color compared to the stabilization of weld on aluminum.
Figure 2.
Microscopic images of natural lake pigments: (a) PB/Al; (b) BW/Al; (c) W/Al; (d) W/Sn.
Figure 3 shows the SEM micrographs of the investigated powders. As can clearly be seen, the shapes and sizes of the particles of lake pigments varied depending on the inorganic matrix used. Regardless of the type of natural chromophore, the lake pigments made from aluminum hydroxide were characterized by a cubic morphology, with rough, uneven shapes and lateral dimensions of 1 × 2 μm, covered with many finer particles (Figure 3a–c). The tin-based lake pigment, depicted in Figure 3d, showed a similar shape to Al-based pigments, but with larger dimensions. The very long individual particles were a few microns in length with widths of approximately 2 μm.
Figure 3.
Scanning electron microscopic images of natural lake pigments: (a) PB/Al; (b) BW/Al; (c) W/Al; (d) W/Sn.
3.3. Chemical Resistance of Lake Pigments
Generally, the fabrication of lake pigments by complexing dyes with metal ions (often Al3+, Ca2+, Fe3+, or Sn4+) results in insolubility in the binding medium and produces colorants with various colors [40]. The next step was therefore to assess the effect of stabilization on the chemical resistance of the natural dyes. For this purpose, the samples of the natural dyes were immersed in two solvents with different polarities: ethanol and hexane. The colored solutions were analyzed by UV-Vis spectrophotometry. The obtained UV-Vis spectra are presented in Figure 4. The strong absorbance peaks on the UV-Vis spectra indicate the pronounced migration of dyes into the solvents. This is clearly evident in the case of ethanol solutions, for which intense characteristic UV-Vis peaks were noted at around 315 nm, 360 nm, and 340 nm for BW, PB, and W, respectively. In contrast to the natural dyes, the prepared lake pigments were found to be resistant to the selected solvents. This was confirmed by significantly lower absorption peaks registered by UV-Vis spectrophotometry measurements in the visible region. It can be assumed that the stabilization of the colorful plant extracts on Al or Sn resulted in colorants with higher resistance to chemical attacks. These results corroborate our previous studies, in which organic dyes showed improved chemical resistance to different solvents after stabilization on mineral supports [41,42].
Figure 4.
UV-Vis spectra of solutions of natural lake pigments with (a) ethanol and (b) n-hexane after 24 h of exposure.
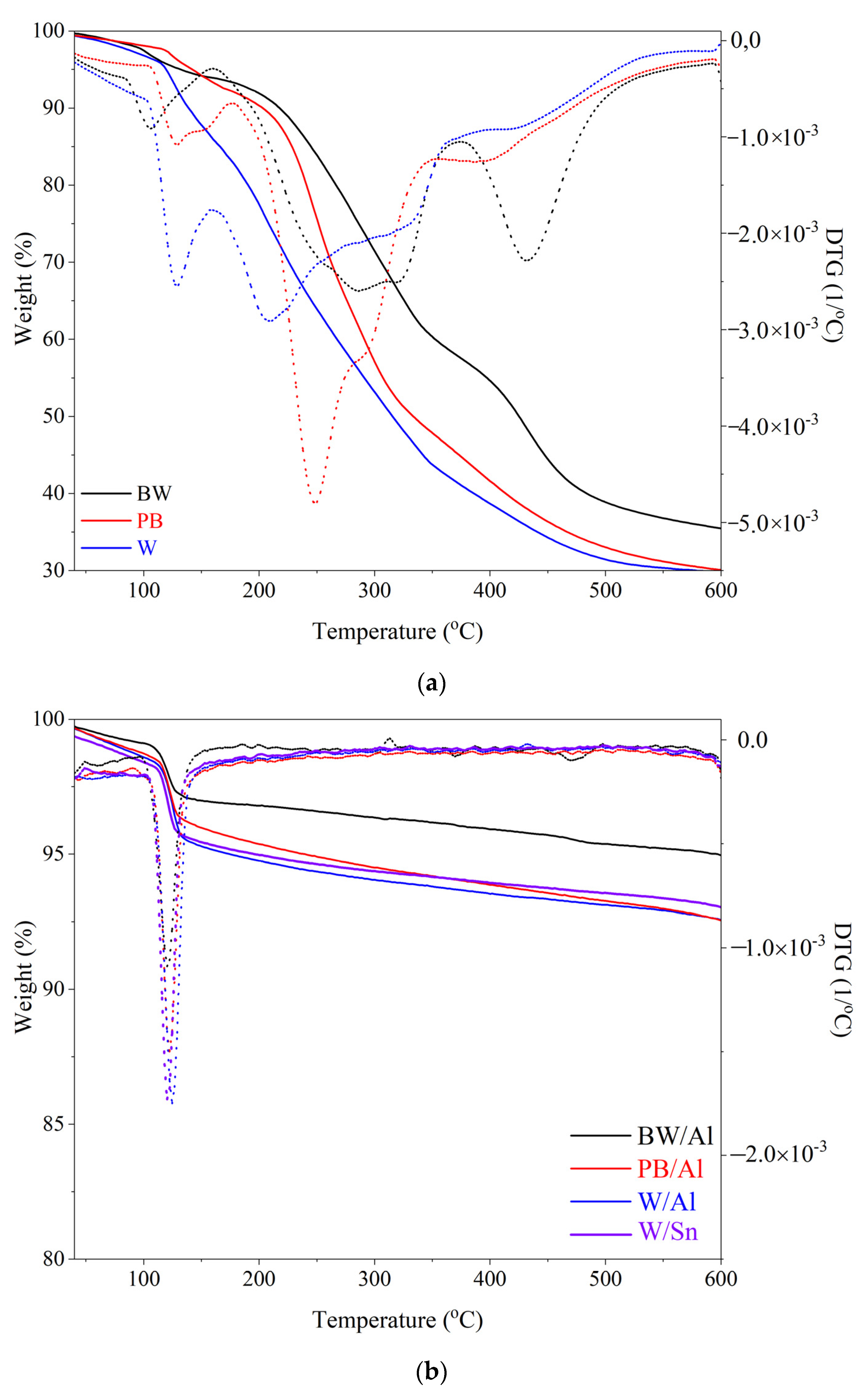
3.4. Thermal Stability of Lake Pigments
The thermal properties of the natural dyes and Al- and Sn-based lake pigments were analyzed using thermogravimetric analysis (TGA). The TG/DTG profiles of the studied samples are presented in Figure 5. The corresponding degradation temperatures are presented in Table 3. Figure 5a shows the thermal decomposition of the natural colorants proceeding in several steps. The intensive process began at approximately 120–140 °C, with a total weight loss at 600 °C of around 30%. The poor thermal stability of the studied natural dyes is evidenced by their very low initial thermal decomposition temperatures (T05) at 118 °C, 130 °C, and 142 °C for W, BW, and PB, respectively. The TG/DTG results for the natural dyes are in agreement with the generally low thermal stability observed for most colorants derived from plant sources [43]. Importantly, the TG/DTG experiment revealed a shift of thermal degradation temperatures toward higher values for the designed natural lake pigments, indicating improved thermal stability after stabilization on the inorganic supports (Figure 5b). Moreover, high inorganic content was observed in all the natural lake pigment samples, which may be attributed to the complexation between Al and Sn metals and organic ligand species. Generally, the thermal stability of the studied Al-based lake pigments can be given in the following order: W/Al < PB/Al < BW/Al. The T05 temperature was higher for the W/Sn lake than for W/Al. By analogy to the thermal stability results reported for natural pigments prepared from Datisca cannabina L. [20], the strong metal-chelating capacity of the natural dyes present in plant extracts may be assumed to be responsible for the enhanced stability of the lake pigments.
Figure 5.
Thermogravimetric curves (TG/DTG) obtained for: natural dyes (a) and lake pigments (b).
Table 3.
Thermal decomposition temperatures of natural lake pigments (T05, T10, T20, and T50) (standard deviations: T05,10,20,50 ± 3 °C, char residue ± 2%).
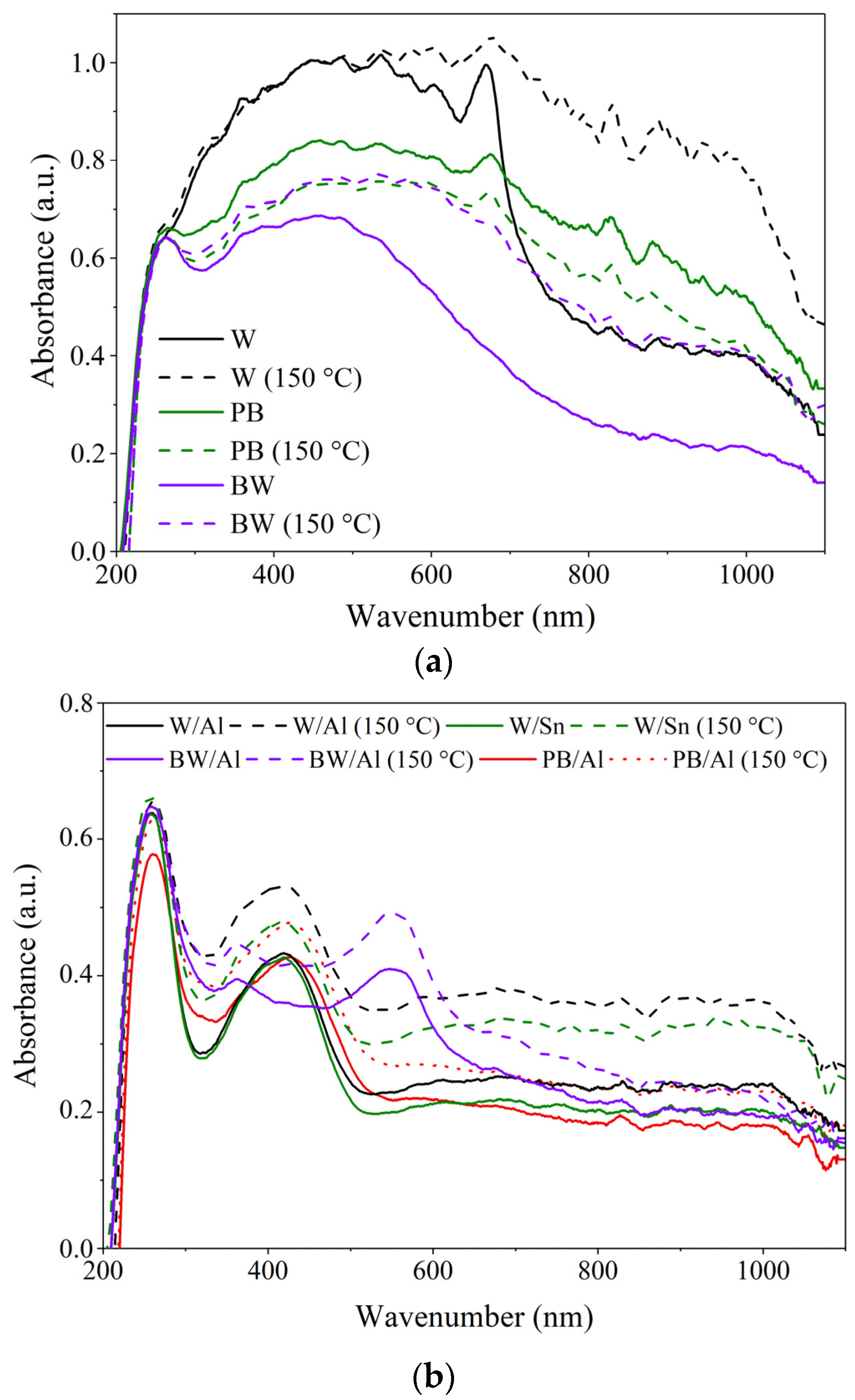
The colorimetric thermal stability of each of the natural dyes and designed lake pigments was also evaluated based on UV-Vis spectrophotometric measurements after thermal treatment at 150 °C for 30 min. This procedure for evaluating color stability had been applied previously to different natural dyes and pigments [26,44]. The UV-Vis spectra of the studied samples are shown in Figure 6. The UV-Vis data for the natural dyes reveal significant changes in color following thermal treatment. As can be seen in Figure 6a, the UV-Vis spectra characteristics changed considerably, especially for W, confirming its very low thermal stability. The main characteristic UV-Vis peaks shifted from approximately 490 nm to 570 nm, from 480 nm to 540 nm, and from 460 nm to 550 nm for W, PB, and BW, respectively. In contrast, when the Al- and Sn-based lake pigments were exposed to 150 °C there was no shift of the characteristic UV-Vis peaks, which maintained their initial positions at 420 nm, 422 nm, 425 nm, and 555 nm for W/Sn, W/Al, PB/Al, and BW/Al, respectively. This means that the colors of the lake pigments remained stable across the tested temperature interval. It can be assumed that stabilization onto aluminum or tin improved the thermal stability of the colorants.
Figure 6.
UV-Vis-NIR curves for: natural dyes (a,b) natural lake pigments exposed to elevated temperature of 150 °C.
3.5. Application of Lake Pigments in Plastic
In the last stage of the research, the prepared natural lake pigments were incorporated at 3 wt% loading into ethylene-norbornene copolymer (EN) films to produce colorful plastic products. Ethylene-norbornene copolymer belongs to the group of cyclic olefin copolymers (COC) that are characterized by high purity, low permeability, and amorphous transparency [45,46]. Materials made from EN are used in medical, optics and food packaging materials, where color is often a crucial factor.
The EN composites were evaluated based on spectrophotometric measurements, according to the CIELAB color space model. The presence of natural lake pigments in the EN resulted in a remarkable variation in CIELAB coordinates (Table 4). Neat EN copolymer was characterized by a high lightness value (L = 86.52) due to its high transparency. The addition of lake pigments resulted in composites with lower L values, which can be attributed to intense selective light absorption and thus the effective hiding of the transparent neat copolymer. Moreover, b* values, expressing the yellow-blue component of the samples, shifted from 5.06 for the neat EN up to 9.57, 53.16, 40.96, and 38.09 for EN/BW/Al, EN/PB/Al, EN/W/Al, and EN/W/Sn, respectively. The a* values of the samples fell significantly compared to neat EN. These findings confirm that Al- and Sn-based lake pigments made from natural dyes are capable of providing polymer composites with very good color performance and suggest that the selection of the precipitated substrate may have a considerable impact on the final color of the material.
Table 4.
Digital images and color coordinates of EN films colored with natural lake pigments.
The prolonged utilization of polymer products leads to photo-degradation, which results in surface changes and leads to discoloration, making the final products aesthetically unappealing [47]. According to the literature, some natural additives can be effectively used to protect polymer composites against the negative effects of long-term light exposure [48,49]. For instance, Quiles-Carrillo et al. [50] report that the incorporation of natural gallic acid into HDPE leads to composites with significantly improved light stability, as shown by FTIR measurements. The most important factor causing the weathering of polyolefin composites is photo-oxidation, which occurs in the presence of oxygen and UV-radiation below 400 nm [51].
In this study, UV aging experiments on the colored EN composites for different exposure times were performed. The structural and physical changes were monitored based on FTIR measurements and mechanical tests. On the basis of the FTIR measurements of the aged composites, the intensity of carbonyl groups (C=O) at 1680–1800 cm−1 in the FTIR spectra was analyzed. The changes in the carbonyl index (CI) with increasing UV aging times are presented in Figure 7, while the FTIR spectra obtained for studied samples are presented in Appendix A (Figure A1).
Figure 7.
Carbonyl index determined for EN/natural lake pigment composites exposed to UV aging.
As shown in Figure 7, UV aging time contributed to a progressive increase in the CI for all EN composites, reaching the highest values after 300 h of aging. Generally, a higher CI indicates a higher degree of polymer degradation. As expected, the uncolored EN copolymer showed a dramatic increase in C=O groups with UV exposure time, compared to the composites filled with lake pigments. After 300 h of aging, the CI for neat EN was almost double the CI of the other samples. This is reliable evidence of considerable photodegradation in the case of the EN copolymer upon UV exposure and simultaneously of the effective protection provided by natural lake pigments employed as colorants in this material.
Photo-oxidation reactions are generally assumed to alter both the molecular weight and crystallinity of polymers, affecting their mechanical performance [52]. Therefore, tensile strength tests of the samples before and after UV aging were performed. The results are shown in Figure 8.
Figure 8.
Mechanical parameters determined for EN/natural lake pigments composites exposed to UV aging: (a) tensile strength and (b) aging cofactor.
As shown in Figure 8, all EN samples displayed a similar progressive reduction in mechanical performance when subjected to UV aging. This is clearly evident for neat EN copolymer and EN/PB/Al, which showed strong reductions in tensile strength after 300 h of UV aging, from 36.0 MPa and 35.7 MPa up to 16.9 MPa and 12.2 MPa, respectively. The mechanical performance was also reflected in the aging factor values determined based on the changes in the tensile properties and elongation at break of the samples. As shown in Figure 8b, a similar decreasing trend was observed with increasing aging time. The lower aging factor values resulted from the reduction in tensile strength and elongation of the aged samples. This is consistent with the literature and is associated with oxidation-induced chain scission [53]. In comparison, the EN composites colored with BW/Al and W/Al lake pigments exhibited less pronounced reductions in tensile strength and aging factors following UV aging. These results are in good agreement with data obtained from FTIR measurements (CI) and with our previous research on other EN copolymer composites filled with natural pigments derived from plants [54]. The present findings prove that the selected natural lake pigments effectively protected EN material against photo-degradation due to their ability to absorb light radiation.
4. Conclusions
In this study, a multi-technical approach was used to investigate different natural lake pigments made from plant-derived natural dyes and their potential for use as new eco-friendly colorants for plastic packaging materials. The most important conclusions from this study are as follows:
- ▪
- The lake pigments precipitated on tin and aluminum showed different color performance, depending on the natural dye and inorganic support.
- ▪
- Importantly, the prepared lake pigments exhibited improved thermal and chemical stability compared to the raw natural dyes.
- ▪
- The application of the studied lake pigments in ethylene-norbornene (EN) copolymer materials led to colorful products with improved resistance to long-term UV radiation.
- ▪
- In most cases, the EN composites containing natural lake pigments exhibited lower reductions in their mechanical parameters after 300 h of UV exposure compared to the neat EN copolymer. The enhanced UV resistance of the colored composites was also confirmed by the lower content of C=O groups generated on their surfaces during aging.
Based on these results, natural lake pigments show great potential for use as promising candidates for eco-friendly colorants for plastics, exploiting renewable natural resources.
Author Contributions
Conceptualization, B.S. and A.M.; methodology, B.S., M.K., M.Ś.-K., A.M.; software, B.S., M.K., M.Ś.-K., A.M.; validation, B.S., M.K., M.Ś.-K., A.M.; formal analysis, B.S., M.K., M.Ś.-K., A.M. investigation, B.S., M.K., M.Ś.-K., A.M.; resources, M.Ś.-K. and A.M.; data curation, B.S., M.K., M.Ś.-K., A.M.; writing—original draft preparation, B.S., M.K., M.Ś.-K., A.M.; writing—review and editing, B.S., M.K., M.Ś.-K., A.M.; visualization, B.S., M.K., M.Ś.-K., A.M.; supervision, A.M. All authors have read and agreed to the published version of the manuscript.
Funding
This research received no external funding.
Institutional Review Board Statement
Not applicable.
Informed Consent Statement
Not applicable.
Data Availability Statement
Not applicable.
Acknowledgments
This article has been completed while the second author (Małgorzata Kuśmierek) was the Doctoral Candidate in the Interdisciplinary Doctoral School at the Lodz University of Technology, Poland.
Conflicts of Interest
The authors declare no conflict of interest.
Appendix A

Figure A1.
FTIR spectra of EN/lake pigments composites exposed to different time of UV radiation: (a) neat EN, (b) EN/BW/Al composites, (c) EN/PB/Al composites, (d) EN/W/Sn composites.
Figure A1.
FTIR spectra of EN/lake pigments composites exposed to different time of UV radiation: (a) neat EN, (b) EN/BW/Al composites, (c) EN/PB/Al composites, (d) EN/W/Sn composites.


References
- Fleischmann, C.; Lievenbrück, M.; Ritter, H. Polymers and dyes: Developments and applications. Polymers 2015, 7, 717–746. [Google Scholar] [CrossRef] [Green Version]
- Herbst, W.; Hunger, K. Industrial Organic Pigments: Production, Properties, Applications; John Wiley& Sons: Weinheim, Germany, 2006; pp. 1–659. [Google Scholar]
- Pfaff, G. Inorganic Pigments; Walter de Gruyter GmbH & Co KG: Berlin, Germany, 2017; pp. 1–329. [Google Scholar]
- Wang, X.; Mu, B.; Hui, A.; Wang, Q.; Wang, A. Low-cost bismuth yellow hybrid pigments derived from attapulgite. Dye. Pigm. 2018, 149, 521–530. [Google Scholar] [CrossRef]
- Kang, N.J.; Wang, D.Y.; Kutlu, B.; Zhao, P.C.; Leuteritz, A.; Wagenknecht, U.; Heinrich, G. Anew approach to reducing the flammability of layered double hydroxide (LDH)-based polymer composites: Preparation and characterization of dye structure-intercalated LDH and its effect on the flammability of polypropylene-grafted maleic ahydride/d-LDH composites. ACS Appl. Mater. Interfaces 2013, 5, 8991–8997. [Google Scholar] [CrossRef] [PubMed]
- Marzec, A.; Szadkowski, B.; Rogowski, J.; Maniukiewicz, W.; Zaborski, M. New organic-inorganic hybrids as multifunctional additives to improve ethylene-norbornene (EN) composite stability. Polym. Degrad. Stab. 2019, 160, 110–119. [Google Scholar] [CrossRef]
- Szadkowski, B.; Marzec, A.; Rybiński, P.; Maniukiewicz, W.; Zaborski, M. Aluminum-magnesium hydroxycarbonate/azo dye hybrids as novel multifunctional colorants for elastomer composites. Polymers 2018, 11, 43. [Google Scholar] [CrossRef] [PubMed] [Green Version]
- Mahmoodi, A.; Ghodrati, S.; Khorasani, M. High-strength, low-permeable, and light-protective nanocomposite films based on a hybrid nanopigment and biodegradable PLA for food packaging applications. ACS Omega 2019, 4, 14947–14954. [Google Scholar] [CrossRef] [Green Version]
- Hajibeygi, M.; Omidi-Ghallemohamadi, M. One-step synthesized azo-dye modified Mg-Al-LDH reinforced biobased semi-aromatic polyamide containing naphthalene ring; study on thermal stability and optical properties. J. Polym. Res. 2017, 24, 61–71. [Google Scholar] [CrossRef]
- Andrzejewska, A.; Krysztafkiewicz, A.; Jesionowski, T. Adsorption of organic dyes on the aminosilane modified TiO2 surface. Dye. Pigm. 2004, 62, 121–130. [Google Scholar] [CrossRef]
- Jesionowski, T.; Binkowski, S.; Krysztafkiewicz, A. Adsorption of the selected organic dyes on the functionalized surface of precipitated silica via emulsion route. Dye. Pigm. 2005, 65, 267–279. [Google Scholar] [CrossRef]
- Fournier, F.; de Viguerie, L.; Balme, S.; Janot, J.M.; Walter, P.; Jaber, M. Physico-chemical characterization of lake pigments based on montmorillonite and carminic acid. Appl. Clay Sci. 2016, 130, 12–17. [Google Scholar] [CrossRef]
- Wiyantoko, B.; Kurniawati, P.; Purbaningtias, T.E.; Fatimah, I. Synthesis and characterization of hydrotalcite at different Mg/Al molar ratios. Procedia Chem. 2015, 17, 21–26. [Google Scholar] [CrossRef] [Green Version]
- Guo, S.; Li, D.; Zhang, W.; Pu, M.; Evans, D.G.; Duan, X. Preparation of an anionic azopigment-pillared layered double hydroxide and the thermo-and photostability of the resulting intercalated material. J. Solid State Chem. 2004, 177, 4597–4604. [Google Scholar] [CrossRef]
- Li, D.; Qian, L.; Feng, Y.; Feng, J.; Tang, P.; Yang, L. Co-intercalation of acid red 337 and a UV absorbent into layered double hydroxides: Enhancement of photostability. ACS Appl. Mater. Interfaces 2014, 6, 20603–20611. [Google Scholar] [CrossRef] [PubMed]
- Li, S.; Mu, B.; Wang, X.; Wang, A. Recent researches on natural pigments stabilized by clay minerals: A review. Dye. Pigm. 2021, 190, 109322–109333. [Google Scholar] [CrossRef]
- Costa, F.R.; Leuteritz, A.; Wagenknecht, U.; Jehnichen, D.; Häußler, L.; Heinrich, G. Intercalation of Mg-Al layered double hydroxide by anionic surfactants: Preparation and characterization. Appl. Clay Sci. 2008, 38, 153–164. [Google Scholar] [CrossRef]
- Christie, R.M.; Mackay, J.L. Metal salt azo pigments. Color. Technol. 2008, 124, 133–144. [Google Scholar] [CrossRef]
- Alam, S.M.M.; Islam, S.; Akter, S. Reviewing the sustainability of natural dyes. Adv. Res. Text Eng. 2020, 5, 1050. [Google Scholar]
- Deveoglu, O.; Cakmakcı, E.; Taskopru, T.; Torgan, E.; Karadag, R. Identification by RP-HPLC-DAD, FTIR, TGA and FESEM-EDAX of natural pigments prepared from Datisca cannabina L. Dye. Pigm. 2012, 94, 437–442. [Google Scholar] [CrossRef]
- Zhou, Q.; Rather, L.J.; Ali, A.; Wang, W.; Zhang, Y.; Haque, Q.M.R.; Li, Q. Environmental friendly bioactive finishing of wool textiles using the tannin-rich extracts of Chinese tallow (Sapiumsebiferum L.) waste/fallen leaves. Dye. Pigm. 2020, 176, 108230. [Google Scholar] [CrossRef]
- Mahmud-Ali, A.; Fitz-Binder, C.; Bechtold, T. Aluminium based dye lakes from plant extracts for textile coloration. Dye. Pigm. 2012, 94, 533–540. [Google Scholar] [CrossRef]
- Beltran, V.; Marchetti, A.; De Meyer, S.; Nuyts, G.; De Wael, K. Geranium lake pigments: The role of the synthesis on the structure and composition. Dye. Pigm. 2021, 189, 109260. [Google Scholar] [CrossRef]
- Pozzi, F.; van den Berg, K.J.; Fiedler, I.; Casadio, F. A systematic analysis of red lake pigments in French Impressionist and Post-Impressionist paintings by surface-enhanced Raman spectroscopy (SERS). J. Raman. Spectrosc. 2014, 45, 1119–1126. [Google Scholar] [CrossRef]
- Sirirak, J.; Suppharatthanya, P.; Chantha, K.; Girdthep, S.; Chayabutra, S. Eco-friendly lake pigment from sappanwood: Adsorption study and its application as natural colorant for natural rubber toy balloon. J. Met. Mater. Miner. 2021, 31, 27–37. [Google Scholar] [CrossRef]
- Marzec, A.; Szadkowski, B.; Rogowski, J.; Rybiński, P.; Maniukiewicz, W. Novel eco-friendly hybrid pigment with improved stability as a multifunctional additive for elastomer composites with reduced flammability and pH sensing properties. Dye. Pigm. 2021, 186, 108965. [Google Scholar] [CrossRef]
- Szadkowski, B.; Rogowski, J.; Maniukiewicz, W.; Beyou, E.; Marzec, A. New natural organic–inorganic pH indicators: Synthesis and characterization of pro-ecological hybrid pigments based on anthraquinone dyes and mineral supports. J. Ind. Eng. Chem. 2022, 105, 446–462. [Google Scholar] [CrossRef]
- Latos-Brozio, M.; Masek, A. The effect of natural additives on the composting properties of aliphatic polyesters. Polymers 2020, 12, 1856. [Google Scholar] [CrossRef]
- Maciejewska, M.; Sowińska, A.; Kucharska, J. Organic zinc salts as pro-ecological activators for sulfur vulcanization of styrene–butadiene rubber. Polymers 2019, 11, 1723. [Google Scholar] [CrossRef] [Green Version]
- Otłowska, O.; Ślebioda, M.; Wachowiak, M.; Śliwka-Kaszyńska, M. Identification and characterization of the Indian Yellow dye-stuff and its degradation products in historical oil paint tube by liquid chromatography mass spectrometry. RSC Adv. 2015, 5, 48786–48792. [Google Scholar] [CrossRef]
- Otłowska, O.; Ślebioda, M.; Wachowiak, M.; Śliwka-Kaszyńska, M. A multi-analytical approach to the characterization of natural organic dyestuffs and inorganic substrates present in the 19th-century artistic oil paints manufactured by a French art materials supplier Richard Aines. Anal. Methods 2017, 9, 94–102. [Google Scholar] [CrossRef]
- Otłowska, O.; Ślebioda, M.; Kot-Wasik, A.; Karczewski, J.; Śliwka-Kaszyńska, M. Chromatographic and spectroscopic identification and recognition of natural dyes, uncommon dyestuff components and mordants in 16th century carpet. Molecules 2018, 23, 339. [Google Scholar] [CrossRef] [Green Version]
- Śliwka-Kaszyńska, M.; Ślebioda, M.; Brillowska-Dąbrowska, A.; Mroczyńska, M.; Karczewski, J.; Marzec, A.; Rybiński, P.; Drążkowska, A. Multi-Technique Investigation of Grave Robes from 17th and 18th Century Crypts Using Combined Spectroscopic, Spectrometric Techniques, and New-Generation Sequencing. Materials 2021, 14, 3535. [Google Scholar] [CrossRef] [PubMed]
- Yang, M.; Li, J.; Zhao, C.; Xiao, H.; Fang, X.; Zheng, J. LC-Q-TOF-MS/MS detection of food flavonoids: Principle, methodology, and applications. Crit. Rev. Food Sci. Nutr. 2021, 21, 1–21. [Google Scholar] [CrossRef] [PubMed]
- Fabre, N.; Rustan, I.; de Hoffmann, E.; Quetin-Leclercq, J. Determination of Flavone, Flavonol, and Flavanone Aglycones by Negative Ion Liquid Chromatography Electrospray Ion Trap Mass Spectrometry. J. Am. Soc. Mass Spectrom. 2001, 12, 707–715. [Google Scholar] [CrossRef] [Green Version]
- Lech, K.; Fornal, E. A Mass Spectrometry-Based Approach for Characterization of Red, Blue, and Purple Natural Dyes. Molecules 2020, 25, 3223. [Google Scholar] [CrossRef]
- Dias, M.C.; Pinto, D.C.G.A.; Silva, A.M.S. Plant Flavonoids: Chemical Characteristics and Biological Activity. Molecules 2021, 26, 5377. [Google Scholar] [CrossRef]
- Fernandez, J.; Silvan, B.; Entrialgo-Cadierno, R.; Villar, C.J.; Capasso, R.; Uranga, J.A.; Lombo, F.; Abalo, R. Antiproliferative and palliative activity of flavonoids in colorectal cancer. Biomed. Pharmacother. 2021, 143, 112241. [Google Scholar] [CrossRef]
- Rodriguez-Arce, E.; Saldias, M. Antioxidant properties of flavonoid metal complexes and their potential inclusion in the development of novel strategies for the treatment against neurodegenerative diseases. Biomed. Pharmacother. 2021, 143, 112236. [Google Scholar] [CrossRef]
- Berrie, B.H.; Strumfels, Y. Change is permanent: Thoughts on the fading of cochineal-based watercolor pigments. Herit. Sci. 2017, 5, 30. [Google Scholar] [CrossRef] [Green Version]
- Marzec, A.; Szadkowski, B.; Rogowski, J.; Maniukiewicz, W.; Moszyński, D.; Rybiński, P.; Zaborski, M. Carminic acid stabilized with aluminum-magnesium hydroxycarbonate as new colorant reducing flammability of polymer composites. Molecules 2019, 24, 560. [Google Scholar] [CrossRef] [Green Version]
- Marzec, A.; Szadkowski, B.; Kuśmierek, M.; Rogowski, J.; Maniukiewicz, W.; Rybiński, P.; Zaborski, M. Impact of organic-inorganic color additive on the properties of ethylene-norbornene copolymer. Polym. Test 2020, 82, 106290. [Google Scholar] [CrossRef]
- Fernández-López, J.A.; Fernández-Lledó, V.; Angosto, J.M. New insights into red plant pigments: More than just natural colorants. RSC Adv. 2020, 10, 24669–24682. [Google Scholar] [CrossRef] [PubMed]
- Yang, X.H.; Deng, L.Z.; Mujumdar, A.S.; Xiao, H.W.; Zhang, Q.; Kan, Z. Evolution and modeling of colour changes of red pepper (Capsicum annuum L.) during hot air drying. J. Food Eng. 2018, 231, 101–108. [Google Scholar] [CrossRef]
- Wolski, K.; Cichosz, S.; Masek, A. Surface hydrophobisation of lignocellulosic waste for the preparation of biothermoelastoplastic composites. Eur. Polym. J. 2019, 118, 481–491. [Google Scholar] [CrossRef]
- Plota, A.; Masek, A. Plant-Origin Stabilizer as an Alternative of Natural Additive to Polymers Used in Packaging Materials. Int. J. Mol. Sci. 2021, 22, 4012. [Google Scholar] [CrossRef] [PubMed]
- Krehula, L.K.; Katančić, Z.; Siročić, A.P.; Hrnjak-Murgić, Z. Weathering of high-density polyethylene-wood plastic composites. J. Wood Chem. Technol. 2014, 34, 39–54. [Google Scholar] [CrossRef]
- Olejnik, O.; Masek, A. Bio-based packaging materials containing substances derived from coffee and tea plants. Materials 2020, 13, 5719. [Google Scholar] [CrossRef]
- Masłowski, M.; Miedzianowska, J.; Czylkowska, A.; Efenberger-Szmechtyk, M.; Nowak, A.; Strzelec, K. Anti-oxidative activity of alcohol-water extracts from field horsetail (Equisteumarvense) in elastomer vulcanizates subjected to accelerated aging processes. Materials 2020, 13, 4903. [Google Scholar] [CrossRef]
- Quiles-Carrillo, L.; Montava-Jordà, S.; Boronat, T.; Sammon, C.; Balart, R.; Torres-Giner, S. On the use of gallic acid as a potential natural antioxidant and ultraviolet light stabilizer in cast-extruded bio-based high-density polyethylene films. Polymers 2019, 12, 31. [Google Scholar] [CrossRef] [Green Version]
- Grause, G.; Chien, M.F.; Inoue, C. Changes during the weathering of polyolefins. Polym. Degrad. Stab. 2020, 181, 109364. [Google Scholar] [CrossRef]
- Rodriguez, A.K.; Mansoor, B.; Ayoub, G.; Colin, X.; Benzerga, A.A. Effect of UV-aging on the mechanical and fracture behavior of low density polyethylene. Polym. Degrad. Stab. 2020, 180, 109185. [Google Scholar] [CrossRef]
- Hsu, Y.C.; Weir, M.P.; Truss, R.W.; Garvey, C.J.; Nicholson, T.M.; Halley, P.J. A fundamental study on photo-oxidative degradation of linear low density polyethylene films at embrittlement. Polymer 2012, 53, 2385–2393. [Google Scholar] [CrossRef]
- Marzec, A.; Szadkowski, B. Improved aging stability of ethylene-norbornene composites filled with lawsone-based hybrid pigment. Polymers 2019, 11, 723. [Google Scholar] [CrossRef] [PubMed] [Green Version]
Publisher’s Note: MDPI stays neutral with regard to jurisdictional claims in published maps and institutional affiliations. |
© 2022 by the authors. Licensee MDPI, Basel, Switzerland. This article is an open access article distributed under the terms and conditions of the Creative Commons Attribution (CC BY) license (https://creativecommons.org/licenses/by/4.0/).












