An Enhanced Lemaitre Model and Fracture Map for Cr5 Alloy Steel during High-Temperature Forming Process
Abstract
:1. Introduction
2. Materials and Test Methods
2.1. Materials and Test Procedures
2.2. Analysis of Test Results
3. Establishment of High-Temperature Damage Model of Cr5 Alloy Steel
3.1. Traditional Lemaitre Damage Model
3.2. Modification of Lemaitre Damage Model
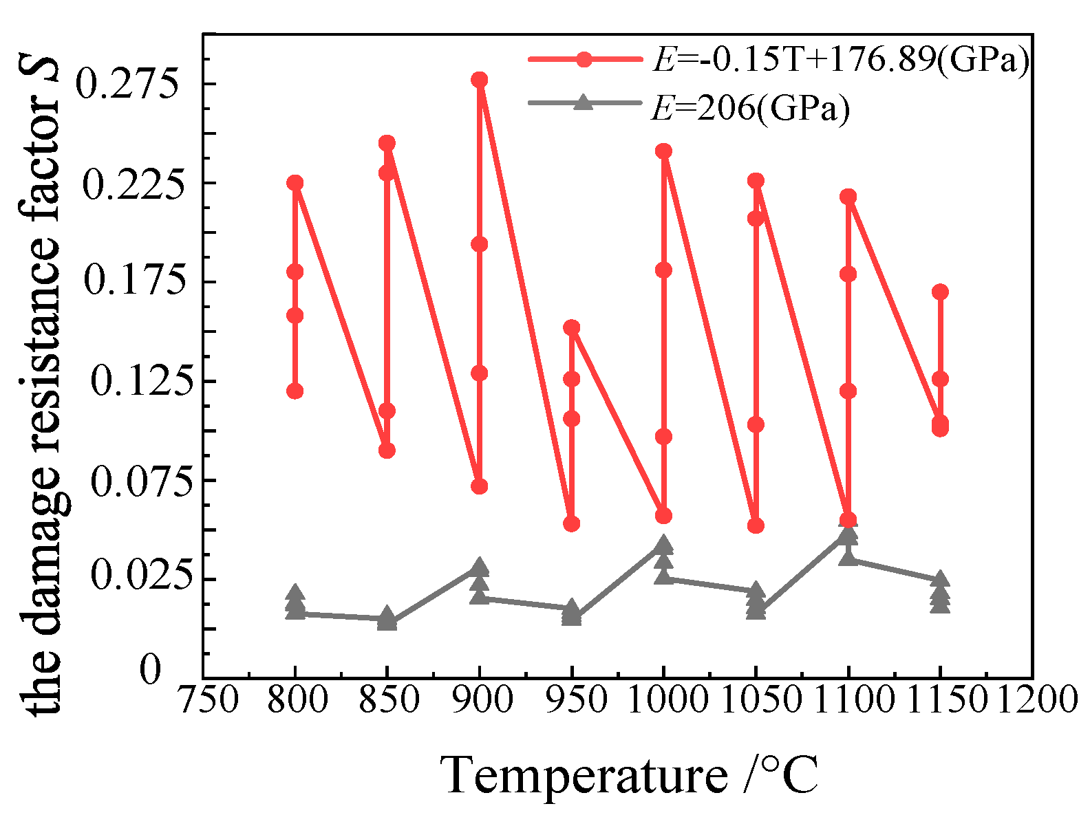
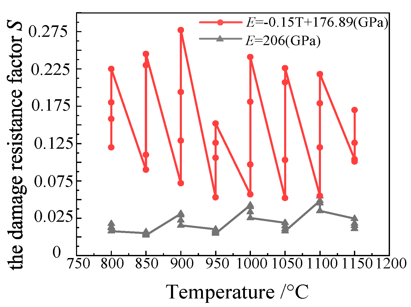
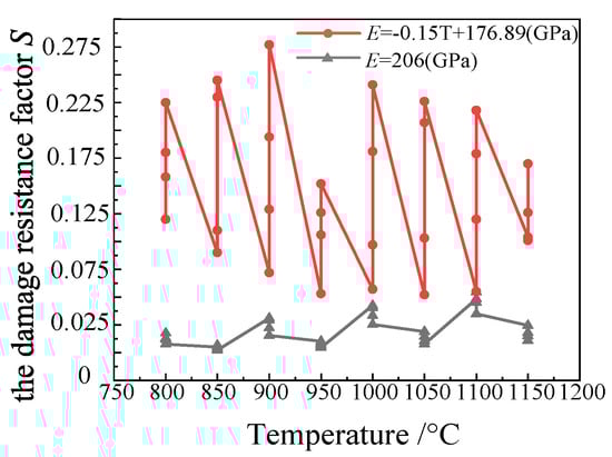
3.3. Measurement of Elastic Modulus E Value
3.4. Determination of Damage Model Parameters
3.5. Lemaitre High-Temperature Damage Model of Cr5 Alloy
4. Verification Test of High-Temperature Damage Model
4.1. Finite Element Modelling of Tensile Process of Cr5 Alloy Steel
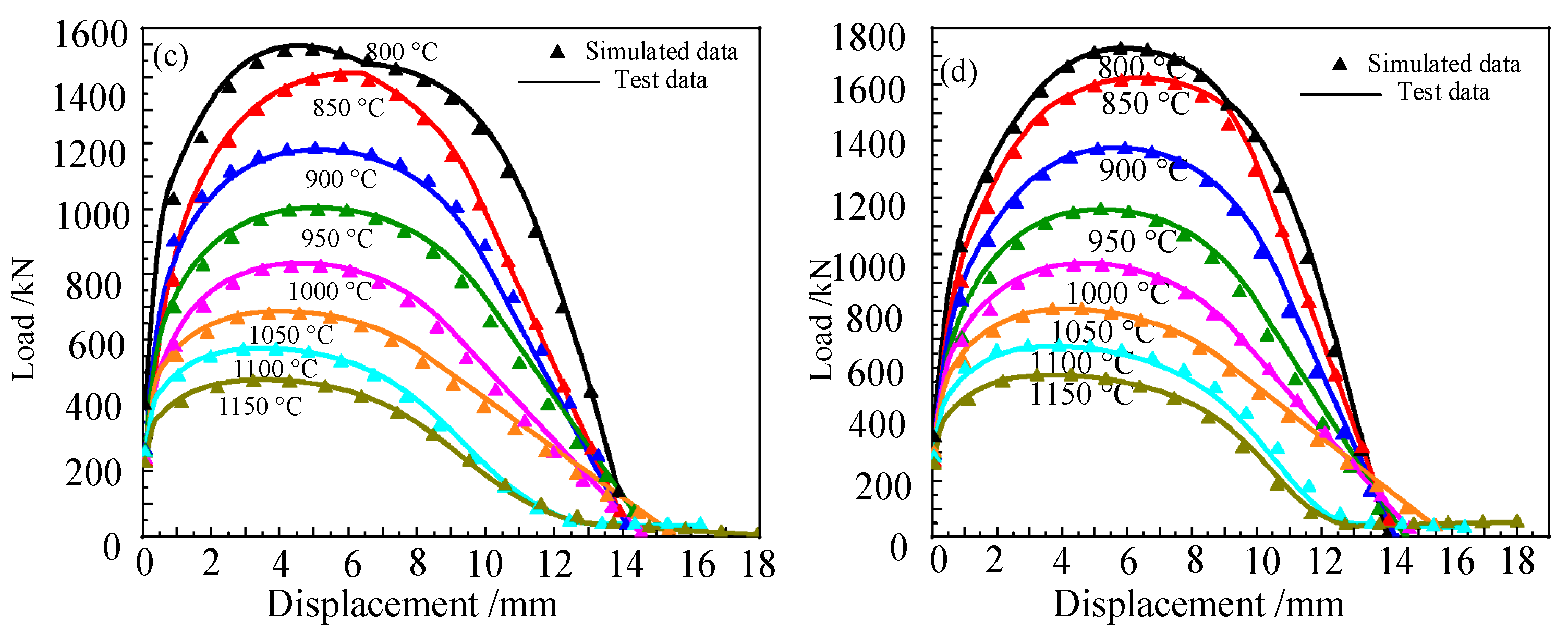
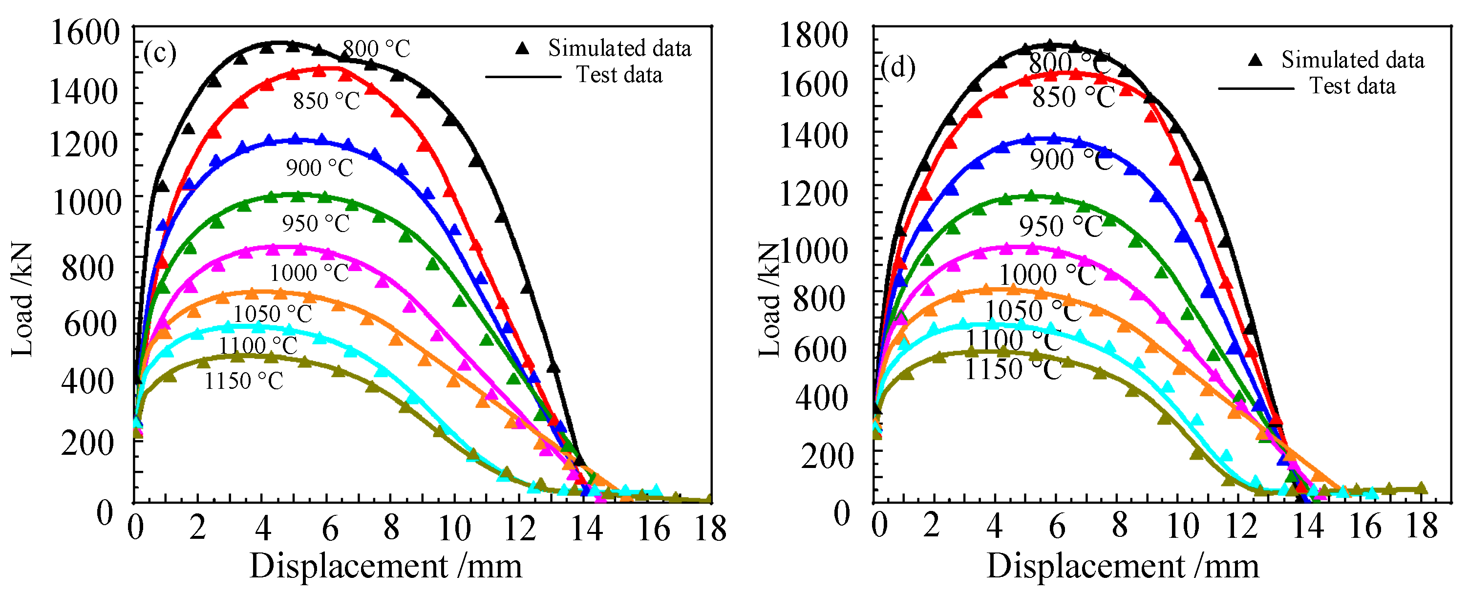
4.2. Verification of Lemaitre High-Temperature Damage Model of Cr5 Alloy Steel
4.3. Damage Map of Lemaitre High-Temperature Damage Model
5. Conclusions
Author Contributions
Funding
Institutional Review Board Statement
Informed Consent Statement
Data Availability Statement
Conflicts of Interest
References
- Martínez-Aguilar, E.; Hmŏk, H.; Ariño, J.R.; Beltrones, J.S. First-principles study of the coexisting ferroelectric and ferromagnetic properties of the La0.75Bi0.25CrO3 compound. Comput. Mater. Sci. 2019, 171, 109262. [Google Scholar] [CrossRef]
- Fan, J.; Chen, H.; Zhao, W.; Yan, L. Study on Flake Formation Behavior and Its Influence Factors in Cr5 Steel. Materials 2018, 11, 690. [Google Scholar] [CrossRef] [PubMed] [Green Version]
- Gu, Q.; Huang, X.; Xi, J.; Gao, Z. The Influence of Magnetic Field on Fatigue and Mechanical Properties of a 35CrMo Steel. Metals 2021, 11, 542. [Google Scholar] [CrossRef]
- Surendran, M.; Natarajan, S.; Palani, G.; Bordas, S.P. Linear smoothed extended finite element method for fatigue crack growth simulations. Eng. Fract. Mech. 2019, 206, 551–564. [Google Scholar] [CrossRef]
- Zhang, T.; Han, T.; Wu, S. The effect of service time on the microstructure and mechanical properties of 1Cr5Mo steel high temperature fastening nuts. Mech. Eng. Mater. 2021, 45, 61–65. [Google Scholar]
- Varandas, L.F.; Catalanotti, G.; Melro, A.R.; Falzon, B.G. On the importance of nesting considerations for accurate computational damage modelling in 2D woven composite materials. Comput. Mater. Sci. 2020, 172, 109323. [Google Scholar] [CrossRef]
- Zhan, Z.; Li, H.; Lam, K. Development of a novel fatigue damage model with AM effects for life prediction of commonly-used alloys in aerospace. Int. J. Mech. Sci. 2019, 155, 110–124. [Google Scholar] [CrossRef]
- Yang, Z.; Liu, H. A continuum fatigue damage model for the cyclic thermal shocked ceramic-matrix composites. Int. J. Fatigue 2020, 134, 105507. [Google Scholar] [CrossRef]
- Zhao, Y.; Noori, M.; Altabey, W.A.; Ghiasi, R.; Wu, Z. A Fatigue Damage Model for FRP Composite Laminate Systems Based on Stiffness Reduction. Struct. Durab. Health Monit. 2019, 13, 85–103. [Google Scholar] [CrossRef] [Green Version]
- Wang, X.; Zhang, W.; Ni, J.; Zhang, T.; Gong, J.; Wahab, M.A. Quantitative description between pre-fatigue damage and residual tensile properties of P92 steel. Mater. Sci. Eng. A 2019, 744, 415–425. [Google Scholar] [CrossRef]
- Wu, Y.C.; Shao, J.-L.; Zhan, H. Damage characteristics of aluminum nanorod under hypervelocity impact. Comput. Mater. Sci. 2020, 174, 109490. [Google Scholar] [CrossRef]
- Navas, V.M.T.; Buljac, A.; Hild, F.; Morgeneyer, T.; Helfen, L.; Bernacki, M.; Bouchard, P.-O. A comparative study of image segmentation methods for micromechanical simulations of ductile damage. Comput. Mater. Sci. 2018, 159, 43–65. [Google Scholar] [CrossRef]
- Jia, W.; Ma, L.; Le, Q.; Zhi, C.; Liu, P. Deformation and fracture behaviors of AZ31B Mg alloy at elevated temperature under uniaxial compression. J. Alloys Compd. 2019, 783, 863–876. [Google Scholar] [CrossRef]
- Barik, S.K.; Narayanan, R.G.; Sahoo, N. Failure Strain and Fracture Prediction During Shock Tube Impact Forming of AA 5052-H32 Sheet. J. Eng. Mater. Technol. 2021, 143, 031009. [Google Scholar] [CrossRef]
- Prabowo, A.R.; Ridwan, R.; Tuswan, T.; Sohn, J.M.; Surojo, E.; Imaduddin, F. Effect of the selected parameters in idealizing material failures under tensile loads: Benchmarks for damage analysis on thin-walled structures. Curved Layer. Struct. 2022, 9, 258–285. [Google Scholar] [CrossRef]
- Wu, Y.; Tian, Z.; Li, L. A Comparative Analysis on Failure Criteria of X80 Pipeline Dent Defect. J. Southwest Pet. Univ. 2022, 43, 134. [Google Scholar]
- Zhang, Y.; Guo, B.; Li, Q.; Li, X.; Jian, J.; Jin, Y.; Ao, J. Damage and Cracking Prediction of AISI 410 Martensitic Stainless Steel at Elevated Temperatures. Steel Res. Int. 2021, 92, 2100030. [Google Scholar] [CrossRef]
- Pater, Z.; Tomczak, J.; Bulzak, T.; Knapiński, M.; Sawicki, S.; Laber, K. Determination of the critical damage for 100Cr6 steel under hot forming conditions. Eng. Fail. Anal. 2021, 128, 105588. [Google Scholar] [CrossRef]
- Li, Q.; Guo, B.; Li, X.; Zhang, Y.; Jian, J.; Ao, J.; Tang, Q.; Lu, Y. Fracture prediction of powder metallurgical Fe–Cu–C steel at elevated temperatures via finite element-aided hot tensile tests. J. Mater. Res. Technol. 2021, 12, 423–436. [Google Scholar] [CrossRef]
- Terhorst, M.; Feuerhack, A.; Trauth, D.; Klocke, F. Extension of the normalized Cockcroft and Latham criterion with temperature-dependent critical damage values for predicting chevron cracks in solid forward extrusion. Int. J. Mater. Form. 2016, 9, 449–456. [Google Scholar] [CrossRef]
- Gao, Y.; Sun, X. Research on dynamic deformation constitutive and damage model parameters of 6008 aluminum alloy for high-speed trains. Explos. Shock. 2021, 41, 118–129. [Google Scholar]
- Bagheri, B.; Dehaghani, M.Z.; Karami, Z.; Salmankhani, A.; Rostamiyan, Y.; Zarrintaj, P.; Mashhadzadeh, A.H.; Saeb, M.R. Correlation between surface topological defects and fracture mechanism of γ-graphyne-like boron nitride nanosheets. Comput. Mater. Sci. 2021, 188, 110152. [Google Scholar] [CrossRef]
- Aghaei, M.; Ziaei-Rad, S. A micro mechanical study on DP600 steel under tensile loading using Lemaitre damage model coupled with combined hardening. Mater. Sci. Eng. A 2020, 772, 138774. [Google Scholar] [CrossRef]
- Cai, S.; Chen, L. Parameter identification and blanking simulations of DP1000 and Al6082-T6 using Lemaitre damage model. Adv. Manuf. 2021, 9, 457–472. [Google Scholar] [CrossRef]
- Jasra, Y.; Singhal, S.; Upman, R.; Saxena, R.K. Finite element simulation of stress corrosion cracking in austenitic stainless steel using modified Lemaitre damage model. Mater. Today Proc. 2020, 26, 2314–2322. [Google Scholar] [CrossRef]
- Verma, A.; Saxena, R.K. Determination of Lemaitre damage parameters for DP590 steel using Teacher-Learner based optimization. J. Phys. Conf. Ser. 2019, 1240, 012101. [Google Scholar] [CrossRef]
- Pavan, K.; Puneet, T. Investigating the capability of the Lemaitre damage model to establish the incremental sheet forming process. Arch. Civ. Mech. Eng. 2022, 22, 66. [Google Scholar]
- Araújo, L.; Ferreira, G.; Neves, R.; Malcher, L. Fatigue analysis for the aluminum alloy 7050-T7451 performed by a two scale continuum damage mechanics model. Theor. Appl. Fract. Mech. 2020, 105, 102439. [Google Scholar] [CrossRef]
- Malekipour, K.; Mashayekhi, M.; Badrossamay, M. Meso-scale damage mechanics modeling for high cycle fatigue behavior of additively manufactured components. Mech. Mater. 2021, 160, 103951. [Google Scholar] [CrossRef]
- Liu, X.B.; Wu, G.L.; Zhou, C.Y. Constitutive modeling of dynamic recrystallization behavior and processing map of Cr5 steel. J. Cent. South Univ. 2016, 23, 3065–3071. [Google Scholar] [CrossRef]
- He, S.; Nie, Y.; Bordas, S.P.A.; Yu, P. Damage-Plastic Constitutive Model of Thin-Walled Circular Steel Tubes for Space Structures. J. Eng. Mech. 2020, 146, 04020131. [Google Scholar] [CrossRef]
- Sun, X.; Guo, X. Two numerical algorithms of Lemaitre damage model and their comparison. J. Hohai Univ. 2019, 47, 387–392. [Google Scholar]
- Patnaik, S.; Semperlotti, F. Variable-order fracture mechanics and its application to dynamic fracture. Npj Comput. Mater. 2021, 7, 27. [Google Scholar] [CrossRef]
- Choudhary, T.; Mishra, V.; Goswami, A.; Sarangapani, J. A comprehensive survey on model compression and acceleration. Artif. Intell. Rev. 2020, 53, 5113–5155. [Google Scholar] [CrossRef]
- Asim, M.; Jawaid, M.; Khan, A.; Asiri, A.M.; Malik, M.A. Effects of Date Palm fibres loading on mechanical, and thermal properties of Date Palm reinforced phenolic composites. J. Mater. Res. Technol. 2020, 9, 3614–3621. [Google Scholar] [CrossRef]
- Bouchard, P.O.; Bourgeon, L.; Fayolle, S.; Mocellin, K. An enhanced Lemaitre model formulation for materials processing damage computation. Int. J. Mater. Form. 2011, 4, 299–315. [Google Scholar] [CrossRef] [Green Version]
- Oyane, M. Criteria of ductile fracture strain. Bull. JSME 1972, 15, 1507–1513. [Google Scholar] [CrossRef]
- Sun, B.; Xu, Z.-D. A continuum damage-based computational methodology for crack growth simulation of metal films. Bull. Mater. Sci. 2021, 44, 400. [Google Scholar] [CrossRef]
- Sharma, A.; Daggumati, S. Computational micromechanical modeling of transverse tensile damage behavior in unidirectional glass fiber-reinforced plastic composite plies: Ductile versus brittle fracture mechanics approach. Int. J. Damage Mech. 2020, 29, 943–964. [Google Scholar] [CrossRef]
- Rezwan, A.A.; Jokisaari, A.M.; Tonks, M.R. Modeling brittle fracture due to anisotropic thermal expansion in polycrystalline materials. Comput. Mater. Sci. 2021, 194, 110407. [Google Scholar] [CrossRef]
- Kumar, A.; Singh, A.K.; Shrivastva, A.; Mishra, S.; Narasimhan, K. Failure prediction in incremental sheet forming based on Lemaitre damage model. J. Phys. Conf. Ser. 2018, 1063, 012152. [Google Scholar] [CrossRef]
- Liu, Y.; Pan, Y.; Yin, D.; Song, S.; Lin, L.; Zhang, M.; Qi, X.; Yao, J. Mechanical properties and thickness-determined fracture mode of hexagonal boron nitride nanosheets under nanoindentation simulations. Comput. Mater. Sci. 2021, 186, 110047. [Google Scholar] [CrossRef]













| C | Mn | Si | Cr | Mo | V | Ni | Fe |
|---|---|---|---|---|---|---|---|
| 0.52 | 0.453 | 0.547 | 4.56 | 0.478 | 0.129 | 0.426 | 93.1 |
| Fracture Displacement | 800 °C | 850 °C | 900 °C | 950 °C | 1000 °C | 1050 °C | 1100 °C | 1150 °C |
|---|---|---|---|---|---|---|---|---|
| 0.01 s−1 | 11.52 mm | 11.76 mm | 12.14 mm | 12.56 mm | 12.83 mm | 13.25 mm | 14.18 mm | 14.93 mm |
| 0.1 s−1 | 11.86 mm | 12.08 mm | 12.44 mm | 12.79 mm | 13.28 mm | 13.59 mm | 14.43 mm | 15.12 mm |
| 1 s−1 | 13.89 mm | 13.92 mm | 14.12 mm | 14.35 mm | 14.55 mm | 15.36 mm | 16.27 mm | 17.93 mm |
| 5 s−1 | 14.02 mm | 14.07 mm | 14.32 mm | 14.60 mm | 14.69 mm | 15.49 mm | 16.43 mm | 18.05 mm |
| Temperature/°C | 800 | 850 | 900 | 950 | 1000 | 1050 | 1100 | 1150 |
|---|---|---|---|---|---|---|---|---|
| E/GPa | 55 | 50 | 42 | 35 | 25 | 18 | 12 | 3.5 |
| Tensile Performance Parameters | Lemaitre Damage Parameters | Zener–Hollomon Coefficient Value | |||||||||
|---|---|---|---|---|---|---|---|---|---|---|---|
| T/°C | /s−1 | Rm/MPa | εm | RB/MPa | εB | D1c | σu/MPa | S/MPa | εth | Z | LnZ |
| 800 | 0.01 | 150.95 | 0.17 | 12.21 | 0.43 | 0.919 | 150.95 | 0.059 | 0.17 | 1.11 × 1018 | 41.55 |
| 800 | 0.1 | 201.02 | 0.16 | 51.45 | 0.48 | 0.944 | 201.02 | 0.158 | 0.16 | 1.11 × 1019 | 43.85 |
| 800 | 1 | 277.73 | 0.22 | 9.4 | 0.51 | 0.966 | 277.73 | 0.210 | 0.22 | 1.11 × 1020 | 46.16 |
| 800 | 5 | 347.46 | 0.29 | 1.58 | 0.53 | 0.995 | 347.46 | 0.265 | 0.29 | 5.56 × 1020 | 47.77 |
| 850 | 0.01 | 167.72 | 0.24 | 9.99 | 0.54 | 0.940 | 167.72 | 0.090 | 0.24 | 7.36 × 1016 | 38.84 |
| 850 | 0.1 | 235.59 | 0.38 | 9.92 | 0.57 | 0.958 | 235.59 | 0.110 | 0.28 | 7.36 × 1017 | 41.14 |
| 850 | 1 | 286.44 | 0.29 | 11.14 | 0.56 | 0.961 | 286.44 | 0.230 | 0.29 | 7.36 × 1018 | 43.44 |
| 850 | 5 | 341.03 | 0.33 | 5.22 | 0.58 | 0.985 | 341.03 | 0.295 | 0.33 | 3.68 × 1019 | 45.05 |
| 900 | 0.01 | 126.17 | 0.18 | 10.39 | 0.53 | 0.918 | 126.17 | 0.072 | 0.18 | 6.58 × 1015 | 36.42 |
| 900 | 0.1 | 180.98 | 0.24 | 10.88 | 0.55 | 0.940 | 180.98 | 0.129 | 0.24 | 6.58 × 1016 | 38.73 |
| 900 | 1 | 230.9 | 0.27 | 12.07 | 0.56 | 0.948 | 230.9 | 0.194 | 0.27 | 6.58 × 1017 | 41.03 |
| 900 | 5 | 281.35 | 0.3 | 13.13 | 0.58 | 0.953 | 281.35 | 0.277 | 0.3 | 3.29 × 1018 | 42.64 |
| 950 | 0.01 | 101.07 | 0.17 | 15.18 | 0.48 | 0.850 | 101.07 | 0.053 | 0.17 | 7.59 × 1014 | 34.26 |
| 950 | 0.1 | 141.61 | 0.2 | 12.053 | 0.54 | 0.915 | 141.61 | 0.106 | 0.2 | 7.59 × 1015 | 36.57 |
| 950 | 1 | 193.69 | 0.26 | 11.03 | 0.57 | 0.943 | 193.69 | 0.176 | 0.26 | 7.59 × 1016 | 38.87 |
| 950 | 5 | 230.58 | 0.28 | 15.14 | 0.59 | 0.934 | 230.58 | 0.252 | 0.28 | 3.79 × 1017 | 40.48 |
| 1000 | 0.01 | 79.457 | 0.15 | 8.66 | 0.55 | 0.891 | 79.457 | 0.057 | 0.15 | 1.09 × 1014 | 32.32 |
| 1000 | 0.1 | 107.52 | 0.18 | 10.4 | 0.56 | 0.903 | 107.52 | 0.097 | 0.18 | 1.09 × 1015 | 34.62 |
| 1000 | 1 | 162.24 | 0.26 | 11.57 | 0.58 | 0.929 | 162.24 | 0.181 | 0.26 | 1.09 × 1016 | 36.93 |
| 1000 | 5 | 192.58 | 0.28 | 15.08 | 0.58 | 0.922 | 192.58 | 0.241 | 0.28 | 5.44 × 1016 | 38.54 |
| 1050 | 0.01 | 67.786 | 0.16 | 9.51 | 0.51 | 0.860 | 67.786 | 0.052 | 0.16 | 1.88 × 1013 | 30.56 |
| 1050 | 0.1 | 91.311 | 0.17 | 8.87 | 0.57 | 0.903 | 91.311 | 0.103 | 0.17 | 1.88 × 1014 | 32.86 |
| 1050 | 1 | 132.57 | 0.23 | 10.65 | 0.62 | 0.920 | 132.57 | 0.207 | 0.23 | 1.88 × 1015 | 35.17 |
| 1050 | 5 | 154.45 | 0.25 | 11.93 | 0.62 | 0.923 | 154.45 | 0.266 | 0.25 | 9.37 × 1015 | 36.78 |
| 1100 | 0.01 | 55.217 | 0.15 | 9.32 | 0.51 | 0.831 | 55.217 | 0.055 | 0.15 | 3.79 × 1012 | 28.97 |
| 1100 | 0.1 | 78.036 | 0.18 | 10.37 | 0.59 | 0.867 | 78.036 | 0.120 | 0.18 | 3.79 × 1013 | 31.27 |
| 1100 | 1 | 111.01 | 0.23 | 11.54 | 0.63 | 0.896 | 111.01 | 0.229 | 0.23 | 3.79 × 1014 | 33.57 |
| 1100 | 5 | 132.74 | 0.25 | 13.35 | 0.64 | 0.899 | 132.74 | 0.318 | 0.25 | 1.89 × 1015 | 35.19 |
| 1150 | 0.01 | 43.281 | 0.13 | 12.94 | 0.48 | 0.701 | 43.281 | 0.134 | 0.13 | 8.81 × 1011 | 27.5 |
| 1150 | 0.1 | 63.466 | 0.18 | 9.55 | 0.61 | 0.850 | 63.466 | 0.291 | 0.18 | 8.81 × 1012 | 29.81 |
| 1150 | 1 | 87.469 | 0.22 | 11.18 | 0.64 | 0.872 | 87.469 | 0.526 | 0.22 | 8.81 × 1013 | 32.11 |
| 1150 | 5 | 116.04 | 0.28 | 13.42 | 0.68 | 0.884 | 116.04 | 0.870 | 0.28 | 4.40 × 1014 | 33.72 |
| The Values of the Coefficients of the Lemaitre Damage Model | A | B | C | D | E |
|---|---|---|---|---|---|
| Damage strain threshold εth | 1.27 | −0.14 | 0.006 | −7.99 × 10−5 | 5.81 × 10−9 |
| Anti-damage factor S | 5.48 | −0.61 | −0.025 | −4.43 × 10−4 | 2.94 × 10−6 |
| Critical damage value under uniaxial tension D1c | 1.59 | 0.13 | 0.66 | 0 | 0 |
| Ultimate stress value under uniaxial tension σu | −1874.31 | 210.91 | −8.46 | 0.13 | −1.04 × 10−5 |
| Difference Analysis of Coefficient Values | Correlation Coefficient R | R-Squared R2 | Mean Square Error MSE |
|---|---|---|---|
| Damage strain threshold εth | 0.92 | 0.91 | 0.37 |
| Anti-injury factor S | 0.93 | 0.92 | 22.01 |
| Critical damage value D1c | 0.92 | 0.91 | 8.99 |
| Ultimate stress value σu | 0.98 | 0.98 | 46.12 |
Publisher’s Note: MDPI stays neutral with regard to jurisdictional claims in published maps and institutional affiliations. |
© 2022 by the authors. Licensee MDPI, Basel, Switzerland. This article is an open access article distributed under the terms and conditions of the Creative Commons Attribution (CC BY) license (https://creativecommons.org/licenses/by/4.0/).
Share and Cite
Chen, X.; Guo, L.; Zhang, B.; Bai, R. An Enhanced Lemaitre Model and Fracture Map for Cr5 Alloy Steel during High-Temperature Forming Process. Materials 2022, 15, 3935. https://doi.org/10.3390/ma15113935
Chen X, Guo L, Zhang B, Bai R. An Enhanced Lemaitre Model and Fracture Map for Cr5 Alloy Steel during High-Temperature Forming Process. Materials. 2022; 15(11):3935. https://doi.org/10.3390/ma15113935
Chicago/Turabian StyleChen, Xuewen, Lele Guo, Bo Zhang, and Rongren Bai. 2022. "An Enhanced Lemaitre Model and Fracture Map for Cr5 Alloy Steel during High-Temperature Forming Process" Materials 15, no. 11: 3935. https://doi.org/10.3390/ma15113935
APA StyleChen, X., Guo, L., Zhang, B., & Bai, R. (2022). An Enhanced Lemaitre Model and Fracture Map for Cr5 Alloy Steel during High-Temperature Forming Process. Materials, 15(11), 3935. https://doi.org/10.3390/ma15113935

