XPS Study in BiFeO3 Surface Modified by Argon Etching
Abstract
:1. Introduction
2. Experimental
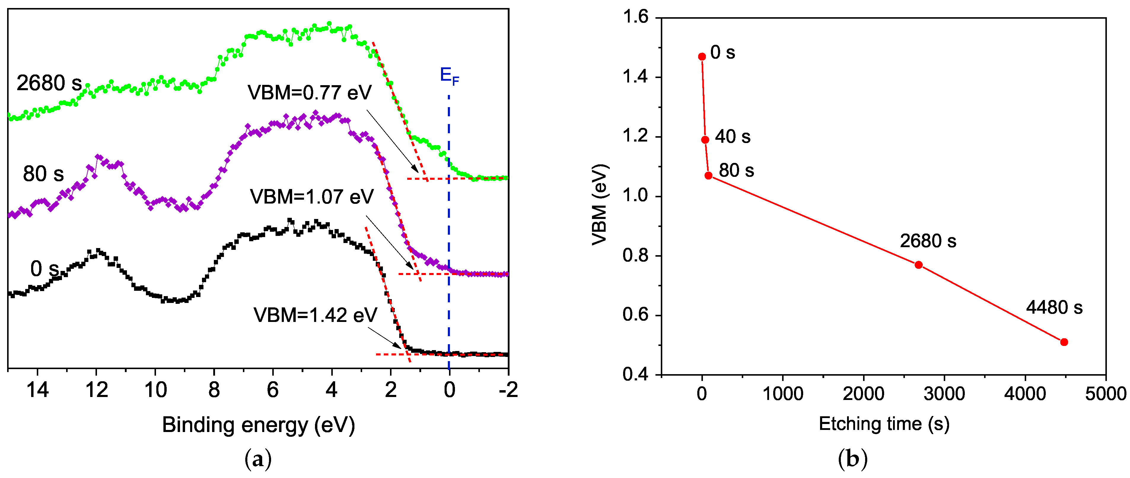
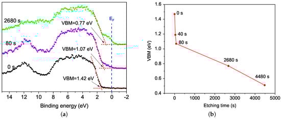
3. Results and Discussion
3.1. Structural Analysis
3.2. Quantitative Atomic Composition
4. Conclusions
Supplementary Materials
Author Contributions
Funding
Institutional Review Board Statement
Informed Consent Statement
Data Availability Statement
Acknowledgments
Conflicts of Interest
Abbreviations
| BFO | Bismuth ferrite- BiFeO |
| VB | Valence band |
| VBM | Valence band maximum |
References
- Eerenstein, W.; Mathur, N.; Scott, J.F. Multiferroic and magnetoelectric materials. Nature 2006, 442, 759–765. [Google Scholar] [CrossRef] [PubMed]
- Fiebig, M.; Lottermoser, T.; Meier, D.; Trassin, M. The evolution of multiferroics. Nat. Rev. Mater. 2016, 1, 16046. [Google Scholar] [CrossRef]
- Cheong, S.W.; Mostovoy, M. Multiferroics: A magnetic twist for ferroelectricity. Nat. Mater. 2007, 6, 13–20. [Google Scholar] [CrossRef] [Green Version]
- Mehta, K.; Virkar, A.V. Fracture mechanisms in ferroelectric-ferroelastic lead zirconate titanate (Zr: Ti = 0.54: 0.46) ceramics. J. Am. Ceram. Soc. 1990, 73, 567–574. [Google Scholar] [CrossRef]
- Palai, R.; Katiyar, R.; Schmid, H.; Tissot, P.; Clark, S.; Robertson, J.; Redfern, S.; Catalan, G.; Scott, J. β phase and γ-β metal-insulator transition in multiferroic BiFeO3. Phys. Rev. B 2008, 77, 014110. [Google Scholar] [CrossRef] [Green Version]
- Zhang, F.; Zeng, X.; Bi, D.; Guo, K.; Yao, Y.; Lu, S. Dielectric, ferroelectric, and magnetic properties of Sm-doped BiFeO3 ceramics prepared by a modified solid-state-reaction method. Materials 2018, 11, 2208. [Google Scholar] [CrossRef] [Green Version]
- Ramirez, F.E.N.; Pasca, G.A.C.; Souza, J.A. Possible misleading interpretations on magnetic and transport properties in BiFeO3 nanoparticles caused by impurity phase. Phys. Lett. A 2015, 379, 1549–1553. [Google Scholar] [CrossRef]
- Maurya, D.; Sardarinejad, A.; Alameh, K. Recent developments in RF magnetron sputtered thin films for pH sensing applications—An overview. Coatings 2014, 4, 756–771. [Google Scholar] [CrossRef]
- Wang, J.; Neaton, J.; Zheng, H.; Nagarajan, V.; Ogale, S.; Liu, B.; Viehland, D.; Vaithyanathan, V.; Schlom, D.; Waghmare, U.; et al. Epitaxial BiFeO3 multiferroic thin film heterostructures. Science 2003, 299, 1719–1722. [Google Scholar] [CrossRef]
- Chang, H.; Yuan, F.; Tien, S.; Li, P.; Wang, C.; Tu, C.; Jen, S. High quality multiferroic BiFeO3 films prepared by pulsed laser deposition on glass substrates at reduced temperatures. J. Appl. Phys. 2013, 113, 17D917. [Google Scholar] [CrossRef]
- Xu, T.; Kan, Y.; Jin, Y.; Lu, X.; Wu, H.; He, J.; Lu, X.; Zhu, W.; Huang, F.; Zhu, J. Effect of substrates on magnetization of BiFeO3 films. J. Appl. Phys. 2015, 118, 075303. [Google Scholar] [CrossRef]
- Gomez-Iriarte, G.A.; Labre, C.; de Oliveira, L.A.S.; Sinnecker, J.P. Pure phase BiFeO3 thin films sputtered over Si: A new route towards high magnetization. J. Magn. Magn. Mater. 2018, 460, 83–88. [Google Scholar] [CrossRef] [Green Version]
- Wang, P.W.; Guttag, M.; Tu, C.S. Surface modification of multiferroic BiFeO3 ceramic by argon sputtering. J. Surf. Eng. Mater. Adv. Technol. 2014, 4, 295–308. [Google Scholar]
- Giraldo, D.; Almodóvar, P.; López, M.; Rodríguez-Aguado, E.; Rodríguez-Castellón, E.; Galdámez, A.; Álvarez-Serrano, I. Exploring multiferroicity in BiFeO3-NaNbO3 thermistor electroceramics. J. Eur. Ceram. Soc. 2021, 41, 7069–7076. [Google Scholar] [CrossRef]
- Suresh, P.; Srinath, S. Effect of synthesis route on the multiferroic properties of BiFeO3: A comparative study between solid state and sol–gel methods. J. Alloys Compd. 2015, 649, 843–850. [Google Scholar] [CrossRef]
- Young, R.A. The Rietveld Method; International Union of Crystallography: New York, NY, USA, 1993; Volume 5. [Google Scholar]
- Rodríguez-Carvajal, J. Recent advances in magnetic structure determination by neutron powder diffraction. Phys. Condens. Matter 1993, 192, 55–69. [Google Scholar] [CrossRef]
- De Oliveira, L.A.S.; Pirota, K.R. Synthesis, structural and magnetic characterization of highly ordered single crystalline BiFeO3 nanotubes. Mater. Res. Bull. 2013, 48, 1593–1597. [Google Scholar] [CrossRef]
- Yamashita, T.; Hayes, P. Analysis of XPS spectra of Fe2+ and Fe3+ ions in oxide materials. Appl. Surf. Sci. 2008, 254, 2441–2449. [Google Scholar] [CrossRef]
- Pélisson-Schecker, A.; Hug, H.; Patscheider, J. Charge referencing issues in XPS of insulators as evidenced in the case of Al-Si-N thin films. Surf. Interface Anal. 2012, 44, 29–36. [Google Scholar] [CrossRef]
- Greczynski, G.; Hultman, L. The same chemical state of carbon gives rise to two peaks in X-ray photoelectron spectroscopy. Sci. Rep. 2021, 11, 11195. [Google Scholar] [CrossRef]
- Mansour, A.; Brizzolara, R.A. Characterization of the surface of FeO powder by XPS. Surf. Sci. Spectra 1996, 4, 345–350. [Google Scholar] [CrossRef]
- Militello, M.C.; Simko, S.J. Palladium oxide (PdO) by XPS. Surf. Sci. Spectra 1994, 3, 395–401. [Google Scholar] [CrossRef]
- Vasquez, R.P. Cu2O by XPS. Surf. Sci. Spectra 1998, 5, 257–261. [Google Scholar] [CrossRef]
- Yuan, P.; Li, D.; Wu, L.; Shi, L. The magnetic and structural properties of BiFeO3-x (0 < x < 3) thin films with controllable oxygen vacancy. Ceram. Int. 2019, 45, 12594–12598. [Google Scholar]
- Seah, M.P.; Briggs, D. Practical Surface Analysis: Auger and X-ray Photoelectron Spectroscopy; John Wiley & Sons: Chichester, UK, 1987. [Google Scholar]
- Briggs, D. Surface Analysis of Polymers by XPS and Static SIMS; Cambridge University Press: Cambridge, UK, 1998; pp. 112–113. [Google Scholar]
- Debies, T.P.; Rabalais, J.W. X-ray photoelectron spectra and electronic structure of Bi2X3 (X=O, S, Se, Te). Chem. Phys. 1977, 20, 277–283. [Google Scholar] [CrossRef]
- Schuhl, Y.; Baussart, H.; Delobel, R.; Le Bras, M.; Leroy, J.; Gengembre, L.; Grimblot, J. Study of mixed-oxide catalysts containing bismuth, vanadium and antimony. Preparation, phase composition, spectroscopic characterization and catalytic oxidation of propene. J. Chem. Soc. Faraday Trans. Phys. Chem. Condens. Phases 1983, 79, 2055–2069. [Google Scholar] [CrossRef]
- Mazumdar, D.; Knut, R.; Thöle, F.; Gorgoi, M.; Faleev, S.; Mryasov, O.N.; Shelke, V.; Ederer, C.; Spaldin, N.A.; Gupta, A.; et al. The valence band electronic structure of rhombohedral-like and tetragonal-like BiFeO3 thin films from hard X-ray photoelectron spectroscopy and first-principles theory. J. Electron Spectrosc. Relat. Phenom. 2016, 208, 63–66. [Google Scholar] [CrossRef]
- Ettema, A.R.H.F.; Haas, C. An X-ray photoemission spectroscopy study of interlayer charge transfer in some misfit layer compounds. J. Phys. Condens. Matter 1993, 5, 3817. [Google Scholar] [CrossRef]
- Naumkin, A.V.; Kraut-Vass, A.; Gaarenstroom, S.W.; Powell, C.J. NIST X-ray Photoelectron Spectroscopy Database. 2012. Available online: https://srdata.nist.gov/xps/ (accessed on 15 October 2021).
- Briggs, D.; Beamson, G. XPS studies of the oxygen 1s and 2s levels in a wide range of functional polymers. Anal. Chem. 1993, 65, 1517–1523. [Google Scholar] [CrossRef]
- Fujii, T.; De Groot, F.M.F.; Sawatzky, G.A.; Voogt, F.C.; Hibma, T.; Okada, K. In situ XPS analysis of various iron oxide films grown by NO2-assisted molecular-beam epitaxy. Phys. Rev. B 1999, 59, 3195. [Google Scholar] [CrossRef] [Green Version]
- Yang, T.; Wei, J.; Guo, Y.; Lv, Z.; Xu, Z.; Cheng, Z. Manipulation of oxygen vacancy for high photovoltaic output in bismuth ferrite films. ACS Appl. Mater. Interfaces 2019, 11, 23372–23381. [Google Scholar] [CrossRef] [PubMed]
- Lu, H.; Hao, Q.; Chen, T.; Zhang, L.; Chen, D.; Ma, C.; Yao, W.; Zhu, Y. A high-performance Bi2O3/Bi2SiO5 pn heterojunction photocatalyst induced by phase transition of Bi2O3. Appl. Catal. Environ. 2018, 237, 59–67. [Google Scholar] [CrossRef]
- Ibrahim, S.; Bonnet, P.; Sarakha, M.; Caperaa, C.; Monier, G.; Bousquet, A. Tailoring the structural and optical properties of bismuth oxide films deposited by reactive magnetron sputtering for photocatalytic application. Mater. Chem. Phys. 2020, 243, 122580. [Google Scholar] [CrossRef]
- Gupta, R.; Sen, S. Calculation of multiplet structure of core p-vacancy levels. Phys. Rev. B 1974, 10, 71. [Google Scholar] [CrossRef]
- Grosvenor, A.; Kobe, B.; Biesinger, M.; McIntyre, N. Investigation of multiplet splitting of Fe 2p XPS spectra and bonding in iron compounds. Surf. Interface Anal. 2004, 36, 1564–1574. [Google Scholar] [CrossRef]
- Bhargava, G.; Gouzman, I.; Chun, C.; Ramanarayanan, T.; Bernasek, S. Characterization of the “native” surface thin film on pure polycrystalline iron: A high resolution XPS and TEM study. Appl. Surf. Sci. 2007, 253, 4322–4329. [Google Scholar] [CrossRef]
- Kowalczyk, S.; Ley, L.; McFeely, F.; Shirley, D. Multiplet splitting of the manganese 2p and 3p levels in MnF2 single crystals. Phys. Rev. B 1975, 11, 1721. [Google Scholar] [CrossRef] [Green Version]
- Lin, T.C.; Seshadri, G.; Kelber, J.A. A consistent method for quantitative XPS peak analysis of thin oxide films on clean polycrystalline iron surfaces. Appl. Surf. Sci. 1997, 119, 83–92. [Google Scholar] [CrossRef]
- Balakrishnan, R.; Dixit, A.; Rao, M.R.; Naik, R. Influence of Ca doping on X-ray photoelectron core-level spectra of magnetoelectric bulk BiFeO3. Surf. Interface Anal. 2021, 53, 798–807. [Google Scholar] [CrossRef]
- Wilson, D.; Langell, M. XPS analysis of oleylamine/oleic acid capped Fe3O4 nanoparticles as a function of temperature. Appl. Surf. Sci. 2014, 303, 6–13. [Google Scholar] [CrossRef]
- Catalan, G.; Scott, J.F. Physics and applications of bismuth ferrite. Adv. Mater. 2009, 21, 2463–2485. [Google Scholar] [CrossRef]
- Wang, J.; Luo, L.; Han, C.; Yun, R.; Tang, X.; Zhu, Y.; Nie, Z.; Zhao, W.; Feng, Z. The microstructure, electric, optical and photovoltaic properties of BiFeO3 thin films prepared by low temperature sol–gel method. Materials 2019, 12, 1444. [Google Scholar] [CrossRef] [PubMed] [Green Version]
- Chen, D.; Niu, F.; Qin, L.; Wang, S.; Zhang, N.; Huang, Y. Defective BiFeO3 with surface oxygen vacancies: Facile synthesis and mechanism insight into photocatalytic performance. Sol. Energy Mater. Sol. Cells 2017, 171, 24–32. [Google Scholar] [CrossRef]
- Zhang, R.; Liu, S.; Kong, F.; Tong, J.; Ruan, L.; Duan, Q.; Zhou, J.; Zhang, X. α-Fe2O3/BiFeO3 composites as visible-active photocatalysts and their optical response mechanism. J. Phys. Chem. Solids 2020, 141, 109329. [Google Scholar] [CrossRef]
- Giampietri, A.; Drera, G.; Píš, I.; Magnano, E.; Sangaletti, L. Tracking the amorphous to epitaxial transition in RF-sputtered cubic BFO-STO heterojunctions by means of X-ray photoelectron diffraction. Appl. Phys. Lett. 2016, 109, 132903. [Google Scholar] [CrossRef]
- Terada, N.; Widodo, R.; Itoh, K.; Kong, S.; Kashiwabara, H.; Okuda, T.; Obara, K.; Niki, S.; Sakurai, K.; Yamada, A.; et al. Characterization of interface nature and band alignment in CBD-CdS/Cu(In, Ga)Se2 bi-layer structure by photoemission and inverse photoemission spectroscopy. Thin Solid Film. 2005, 480, 183–187. [Google Scholar] [CrossRef]
- Huang, H.; Dai, B.; Wang, W.; Lu, C.; Kou, J.; Ni, Y.; Wang, L.; Xu, Z. Oriented built-in electric field introduced by surface gradient diffusion doping for enhanced photocatalytic H2 evolution in CdS nanorods. Nano Lett. 2017, 17, 3803–3808. [Google Scholar] [CrossRef]
- Xie, F.; Gong, L.; Liu, X.; Tao, Y.; Zhang, W.; Chen, S.; Meng, H.; Chen, J. XPS studies on surface reduction of tungsten oxide nanowire film by Ar+ bombardment. J. Electron. Spectrosc. Relat. Phenom. 2012, 185, 112–118. [Google Scholar] [CrossRef]
- Liu, H.; Zeng, F.; Lin, Y.; Wang, G.; Pan, F. Correlation of oxygen vacancy variations to band gap changes in epitaxial ZnO thin films. Appl. Phys. Lett. 2013, 102, 181908. [Google Scholar] [CrossRef]
- Lewin, E.; Counsell, J.; Patscheider, J. Spectral artefacts post sputter-etching and how to cope with them—A case study of XPS on nitride-based coatings using monoatomic and cluster ion beams. Appl. Surf. Sci. 2018, 442, 487–500. [Google Scholar] [CrossRef]
- Liu, K.; Fan, H.; Ren, P.; Yang, C. Structural, electronic and optical properties of BiFeO3 studied by first-principles. J. Alloys Compd. 2011, 509, 1901–1905. [Google Scholar] [CrossRef]









| Fe Peak | Binding Energy (eV) |
|---|---|
| Fe | 709.6 |
| Fe | 710.1 |
| Fesat. | 713.9 |
| Fesat. | 718.6 |
| Fe | 723.1 |
| Fe | 723.6 |
| Fesat. | 727.8 |
| Fesat. | 731.6 |
| Fe | 707.9 |
| Fe | 720.9 |
Publisher’s Note: MDPI stays neutral with regard to jurisdictional claims in published maps and institutional affiliations. |
© 2022 by the authors. Licensee MDPI, Basel, Switzerland. This article is an open access article distributed under the terms and conditions of the Creative Commons Attribution (CC BY) license (https://creativecommons.org/licenses/by/4.0/).
Share and Cite
Gomez-Iriarte, G.A.; Pentón-Madrigal, A.; de Oliveira, L.A.S.; Sinnecker, J.P. XPS Study in BiFeO3 Surface Modified by Argon Etching. Materials 2022, 15, 4285. https://doi.org/10.3390/ma15124285
Gomez-Iriarte GA, Pentón-Madrigal A, de Oliveira LAS, Sinnecker JP. XPS Study in BiFeO3 Surface Modified by Argon Etching. Materials. 2022; 15(12):4285. https://doi.org/10.3390/ma15124285
Chicago/Turabian StyleGomez-Iriarte, Grecia Alejandra, Arbelio Pentón-Madrigal, Luiz Augusto Sousa de Oliveira, and João Paulo Sinnecker. 2022. "XPS Study in BiFeO3 Surface Modified by Argon Etching" Materials 15, no. 12: 4285. https://doi.org/10.3390/ma15124285
APA StyleGomez-Iriarte, G. A., Pentón-Madrigal, A., de Oliveira, L. A. S., & Sinnecker, J. P. (2022). XPS Study in BiFeO3 Surface Modified by Argon Etching. Materials, 15(12), 4285. https://doi.org/10.3390/ma15124285

