Effect of Cu Substitution and Heat Treatment on Phase Formation and Magnetic Properties of Sm12Co88−xCux Melt-Spun Ribbons
Abstract
:1. Introduction
2. Experimental Procedure
3. Results and Discussion
3.1. Phase Formation
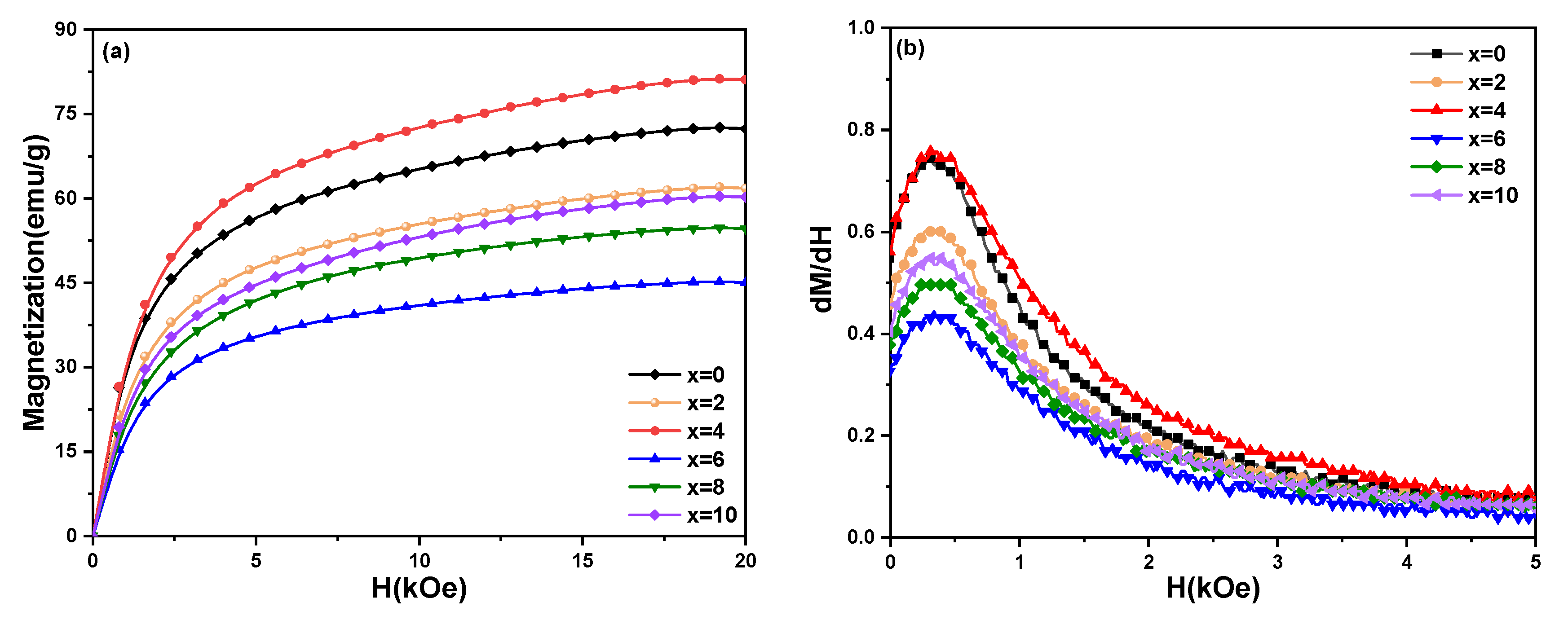
3.2. Magnetic Properties
4. Conclusions
- (1)
- The XRD and SEM-EDS results indicate that the Sm12Co88−xCux (x = 0) as-cast alloy contains Sm2Co17 and Sm5Co19 phases, and the Sm12Co88−xCux (x = 2) as-cast alloy is composed of Sm2Co17, Sm2Co7 and Sm(Co, Cu)5 phases. Both the Sm2Co17 and Sm(Co, Cu)5 phases are detected in the Sm12Co88−xCux (x = 4, 6, 8, 10) as-cast alloys. Meanwhile, Sm12Co88−xCux ribbons show a single SmCo7 phase, which is still formed in the ribbons annealed at 1023 K. After being annealed at 1123 K and 673 K, Sm12Co88−xCux (x = 0, 2) ribbons consist of a Sm2Co17 single phase, while Sm12Co88−xCux (x = 4, 6, 8, 10) ribbons contain Sm2Co17 and Sm(Co, Cu)5 phases.
- (2)
- Magnetic measurements show that the magnetic properties of Sm12Co88−xCux ribbons (x = 4, 6, 8, 10) with high Cu substitution annealed at 1123 K and 673 K are improved significantly, and the coercivity mechanism of these ribbons is controlled by both a pinning mechanism and a nucleation mechanism. The volume fraction of the Sm(Co, Cu)5 phase in the ribbons increases after heat treatment, which is an important factor for the enhancement of the coercivity and maximal magnetic energy product. The best magnetic properties with Br = 6.76 kGs, Hcj = 5.20 kOe and (BH)max = 6.85 MGOe were achieved in Sm12Co88−xCux (x = 8) ribbons annealed at 1123 K and 673 K.
Author Contributions
Funding
Institutional Review Board Statement
Informed Consent Statement
Data Availability Statement
Conflicts of Interest
References
- Coey, J. Hard magnetic materials: A perspective, magnetics. IEEE Trans. Magn. 2011, 47, 4671–4681. [Google Scholar] [CrossRef]
- Gutfleisch, O.; Willard, M.A.; Brück, E.; Chen, C.H.; Sankar, S.G.; Liu, J.P. Magnetic materials and devices for the 21st century: Stronger, lighter, and more energy efficient. Adv. Mater. 2011, 20, 1–22. [Google Scholar] [CrossRef] [PubMed]
- Poudyal, N.; Liu, J.P. Advances in nanostructured permanent magnets research. J. Phys. D Appl. Phys. 2013, 46, 043001. [Google Scholar] [CrossRef]
- Schobinger, D.; Gutfleisch, O.; Hinz, D.; Muller, K.H.; Schultz, L.; Martinek, G. High temperature magnetic properties of 2:17 Sm-Co magnets. J. Magn. Magn. Mater. 2002, 242, 1347–1349. [Google Scholar] [CrossRef]
- Al-Omari, I.A.; Skomski, R.; Thomas, R.A.; Leslie-Pelecky, D.; Sellmyer, D.J. High-temperature magnetic properties of mechanically alloyed SmCo5 and YCo5 magnets. IEEE Trans. Magn. 2001, 37, 2534–2536. [Google Scholar] [CrossRef]
- Zhang, C.Y.; Liu, Z.; Li, M.; Liu, L.; Li, T.Y.; Chen, R.J.; Lee, D.; Yan, A. The evolution of phase constitution and microstructure in iron-rich 2:17-type Sm-Co magnets with high magnetic performance. Sci. Rep. 2018, 8, 9103. [Google Scholar] [CrossRef]
- Sepehri-Amin, H.; Fischbacher, J.; Ohkubo, T.; Schrefl, T.; Gutfleisch, O.; Hono, K. Correlation of microchemistry of cell boundary phase and interface structure to the coercivity of Sm(Co0.784Fe0.100Cu0.088Zr0.028)7.19 sintered magnets. Acta Mater. 2017, 126, 1–10. [Google Scholar] [CrossRef]
- Chen, H.S.; Wang, Y.Q.; Yao, Y.; Qu, J.T.; Yun, F.; Li, Y.Q.; Ringer., S.P.; Yue, M.; Zheng, R.K. Attractive-domain-wall-pinning controlled Sm-Co magnets overcome the coercivity-remanence trade-off. Acta Mater. 2019, 164, 196–206. [Google Scholar] [CrossRef]
- Zhu, G.J.; Lou, L.; Song, W.P.; Zhang, Q.; Hua, Y.X.; Huang, G.W.; Li, X.H.; Zhang, X.Y. Development of crystallography texture in SmCo7/α-Fe nanocomposite magnets prepared by high-pressure thermal compression. J. Alloys Compd. 2018, 750, 414–419. [Google Scholar] [CrossRef]
- Urzhumtsev, A.; Maltseva, V.; Volegov, A. Magnetization reversal processes in sintered permanent magnets Sm(Co, Fe, Zr, Cu)z. J. Magn. Magn. Mater. 2022, 551, 169143. [Google Scholar] [CrossRef]
- Cao, J.; Zhang, T.L.; Xu, H.; Liu, J.H.; Hu, M.Y.; Xi, L.L.; Wang, H.; Jiang, C.B. Exploring microstructural origin of squareness-coercivity trad-off in iron-rich Sm-Co-Fe-Cu-Zr magnets. Scr. Mater. 2022, 209, 114418. [Google Scholar] [CrossRef]
- Yao, Q.; Liu, W.; Zhao, X.G.; Zhang, Z.D. Structure and magnetic properties of Cu-doped SmCo6.7-xCuxCr0.3 magnets. J. Appl. Phys. 2007, 102, 093905. [Google Scholar] [CrossRef]
- Shang, Z.F.; Zhang, D.T.; Xie, Z.H.; Wang, Y.Q.; Haseeb, M.; Qiao, P.B.; Liu, W.Q.; Yue, M. Effects of copper and zirconium contents on microstructure and magnetic properties of Sm(Co,Fe,Cu,Zr)z magnets with high iron content. J. Rare Earths 2021, 39, 160–166. [Google Scholar] [CrossRef]
- Téllez-Blanco, J.C.; Grössinger, R.; Turtelli, R.S. Structure and magnetic properties of SmCo5-xCux alloys. J. Alloys Compd. 1998, 281, 1–5. [Google Scholar] [CrossRef]
- Horiuchi, Y.; Hagiwara, M.; Okamoto, K.; Kobayashi, T. Effects of solution treated temperature on the structural and magnetic properties of iron-rich Sm(CoFeCuZr)z sintered magnet. IEEE Trans. Magn. 2013, 49, 3221–3224. [Google Scholar] [CrossRef]
- Horiuchi, Y.; Hagiwara, M.; Endo, M.; Sanada, N.; Sakurada, S. Influence of intermediate-heat treatment on the structure and magnetic properties of iron-rich Sm(CoFeCuZr)z sintered magnets. J. Appl. Phys. 2015, 117, 17C704.1–17C704.4. [Google Scholar] [CrossRef]
- Wang, Y.Q.; Yue, M.; Wu, D.; Zhang, D.T.; Liu, W.Q.; Zhang, H.G.; Du, Y.H. Effect of Cu redistribution in grain boundary on magnetic properties of Sm(Co0.665Fe0.25Cu0.06Zr0.025)7 permanent magnets. J. Alloys Compd. 2018, 741, 495–500. [Google Scholar] [CrossRef]
- Xu, C.; Wang, H.; Liu, B.J.; Xu, H.; Zhang, T.L.; Liu, J.H.; Jiang, C.B. The formation mechanism of 1:5H phase in Sm(Co,Fe,Cu,Zr)z melt-spun ribbons with high iron content. J. Magn. Magn. Mater. 2020, 496, 165939. [Google Scholar] [CrossRef]
- Guo, Y.Q.; Li, W.; Feng, W.C. Structural stability and magnetic properties of SmCo7-xGax. Appl. Phys. Lett. 2005, 86, 192513. [Google Scholar] [CrossRef]
- Chang, H.W.; Huang, S.T.; Chang, C.W. Effect of C addition on the magnetic properties, phase evolution, and microstructure of melt-spun SmCo7−xHfx (x = 0.1~0.3) ribbons. Solid State Commun. 2008, 147, 69–73. [Google Scholar] [CrossRef]
- Yuan, Y.; Yi, J.H.; Borzone, G.; Watson, A. Thermodynamic modeling of the Co-Sm system. Calphad 2011, 35, 416. [Google Scholar] [CrossRef]
- Dai, F.L.; Liu, P.P.; Luo, L.; Chen, D.K.; Yao, Q.R.; Wang, J.; Rao, G.H.; Zhou, H.Y. Experimental investigation and thermodynamic modeling of the Sm-Co-Cu ternary system. Calphad 2022. submitted. [Google Scholar]
- Cao, J.; Zhang, T.; Liu, J.; Xu, H.; Jiang, C. Grain boundary optimization induced substantial squareness enhancement and high performance in iron-rich Sm-Co-Fe-Cu-Zr magnets. J. Mater. Sci. Tech. 2021, 85, 56–61. [Google Scholar] [CrossRef]
- Xia, W.; Zhang, T.L.; Liu, J.H.; Dong, Y.; Wang, H.; Jiang, C.B. Influence of the final heat treatment temperature on the magnetic property losses of Sm(Co,Fe,Cu,Zr)z high temperature magnets. J. Magn. Magn. Mater. 2021, 528, 167763. [Google Scholar] [CrossRef]
- Feng, D.Y.; Liu, Z.W.; Zheng, Z.G.; Zeng, D.C.; Zhang, G.Q. The structure, anisotropy and coercivity of rapidly quenched TbCu7-type SmCo7−xZrx alloys and the effects of post-treatments. J. Magn. Magn. Mater. 2013, 347, 18–25. [Google Scholar] [CrossRef]









| Sm12Co88−xCux Alloys | x | Lattice Parameters | Volume Fractions | ||||||||
|---|---|---|---|---|---|---|---|---|---|---|---|
| Sm2Co17 | SmCo7 | Sm2Co17 | Sm(Co, Cu)5 | Sm2Co7 | SmCo7 | ||||||
| a (Å) | c (Å) | Volume (Å3) | a (Å) | c (Å) | Volume (Å3) (Å3) | (%) | (%) | (%) | (%) | ||
| As cast alloys | 0 | 8.400 (8) | 12.196 (2) | 745.417 (2) | — | — | — | 100 | — | — | — |
| 2 | 8.406 (4) | 12.211 (2) | 747.321 (6) | — | — | — | 88.7 | 2.3 | 9.0 | — | |
| 4 | 8.408 (3) | 12.199 (4) | 746.931 (9) | — | — | — | 85.2 | 14.8 | — | — | |
| 6 | 8.426 (5) | 12.223 (0) | 751.626 (2) | — | — | — | 81.5 | 18.5 | — | — | |
| 8 | 8.443 (1) | 12.234 (2) | 755.958 (6) | — | — | — | 79.3 | 21.7 | — | — | |
| 10 | 8.445 (9) | 12.239 (3) | 756.100 (0) | — | — | — | 78.2 | 22.8 | — | — | |
| Melt-spun ribbons | 0 | — | — | — | 4.857 (8) | 4.069 (9) | 83.173 (8) | — | — | — | 100 |
| 2 | — | — | — | 4.905 (6) | 4.047 (6) | 84.355 (0) | — | — | — | 100 | |
| 4 | — | — | — | 4.847 (7) | 4.080 (6) | 83.048 (5) | — | — | — | 100 | |
| 6 | — | — | — | 4.880 (1) | 4.067 (6) | 83.895 (4) | — | — | — | 100 | |
| 8 | — | — | — | 4.871 (7) | 4.076 (5) | 83.789 (3) | — | — | — | 100 | |
| 10 | — | — | — | 4.872 (9) | 4.070 (7) | 83.711 (4) | — | — | — | 100 | |
| Melt-spun ribbons annealed at 1023 K | 0 | — | — | — | 4.867 (2) | 4.067 (6) | 83.450 (2) | — | — | — | 100 |
| 2 | — | — | — | 4.905 (4) | 4.047 (9) | 84.353 (3) | — | — | — | 100 | |
| 4 | — | — | — | 4.870 (0) | 4.068 (5) | 83.565 (4) | — | — | — | 100 | |
| 6 | — | — | — | 4.868 (7) | 4.068 (3) | 83.515 (7) | — | — | — | 100 | |
| 8 | — | — | — | 4.912 (8) | 4.066 (2) | 84.991 (1) | — | — | — | 100 | |
| 10 | — | — | — | 4.873 (6) | 4.070 (5) | 83.729 (6) | — | — | — | 100 | |
| Melt-spun ribbons annealed at 1123 K and 673 K | 0 | 8.408 (2) | 12.200 (7) | 746.992 (6) | — | — | — | 100 | — | — | — |
| 2 | 8.416 (4) | 12.208 (3) | 748.920 (2) | — | — | — | 100 | — | — | — | |
| 4 | 8.401 (6) | 12.217 (6) | 746.866 (6) | — | — | — | 95.1 | 4.9 | — | — | |
| 6 | 8.410 (2) | 12.210 (4) | 747.948 (4) | — | — | — | 93.4 | 6.6 | — | — | |
| 8 | 8.428 (4) | 12.222 (8) | 751.961 (7) | — | — | — | 88.6 | 11.4 | — | — | |
| 10 | 8.435 (4) | 12.223 (9) | 752.855 (4) | — | — | — | 84.2 | 15.8 | — | — | |
| Sm12Co88−xCux As-Cast Alloys (at.%) | Composition Measured by EDS (at.%) | Phase Identified by XRD | |||
|---|---|---|---|---|---|
| Sm | Co | Cu | Phase | ||
| x = 0 | 20.13 | 78.87 | 0 | Sm5Co19 | Sm5Co19 |
| 11.23 | 88.77 | 0 | Sm2Co17 | Sm2Co17 | |
| x = 2 | 21.58 | 77.19 | 1.23 | Sm2Co7 | Sm2Co7 |
| 14.16 | 84.19 | 1.65 | Sm(Co, Cu)5 | Sm(Co, Cu)5 | |
| 10.69 | 88.18 | 1.12 | Sm2Co17 | Sm2Co17 | |
| x = 4 | 15.78 | 80.40 | 3.82 | Sm(Co, Cu)5 | Sm(Co, Cu)5 |
| 11.62 | 85.65 | 2.73 | Sm2Co17 | Sm2Co17 | |
| x = 6 | 15.78 | 79.27 | 4.98 | Sm(Co, Cu)5 | Sm(Co, Cu)5 |
| 11.05 | 83.63 | 5.32 | Sm2Co17 | Sm2Co17 | |
| x = 8 | 16.23 | 76.65 | 7.12 | Sm(Co, Cu)5 | Sm(Co, Cu)5 |
| 11.39 | 82.34 | 6.27 | Sm2Co17 | Sm2Co17 | |
| x = 10 | 16.32 | 75.22 | 8.46 | Sm(Co, Cu)5 | Sm(Co, Cu)5 |
| 11.22 | 81.65 | 7.13 | Sm2Co17 | Sm2Co17 | |
| Sm12Co88−xCux Ribbons | x | Br (kGs) | Hcj (kOe) | (BH)max (MGOe) |
|---|---|---|---|---|
| Melt-spun ribbons | 0 | 4.06 | 0.57 | 0.43 |
| 2 | 3.58 | 0.68 | 0.46 | |
| 4 | 4.41 | 0.62 | 0.58 | |
| 6 | 4.58 | 1.81 | 1.34 | |
| 8 | 4.67 | 1.37 | 1.14 | |
| 10 | 5.58 | 2.70 | 2.81 | |
| Melt-spun ribbons annealed at 1023 K | 0 | 5.50 | 0.99 | 1.05 |
| 2 | 6.91 | 2.28 | 3.86 | |
| 4 | 6.33 | 1.27 | 1.68 | |
| 6 | 5.63 | 1.21 | 1.52 | |
| 8 | 5.59 | 1.67 | 2.19 | |
| 10 | 5.34 | 2.03 | 2.44 | |
| Melt-spun ribbons annealed at 1123 K and 673 K | 0 | 4.06 | 0.54 | 0.47 |
| 2 | 4.12 | 0.60 | 0.53 | |
| 4 | 5.61 | 0.93 | 0.94 | |
| 6 | 6.82 | 2.98 | 5.88 | |
| 8 | 6.76 | 5.20 | 6.85 | |
| 10 | 6.70 | 4.77 | 6.72 |
Publisher’s Note: MDPI stays neutral with regard to jurisdictional claims in published maps and institutional affiliations. |
© 2022 by the authors. Licensee MDPI, Basel, Switzerland. This article is an open access article distributed under the terms and conditions of the Creative Commons Attribution (CC BY) license (https://creativecommons.org/licenses/by/4.0/).
Share and Cite
Dai, F.; Liu, P.; Luo, L.; Chen, D.; Yao, Q.; Wang, J. Effect of Cu Substitution and Heat Treatment on Phase Formation and Magnetic Properties of Sm12Co88−xCux Melt-Spun Ribbons. Materials 2022, 15, 4494. https://doi.org/10.3390/ma15134494
Dai F, Liu P, Luo L, Chen D, Yao Q, Wang J. Effect of Cu Substitution and Heat Treatment on Phase Formation and Magnetic Properties of Sm12Co88−xCux Melt-Spun Ribbons. Materials. 2022; 15(13):4494. https://doi.org/10.3390/ma15134494
Chicago/Turabian StyleDai, Feilong, Peipei Liu, Lin Luo, Dekang Chen, Qingrong Yao, and Jiang Wang. 2022. "Effect of Cu Substitution and Heat Treatment on Phase Formation and Magnetic Properties of Sm12Co88−xCux Melt-Spun Ribbons" Materials 15, no. 13: 4494. https://doi.org/10.3390/ma15134494
APA StyleDai, F., Liu, P., Luo, L., Chen, D., Yao, Q., & Wang, J. (2022). Effect of Cu Substitution and Heat Treatment on Phase Formation and Magnetic Properties of Sm12Co88−xCux Melt-Spun Ribbons. Materials, 15(13), 4494. https://doi.org/10.3390/ma15134494
