Crushing Behaviors and Energy Absorption Evaluation Methods of Hexagonal Steel Tubular Columns with Triangular Cells
Abstract
:1. Introduction
2. Hexagonal Multi-Cell Tubular Structures
3. Experimental Behaviors
3.1. Crushing Behaviors
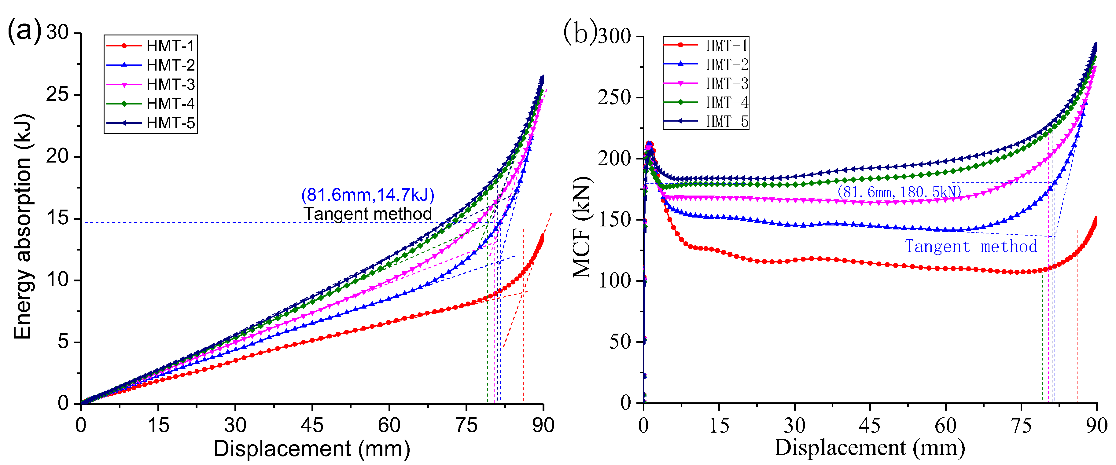
3.2. Evaluation Methods
4. Theoretical Analysis
5. FEM Analyses
5.1. FEM Method
5.2. FEM Results
5.3. Evaluation Methods
6. Conclusions
Author Contributions
Funding
Informed Consent Statement
Data Availability Statement
Conflicts of Interest
References
- Hong, L.; Amdahl, J. Crushing resistance of web girders in ship collision and grounding. Mar. Struct. 2008, 21, 374–401. [Google Scholar] [CrossRef]
- Pugsley, A.; Macaulay, M. The large scale crumpling of thin cylindrical columns. Q. J. Mech. Appl. Math. 1960, 13, 1–9. [Google Scholar] [CrossRef]
- Lanzi, L.; Bisagni, C.; Ricci, S. Crashworthiness optimization of helicopter subfloor based on decomposition and global approximation. Struct. Multidiscip. Optim. 2004, 27, 401–410. [Google Scholar] [CrossRef]
- Abramowicz, W. Thin-walled structures as impact energy absorbers. Thin Walled Struct. 2003, 41, 91–107. [Google Scholar] [CrossRef]
- Tang, Z.; Liu, S.; Zhang, Z. Analysis of energy absorption characteristics of cylindrical multi-cell columns. Thin Walled Struct. 2013, 62, 75–84. [Google Scholar] [CrossRef]
- Chen, W.; Wierzbieki, T. Relative merits of single-cell, multi-cell and foam-filled thin-walled structures in energy absorption. Thin Walled Struct. 2001, 39, 287–306. [Google Scholar] [CrossRef]
- Qi, C.; Yang, S.; Dong, F. Crushing analysis and multiobjective crashworthiness optimization of tapered square tubes under oblique impact loading. Thin Walled Struct. 2012, 59, 103–119. [Google Scholar] [CrossRef]
- Hong, W.; Fan, H.; Xia, Z.; Jin, F.; Zhou, Q.; Fang, D. Axial crushing behaviors of multi-cell tubes with triangular lattices. Int. J. Impact Eng. 2014, 63, 106–117. [Google Scholar] [CrossRef]
- Liu, Q.; Fu, J.; Ma, Y.; Zhang, Y.; Li, Q. Crushing responses and energy absorption behaviors of multi-cell CFRP tubes. Thin Walled Struct. 2020, 155, 106930. [Google Scholar] [CrossRef]
- Tran, T.N.; Baroutaji, A.; Estrada, Q.; Arjunan, A.; Le, H.; Thien, N.P. Crashworthiness analysis and optimization of standard and windowed multi-cell hexagonal tubes. Struct. Multidiscip. Optim. 2021, 63, 2191–2209. [Google Scholar] [CrossRef]
- Liu, H.; Chng, Z.X.C.; Wang, G.; Ng, B.F. Crashworthiness improvements of multi-cell thin-walled tubes through lattice structure enhancements. Int. J. Mech. Sci. 2021, 210, 106731. [Google Scholar] [CrossRef]
- Abramowicz, W.; Tones, N. Transition from initial global bending to progressive buckling of tubes loaded statically and dynamically. Int. J. Impact Eng. 1997, 19, 415–437. [Google Scholar] [CrossRef]
- Alexander, J.M. An approximate analysis of the collapse of thin cylindrical shells under axial load. Q. J. Mech. Appl. Math. 1969, 13, 10–15. [Google Scholar] [CrossRef]
- Kim, H.S. New extruded multi-cell aluminum profile for maximum crash energy absorption and weight efficiency. Thin Walled Struct. 2002, 40, 311–327. [Google Scholar] [CrossRef]
- Zhang, X.; Zhang, H. Energy absorption of multi-cell stub columns under axial compression. Thin Walled Struct. 2013, 68, 156–163. [Google Scholar] [CrossRef]
- Nia, A.A.; Parsapour, M. An investigation on the energy absorption characteristics of multi-cell square tubes. Thin Walled Struct. 2013, 68, 26–34. [Google Scholar]
- Zhang, X.; Cheng, G.; Zhang, H. Theoretical prediction and numerical simulation of multi-cell square thin-walled structures. Thin Walled Struct. 2006, 44, 1185–1191. [Google Scholar] [CrossRef]
- Tran, T.N.; Hou, S.J.; Han, X.; Chau, M. Crushing analysis and numerical optimization of angle element structures under axial impact loading. Compos. Struct. 2015, 119, 422–435. [Google Scholar] [CrossRef]
- Li, W.; Luo, Y.; Li, M.; Sun, F.; Fan, H. A more weight-efficient hierarchical hexagonal multi-cell tubular absorber. Int. J. Mech. Sci. 2018, 140, 241–249. [Google Scholar] [CrossRef]
- Sun, F.F.; Lai, C.L.; Fan, H.L.; Fang, D. Crushing mechanism of hierarchical lattice structure. Mech. Mater. 2016, 97, 164–183. [Google Scholar] [CrossRef]

















| Tube | Side Wall Segment Number, N | Cell Number | Cell Dimension, B (mm) | Skin Thickness, t (mm) | Tube Length, h (mm) | Area of Solid Walls, S (mm2) |
|---|---|---|---|---|---|---|
| HST | 1 | 1 | 60 | 3 | 100 | 1080 |
| HMT-1 | 1 | 6 | 60 | 1.5 | 100 | 1080 |
| HMT-2 | 2 | 24 | 30 | 0.857 | 100 | 1080 |
| HMT-3 | 3 | 54 | 20 | 0.6 | 100 | 1080 |
| HMT-4 | 4 | 96 | 15 | 0.462 | 100 | 1080 |
| HMT-5 | 5 | 150 | 12 | 0.375 | 100 | 1080 |
| Property | Symbol | Value |
|---|---|---|
| Young’s modulus | 210 GPa | |
| Initial yield stress | 206 MPa | |
| Ultimate stress | 294 MPa | |
| Plastic stress | 250 MPa | |
| Poisson’s ratio | 0.25 |
| Tube | PF (kN) | MCF (kN) | MCF/PF | Effective Crushing Distance (mm) |
|---|---|---|---|---|
| HST | 203.2 | 128.7 | 0.633 | 70.1 |
| HMT-2a | 221.9 | 146.8 | 0.662 | 63.17 |
| HMT-2b | 208.9 | 147.1 | 0.704 | 61.48 |
| Tube | Local MCF Curve Method | Tangent Method | PF Method | |||
|---|---|---|---|---|---|---|
| MCF (kN) | Effective Crushing Distance (mm) | MCF (kN) | Effective Crushing Distance (mm) | MCF (kN) | Effective Crushing Distance (mm) | |
| HST | 128.7 | 70.1 | - | - | 131.0 | 74.7 |
| HMT-2a | 146.8 | 63.17 | 170.0 | 74.7 | 148.6 | 65.07 |
| HMT-2b | 147.1 | 61.48 | - | - | 149.0 | 63.99 |
| Case | Theory (kN) | Test (kN) | Error (%) |
|---|---|---|---|
| HST | 133.3 | 131.0 | 1.7 |
| HMT-2a | 163.5 | 148.6 | 9.1 |
| HMT-2b | 163.5 | 149.0 | 8.8 |
| Case | Peak Force (kN) | Mean Crushing Force (kN) | ||||
|---|---|---|---|---|---|---|
| FEM | Experiment | Error (%) | FEM | Experiment | Error (%) | |
| HMT-2a | 228.3 | 221.9 | 2.9 | 145.5 | 146.8 | −0.9 |
| HMT-2b | 208.9 | 9.3 | 147.1 | −1.1 | ||
| Tube | HMT-1 | HMT-2 | HMT-3 | HMT-4 | HMT-5 |
|---|---|---|---|---|---|
| d (mm) | 86.1 | 81.6 | 80.4 | 79.1 | 81.1 |
| Pmax (kN) | 229.9 | 228.3 | 226.8 | 225.4 | 217.6 |
| Pm (kN) | 123.1 | 180.5 | 200.4 | 217.0 | 230.1 |
| Pmax/Pm | 1.88 | 1.26 | 1.13 | 1.04 | 0.95 |
| SEA (J/g) | 10.6 | 14.7 | 16.1 | 17.2 | 18.6 |
| κ | 0.861 | 0.816 | 0.804 | 0.791 | 0.811 |
| Tube | HMT-1 | HMT-2 | HMT-3 | HMT-4 | HMT-5 |
|---|---|---|---|---|---|
| d (mm) | 81.1 | 69.1 | 65.1 | 60.1 | 54.9 |
| Pmax (kN) | 229.9 | 228.3 | 226.8 | 225.4 | 217.6 |
| Pm (kN) | 110.6 | 145.5 | 169.6 | 188.8 | 195.5 |
| Pmax/Pm | 2.07 | 1.57 | 1.34 | 1.19 | 1.11 |
| SEA (J/g) | 9.0 | 10.1 | 11.1 | 11.4 | 10.8 |
| κ | 0.811 | 0.691 | 0.651 | 0.601 | 0.549 |
| Tube | HMT-1 | HMT-2 | HMT-3 | HMT-4 | HMT-5 |
|---|---|---|---|---|---|
| Theory | 122.7 | 153.9 | 167.5 | 184.0 | 202.7 |
| FEM | 110.6 | 145.5 | 169.6 | 188.8 | 195.5 |
| Test | - | 148.6 149.0 | - | - | |
| Error | −9.8% | −5.5% | 1.3% | 2.6% | −3.6% |
| Tube | HMT-1 | HMT-2 | HMT-3 | HMT-4 | HMT-5 |
|---|---|---|---|---|---|
| Theory | 115.6 | 130.4 | 135.6 | 139.8 | 137.2 |
| FEM | 123.1 | 180.5 | 200.4 | 217.0 | 230.1 |
| Test | - | 170.0 | - | - | - |
| Error | 6.5% | 38.4% | 47.8% | 55.2% | 67.7% |
Publisher’s Note: MDPI stays neutral with regard to jurisdictional claims in published maps and institutional affiliations. |
© 2022 by the authors. Licensee MDPI, Basel, Switzerland. This article is an open access article distributed under the terms and conditions of the Creative Commons Attribution (CC BY) license (https://creativecommons.org/licenses/by/4.0/).
Share and Cite
Li, W.; Li, Z.; Li, S.; Wang, P. Crushing Behaviors and Energy Absorption Evaluation Methods of Hexagonal Steel Tubular Columns with Triangular Cells. Materials 2022, 15, 3910. https://doi.org/10.3390/ma15113910
Li W, Li Z, Li S, Wang P. Crushing Behaviors and Energy Absorption Evaluation Methods of Hexagonal Steel Tubular Columns with Triangular Cells. Materials. 2022; 15(11):3910. https://doi.org/10.3390/ma15113910
Chicago/Turabian StyleLi, Weiwei, Zhaohui Li, Suhang Li, and Peng Wang. 2022. "Crushing Behaviors and Energy Absorption Evaluation Methods of Hexagonal Steel Tubular Columns with Triangular Cells" Materials 15, no. 11: 3910. https://doi.org/10.3390/ma15113910
APA StyleLi, W., Li, Z., Li, S., & Wang, P. (2022). Crushing Behaviors and Energy Absorption Evaluation Methods of Hexagonal Steel Tubular Columns with Triangular Cells. Materials, 15(11), 3910. https://doi.org/10.3390/ma15113910
