Experimental-Numerical Study on the Flexural Ultimate Capacity of Prestressed Concrete Box Girders Subjected to Collision
Abstract
:1. Introduction
2. Engineering Situations
3. Failure Test of the Undamaged Girder
3.1. Calculation of the Flexural Capacity of the Undamaged Box Girder
3.2. Loading Scheme
3.3. Establishment of the Refined Model
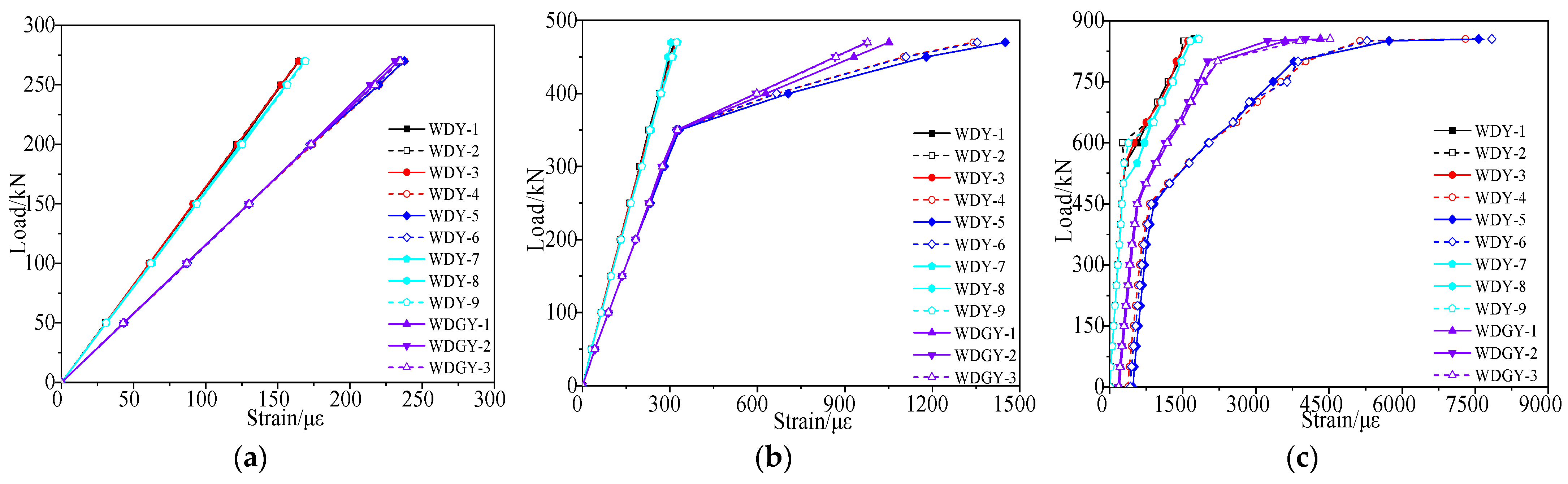
3.4. Test Results
3.5. Ultimate Flexural Capacity of the Undamaged Box Girder
4. Failure Test of the Damaged Girder
4.1. Calculation of the Flexural Capacity of the Damaged Box Girder
4.2. Loading Scheme
4.3. Establishment of the Refined Finite Element Model
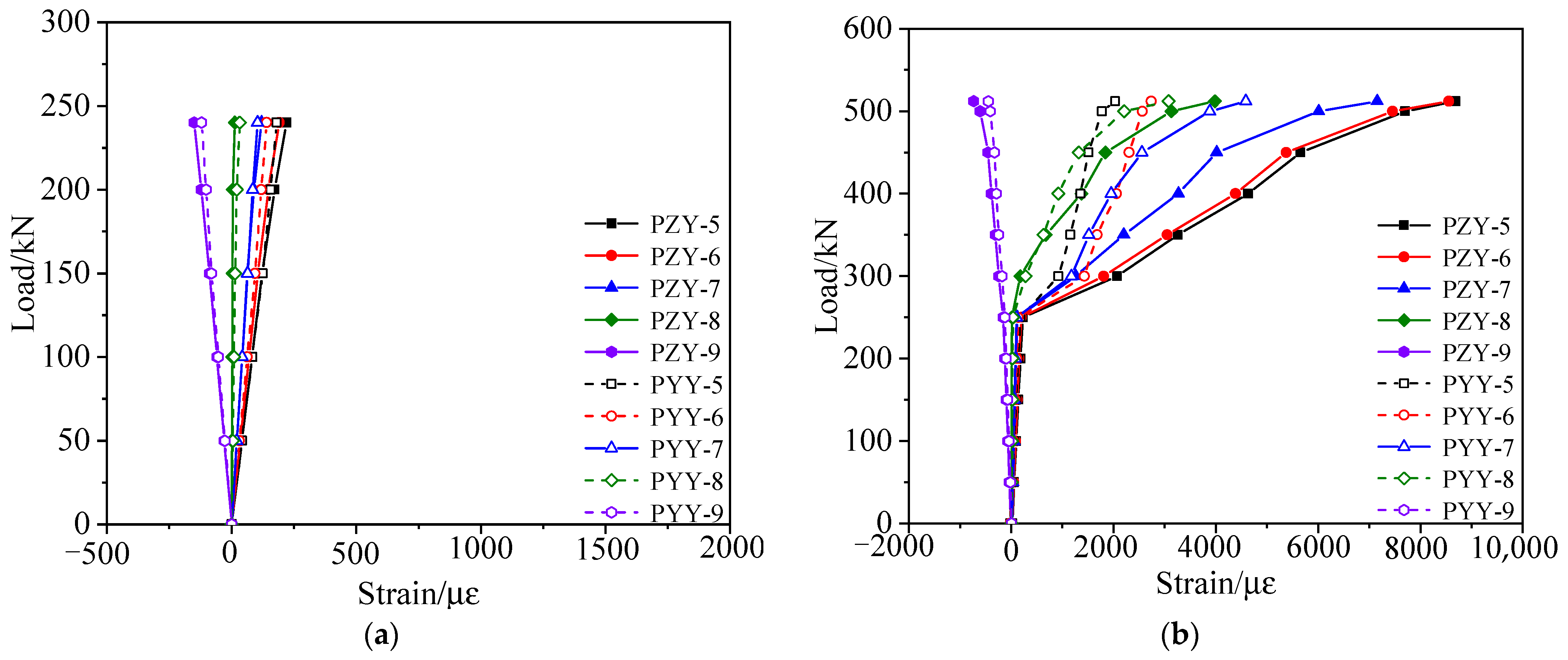
4.4. Test Results
4.5. Ultimate Flexural Capacity of the Damaged Box Girder
5. Comparative Analysis
5.1. Flexural Stiffness
5.2. Flexural Deformation
5.3. Stress
5.4. Crack Width
5.5. Traffic Load Capacity
6. Conclusions
- (1)
- Due to the pounding between a truck and the bridge, the bottom plate of the box girder was damaged, and several reinforcements and pretensioned strands were broken, which decreased the ultimate bearing capacity of the box girder. According to the limit state method, the theoretical bearing capacity of the damaged box girder was reduced by approximately 64%, which did not meet the operational requirements of the bridge and led to the demolition and replacement of the whole superstructure of the bridge.
- (2)
- The ultimate flexural bearing capacity of the undamaged and damaged box girders was obtained by destructive tests. It was proven that the ultimate bearing capacity of the undamaged box girder was distinctly higher than the theoretical results. Although the actual bearing capacity of the damaged box girder was reduced by approximately 33%, it could still meet the operational requirements, which means that the residual reinforcements and stands still provided considerable flexural loading capacity of the box girder.
- (3)
- Through the comparative analysis of damaged and undamaged box girders, the results showed that, compared with the undamaged box girder, the stiffness of the damaged box girder was reduced by 42.7% under the load combination of dead load, secondary loads and six-axle truck load, but the stress of concrete, the stress of steel bar, deformation and crack width were increased by 56.5%, 55%, 15.7%, 330%, respectively. Among these, the stress and deflection still met the requirements of the design specification. However, due to the partial strands and steel bars of the girder being broken by the reduction of the reinforcement rate and the degree of prestressing, converted into a type B prestressed concrete member, the result was an increase of crack width, which did not meet the requirements of the design specification.
- (4)
- Considering the measured material properties and the degree of damage, refinement finite element analysis resulted in a more credible bearing capacity than the theoretical analysis result. As the original superstructure of the bridge was a fabricated double-box girder, continuous, bridge, although one girder had serious damage, it still had the capacity to meet design requirements, because the transverse connection was in good condition. Repairing or strengthening the damaged span would have been more economic and reasonable than demolition and reconstruction of the whole superstructure of the bridge. However, there was no failure test verification for the repaired and strengthened girder, so a comparative failure test study will be conducted on the repaired and strengthened beam and the undamaged beams in the future.
Author Contributions
Funding
Institutional Review Board Statement
Informed Consent Statement
Data Availability Statement
Conflicts of Interest
References
- Russo, F.M.; Wipf, T.J.; Klaiber, F.W. Diagnostic load tests of a prestressed concrete bridge damaged by overheight vehicle impact. Transp. Res. Rec. 2000, 1696, 103–110. [Google Scholar] [CrossRef]
- He, Z.Q.; Li, Y.H.; Xu, T.; Liu, Z.; Ma, Z.J. Crack-based serviceability assessment of post-tensioned segmental concrete box-girder bridges. Structures 2021, 30, 1097–1108. [Google Scholar] [CrossRef]
- Bonopera, M.; Chang, K.C. Novel method for identifying residual prestress force in simply supported concrete girder-bridges. Adv. Struct. Eng. 2021, 24, 3238–3251. [Google Scholar] [CrossRef]
- Yang, J.; Hou, P.; Yang, C. Damage Identification Method of Box Girder Bridges Based on Distributed Long-Gauge Strain Influence Line under Moving Load. Sensors 2021, 21, 915. [Google Scholar] [CrossRef] [PubMed]
- Peng, L.; Zhao, Y.X.; Zhang, H.R. Flexural behavior and durability properties of recycled aggregate concrete (RAC) beams subjected to long-term loading and chloride attacks. Constr. Build. Mater. 2021, 277, 122277. [Google Scholar] [CrossRef]
- Yang, Y.X.; Qiao, C. Analysis on the Bearing Capacity of Old Highway Bridge in Heavy Hilly Areas. Appl. Mech. Mater. 2013, 343, 31–33. [Google Scholar] [CrossRef]
- Hu, C.W.; Luo, W.B.; Chen, S.C. Evaluation of bearing capacity of reinforced stone arch bridge based on static load test. Earth Environ. Sci. 2020, 546, 042056. [Google Scholar] [CrossRef]
- Martinelli, P.; Galli, A.; Barazzetti, L.; Colombo, M.; Felicetti, R.; Previtali, M.; Roncoroni, F.; Scola, M. Bearing capacity assessment of a XIV century arch bridge in Lecco (Italy). Int. J. Archit. Herit. 2017, 12, 237–256. [Google Scholar] [CrossRef]
- Sirisonthi, A.; Suparp, S.; Joyklad, P.; Floyd, R.W. Experimental study of the load-deformation behaviour of the precast post-tensioned continuous girder for straddle monorail: Full-scale load test under service and ultimate loading conditions. Case Stud. Constr. Mat. 2021, 15, e00666. [Google Scholar] [CrossRef]
- Murray, C.D.; Arancibia, M.D.; Okumus, P.; Hussair, Q. Destructive testing and computer modeling of a scale prestressed concrete I-girder bridge. Eng. Struct. 2019, 183, 195–205. [Google Scholar] [CrossRef]
- Šomodíková, M.; Lehký, D.; Doležel, J.; Novák, D. Modeling of degradation processes in concrete: Probabilistic lifetime and load-bearing capacity assessment of existing reinforced concrete bridges. Eng. Struct. 2016, 119, 49–60. [Google Scholar] [CrossRef]
- Duvnjak, I.; Damjanović, D.; Bartolac, M.; Smrkić, M.F.; Skender, A. Monitoring and diagnostic load testing of a damaged railway bridge. Front. Built Environ. 2019, 1696, 103–110. [Google Scholar] [CrossRef]
- Naser, A.F.; Wang, Z.L. Field Damage Inspection and Static Load Test Analysis of Jiamusi Highway Prestressed Concrete Bridge in China. Adv. Mater. Res. 2010, 163–167, 1147–1156. [Google Scholar] [CrossRef]
- Moses, F.; Lebet, J.P.; Bez, R. Applications of field testing to bridge evaluation. J. Struct. Eng. 1994, 120, 1745–1762. [Google Scholar] [CrossRef]
- Miller, R.A.; Aktan, A.E.; Shahrooz, B.M. Destructive testing of decommissioned concrete slab bridge. J. Struct. Eng. 1994, 120, 2176–2198. [Google Scholar] [CrossRef]
- Li, Y.; Wu, Q.F.; Yu, Z.J.; Liu, Y.Q. Destructive test study of the flexural load capacity of a full-scale reinforced concrete T-girder strengthened by externally prestressed CFRP plates. Case Stud. Constr. Mat. 2022, 16, e01035. [Google Scholar] [CrossRef]
- Zhang, J.R.; Peng, H.; Cai, C.S. Destructive Testing of a Decommissioned Reinforced Concrete Bridge. J. Bridge Eng. 2013, 18, 564–569. [Google Scholar] [CrossRef]
- Li, Y.; Zhang, J.Q.; Chen, Y.J.; Wu, L.P. Ultimate flexural capacity of a severely damaged reinforced concrete T-girder bridge. J. Bridge Eng. 2017, 22, 05017003. [Google Scholar] [CrossRef]
- Ministry of Transport of the People’s Republic of China. Specifications for Inspection and Evaluation of Load-Flexural Capacity of Highway Bridges; JTG/T G21-2011; Research Institute of Highway Ministry of Transport: Beijing, China, 2011. [Google Scholar]
- Ministry of Transport of the People’s Republic of China. Code for Design of Highway Reinforced Concrete and Prestressed Concrete Bridges and Culverts; JTG D62-2004; Zhongjiao Highway Planning and Design Institute: Beijing, China, 2004. [Google Scholar]
- Abaqus 6.13-1 [Computer Software]; Dassault Systèmes Simulia Corp.: Providence, RI, USA, 2013.
- Ministry of Housing and Urban-Rural Development of the People’s Republic of China. Code for Design of Concrete Structures; GB 50010-2010; China Academy of Building Sciences: Beijing, China, 2010. [Google Scholar]
- Ministry of Transport of the People’s Republic of China. Specifications for Design of Highway Reinforced Concrete and Prestressed Concrete Bridges and Culverts; JTG 3362-2018; CCCC Highway Consultants Co., Ltd.: Beijing, China, 2018. [Google Scholar]




























| Material | Type | Characteristics Value/MPa | Design Value/MPa | Measured Actual Value/MPa | |||
|---|---|---|---|---|---|---|---|
| Compressive Strength | Tensile Strength | Compressive Strength | Tensile Strength | Compressive Strength | Tensile Strength | ||
| C50 | / | 32.4 | 2.65 | 22.4 | 1.83 | 55.7 | / |
| HRB335 | d = 22 mm | 335 | 335 | 280 | 280 | / | 382 |
| R235 | d = 10 mm | 235 | 235 | 195 | 195 | / | 296 |
| 15 mm strand | 7-wirestrand | / | 1860 | 390 | 1320 | / | 1920 |
| ƒcd/MPa | ƒsd/MPa | ƒ′sd/MPa | ƒpd/MPa | As/mm2 | A′s/mm2 | Ap/mm2 | h0/mm | a′s/mm | x/mm |
|---|---|---|---|---|---|---|---|---|---|
| 22.4 | 280 | 280 | 1260 | 4181 | 2670 | 4726 | 1253 | 45 | 142.4 |
| Type | Precision | Amount | Function |
|---|---|---|---|
| HY-65B3000B strain sensor | 0.1 με | 50 | Measuring the strain of concrete |
| HY strain acquisition system | / | 1 | Collecting strain readings |
| HY-65050P deformation transducer | 0.001 mm | 15 | Measuring deformation |
| HY65R100 deformation transducer | 0.001 mm | 5 | Measuring deformation |
| HY65R010 deformation transducer | 0.01 mm | 8 | Measuring crack width |
| Strain sensor | 0.1 με | 40 | Measuring the strain of steel bars |
| DH3815N strain acquisition system | / | 1 | Collecting strain readings |
| Hydraulic jack | 200 T | 3 | Outputting pressure load |
| JMZX-3415 pressure sensor | 0.1 kN | 3 | Measuring pressure load |
| JMZX-3006 comprehensive tester | / | 3 | Collecting readings of pressure load |
| DH5922N bridge dynamic tester | 0.001 HZ | 1 | Collecting readings of fundamental frequency |
| Steel inspector | 1 mm | 1 | Scanning to determine the position of reinforcement and strand |
| Type | Yield Strength/MPa | Ultimate Tensile Strength/MPa | ||
|---|---|---|---|---|
| Nominal Stress | True Stress | Nominal Stress | True Stress | |
| Steel bar | 335 | 395 | 466 | 550 |
| Prestressed strand | 1322 | 1560 | 1576 | 1860 |
| Model | Unit Type | Mesh Amount | Mesh Size/mm |
|---|---|---|---|
| Concrete box girder | C3D8R | 20,533 | 120 |
| Steel bar | Truss | 18,065 | 240 |
| Prestressed strand | Truss | 810 | 240 |
| Number of Strands | /MPa | /MPa | /MPa | /MPa | /MPa | /MPa | /MPa |
|---|---|---|---|---|---|---|---|
| N1 | 1395 | 56.7 | 120.2 | 14.3 | 24.9 | 65.4 | 1113.5 |
| N2 | 1395 | 56.7 | 120.2 | 14.3 | 24.9 | 65.4 | 1113.5 |
| N3 | 1395 | 56.7 | 120.2 | 14.3 | 24.9 | 65.4 | 1113.5 |
| N4 | 1395 | 33.6 | 92.7 | 14.9 | 30.7 | 68.4 | 1154.7 |
| Bending Moment | Theoretical | Finite Element Analysis | Destructive Test | ||
|---|---|---|---|---|---|
| Value/kN·m | Value/kN·m | Ratio | Value/(kN·m) | Ratio | |
| Cracking moment | 6984 | 7272 | 1.04 | 7034 | 1.01 |
| Ultimate bending moment | 8442 | 13,831 | 1.64 | 13,500 | 1.60 |
| Member | ƒcd/MPa | ƒsd/MPa | ƒ′sd/MPa | ƒpd/MPa | As/mm2 | A′s/mm2 | Ap/mm2 | h0/mm | a′s/mm | x/mm |
|---|---|---|---|---|---|---|---|---|---|---|
| Damaged box girder | 22.4 | 280 | 280 | 1260 | 1140 | 2670 | 3475 | 1213 | 45 | 88.2 |
| Bending Moment | Theoretical | Finite Element Analysis | Destructive Test | ||
|---|---|---|---|---|---|
| Value/(kN·m) | Value/(kN·m) | Ratio | Value/(kN·m) | Ratio | |
| Ultimate bending moment | 5472 | 9657 | 1.76 | 8994 | 1.64 |
| Type of Truck | Action Effect | Safety Coefficient | ||||
|---|---|---|---|---|---|---|
| Ultimate Bearing Capacity of the Undamaged Box Girder | Ultimate Bearing Capacity of the Damaged Box Girder | |||||
| Bending Moment of the Dead Load | Bending Moment of Different Types of Trucks | Theoretical Prediction | According to The Destructive Test | Theoretical Prediction | According to the Destructive Test | |
| /kN·m | /kN·m | (8442 kN·m) | (13,500 kN·m) | (5472 kN·m) | (8994 kN·m) | |
| 1 | 2053 | 1720 | 3.71 | 6.66 | 1.99 | 4.04 |
| 2 | 2053 | 2301 | 2.78 | 4.97 | 1.48 | 3.02 |
| 3 | 2053 | 2947 | 2.17 | 3.88 | 1.16 | 2.36 |
Publisher’s Note: MDPI stays neutral with regard to jurisdictional claims in published maps and institutional affiliations. |
© 2022 by the authors. Licensee MDPI, Basel, Switzerland. This article is an open access article distributed under the terms and conditions of the Creative Commons Attribution (CC BY) license (https://creativecommons.org/licenses/by/4.0/).
Share and Cite
Li, Y.; Yu, Z.; Wu, Q.; Liu, Y.; Wang, S. Experimental-Numerical Study on the Flexural Ultimate Capacity of Prestressed Concrete Box Girders Subjected to Collision. Materials 2022, 15, 3949. https://doi.org/10.3390/ma15113949
Li Y, Yu Z, Wu Q, Liu Y, Wang S. Experimental-Numerical Study on the Flexural Ultimate Capacity of Prestressed Concrete Box Girders Subjected to Collision. Materials. 2022; 15(11):3949. https://doi.org/10.3390/ma15113949
Chicago/Turabian StyleLi, Yong, Zijie Yu, Qifan Wu, Yongqian Liu, and Shang Wang. 2022. "Experimental-Numerical Study on the Flexural Ultimate Capacity of Prestressed Concrete Box Girders Subjected to Collision" Materials 15, no. 11: 3949. https://doi.org/10.3390/ma15113949
APA StyleLi, Y., Yu, Z., Wu, Q., Liu, Y., & Wang, S. (2022). Experimental-Numerical Study on the Flexural Ultimate Capacity of Prestressed Concrete Box Girders Subjected to Collision. Materials, 15(11), 3949. https://doi.org/10.3390/ma15113949
