Thermal Analysis of Plastics Used in the Food Industry
Abstract
:1. Introduction
2. Materials and Methods
- three sample sets made of polypropylene (PP):
- -
- PP-1—cookie wrapper;
- -
- PP-2—cheese tray;
- -
- PP-3—bread wrapper;
- one sample set made of plastic made of polystyrene (PS):
- -
- PS-1—cheese cup;
- one sample set made of polyethylene terephthalate (PET):
- -
- PET-1—a bottle of still water.
- the initial temperature of the decomposition process of the sample (beginning of the exothermic reaction);
- the temperature of half mass loss;
- the end temperature of the first step of the decomposition process;
- the mass loss rate for the selected temperatures;
- the energy of endothermic reactions;
- the energy of exothermic reactions.
3. Results
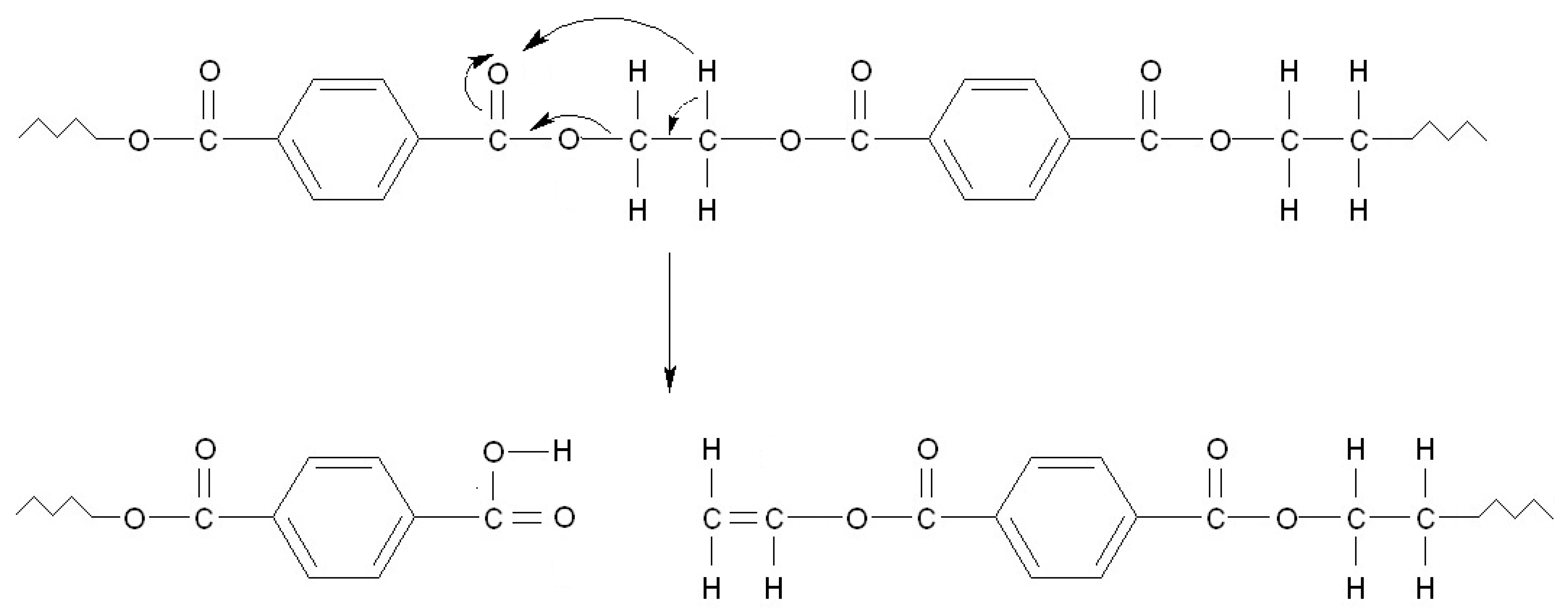
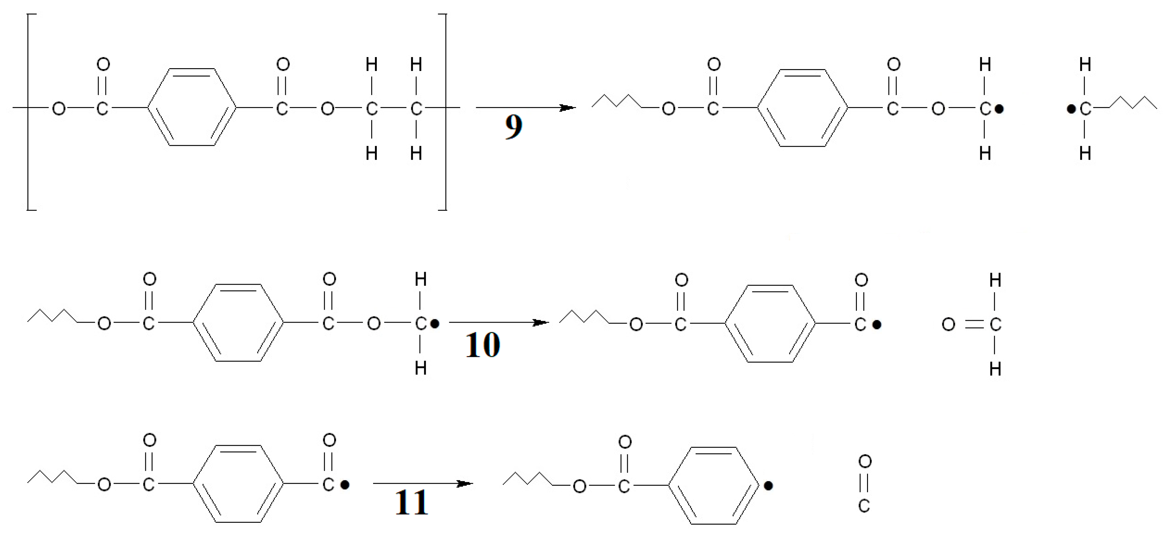
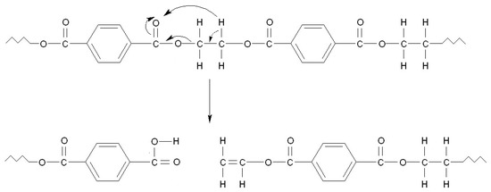
3.1. TG DSC Analysis of Decomposition Process of Plastics Made of Polypropylene
3.2. TG DSC Analysis of Decomposition Process of Plastics Made of Polystyrene
3.3. TG DSC Analysis of Decomposition Process of Plastics Made of Polyethylene Terephthalate
4. Discussion
5. Conclusions
Author Contributions
Funding
Institutional Review Board Statement
Informed Consent Statement
Data Availability Statement
Conflicts of Interest
References
- Zhao, X.; Zhan, L.; Xie, B.; Gao, B. Products derived from waste plastics (PC, HIPS, ABS, PP and PA6) via hydrothermal treatment: Characterization and potential applications. Chemosphere 2018, 207, 742–752. [Google Scholar] [CrossRef]
- Shamsuyeva, M.; Endres, H.J. Plastics in the context of the circular economy and sustainable plastics recycling: Comprehensive review on research development, standardization and market. Compos. Part C 2021, 6, 100168. [Google Scholar] [CrossRef]
- Chun, B.-H.; Li, X.; Im, E.J.; Lee, K.-H.; Kim, S.H. Comparison of Pyrolysis Kinetics between Rigid and Flexible Polyurethanes. J. Ind. Eng. Chem. 2007, 13, 1188–1193. [Google Scholar]
- Olofinnade, O.; Chandra, S.; Chakraborty, P. Recycling of high impact polystyrene and low-density polyethylene plastic wastes in lightweight based concrete for sustainable construction. Mater. Proc. 2021, 38, 2151–2156. [Google Scholar] [CrossRef]
- Hermabessiere, L.; Dehaut, A.; Paul-Pont, I.; Lacroix, C.; Jezequel, R.; Soudant, P.; Duflos, G. Occurrence and effects of plastic additives on marine environments and organisms: A review. Chemosphere 2017, 182, 781–793. [Google Scholar] [CrossRef] [PubMed] [Green Version]
- Elanchezhiyan, S.S.; Prabhu, S.M.; Karthikeyan, P.; Park, C.P. Efficient and selective sequestration of perfluorinated compounds and hexavalent chromium ions using a multifunctional spinel matrix decorated carbon backbone N-rich polymer and their mechanistic investigations. J. Mol. Liq. 2021, 326, 115336. [Google Scholar] [CrossRef]
- Sevastyanov, G.M. Adiabatic heating effect in elastic-plastic contraction/expansion of spherical cavity in isotropic incompressible material. Eur. J. Mechanics-A/Solids 2021, 87, 104223. [Google Scholar] [CrossRef]
- Richeton, J.; Ahzi, S.; Vecchio, K.S.; Jiang, F.C.; Adharapurapu, R.R. Influence of temperature and strain rate on the mechanical behavior of three amorphous polymers: Characterization and modeling of the compressive yield stress. Int. J. Solids Struct. 2006, 43, 2318–2335. [Google Scholar] [CrossRef] [Green Version]
- Ou, Y.; Sun, Y.; Guo, X.; Jiao, Q. Investigation on the thermal decomposition of hydroxyl terminated polyether based polyurethanes with inert and energetic plasticizers by DSC-TG-MS-FTIR. J. Anal. Appl. Pyrolysis 2018, 132, 94–101. [Google Scholar] [CrossRef]
- Dzieciol, M.; Trzeszczynski, J. Studies of Temperature Influence on Volatile Thermal Degradation Products of Poly(ethylene terephthalate). J. Appl. Polym. Sci. 1998, 69, 2377–2381. [Google Scholar] [CrossRef]
- Seleem, S.; Olivio, J.; Schiraldi, D.A. Comparison of Thermal Decomposition of Polystyrene Products vs. Bio-Based Polymer Aerogels. Therm. Decompos. Bio-Based Polym. Aerogels 2017, 117, 50–60. [Google Scholar] [CrossRef] [Green Version]
- Yates, J.; Deeney, M.; White, H.; Joy, E.; Kalamatianou, S.; Kadiyala, S. Protocol: Plastics in the food system: Human health, economic and environmental impacts. A scoping review. Campbell Collab. 2019, 15, e1033. [Google Scholar] [CrossRef] [Green Version]
- Steinmetz, Z.; Wollmann, C.; Schaefer, M.; Buchmann, C.; David, J.; Tröger, J.; Munoz, K.; Fror, O.; Schaumann, G.E. Plastic mulching in agriculture. Trading short-term agronomic benefits for long-term soil degradation. Sci. Total Environ. 2016, 550, 690–705. [Google Scholar] [CrossRef] [PubMed]
- Alamri, M.S.; Qasem, A.A.A.; Mohamed, A.A.; Hussain, S.; Ibraheem, M.A.; Shamlan, G.; Alqah, H.A.; Qasha, A.S. Food packaging’s materials: A food safety perspective. Saudi J. Biol. Sci. 2021, 28, 4490–4499. [Google Scholar] [CrossRef]
- Wu, Z.Z.; Ni, Y.P.; Fu, T.; Liu, B.W.; Wu, W.S.; Chen, L.; Wang, X.L.; Wang, Y.Z. Effect of biphenyl biimide structure on the thermal stability, flame retardancy and pyrolysis behavior of PET. Polym. Degrad. Stab. 2018, 155, 162–172. [Google Scholar] [CrossRef]
- Bertin, D.; Leblanc, M.; Marque, S.R.A.; Siri, D. Polypropylene degradation: Theoretical and experimental investigations. Polym. Degrad. Stab. 2010, 95, 782–791. [Google Scholar] [CrossRef]
- Botelho, G.; Queiros, A.; Liberal, S.; Gijsman, P. Studies on thermal and thermo-oxidative degradation of poly(ethylene terephthalate) and poly(butylene terephthalate). Polym. Degrad. Stab. 2001, 74, 39–48. [Google Scholar] [CrossRef]
- Peterson, J.D.; Vyazovkin, S.; Wight, C.A. Kinetics of the Thermal and Thermo-Oxidative Degradation of Polystyrene, Polyethylene and Poly(propylene). Macromol. Chem. Phys. 2001, 202, 775–784. [Google Scholar] [CrossRef]
- Verma, R.; Vinoda, K.S.; Papireddy, M.; Gowda, A.N.S. Toxic Pollutants from Plastic Waste—A Review. Procedia Environ. Sci. 2016, 35, 701–708. [Google Scholar] [CrossRef]
- Bwalya, A.; Lougheed, G.; Kashef, A.; Saber, H. Survey Results of Combustible Contents and Floor Areas in Canadian Multi-Family Dwellings. Fire Technol. 2011, 47, 1121–1140. [Google Scholar] [CrossRef] [Green Version]
- Majder-Lopatka, M.; Wesierski, T.; Dmochowska, A.; Salamonowicz, Z.; Polanczyk, A. The Influence of Hydrogen on the Indications of the Electrochemical Carbon Monoxide Sensors. Sustainability 2020, 12, 14. [Google Scholar] [CrossRef] [Green Version]
- Rogula-Kozłowska, W.; Bralewska, K.; Rogula-Kopiec, P.; Makowski, R.; Majder-Łopatka, M.; Łukawski, A.; Brandyk, A. Respirable particles and polycyclic aromatic hydrocarbons at two Polish fire stations. Build. Environ. 2020, 184, 107255. [Google Scholar] [CrossRef]
- Noroozi, M.; Panahi-Sarmad, M.; Abrisham, M.; Amirkiai, A.; Asghari, N.; Golbaten-Mofrad, H.; Karimpour-Motlagh, N.; Goodarzi, V.; Bahramian, A.R.; Zahiri, B. Nanostructure of Aerogels and their applications in thermal energy insulation. ASC Appl. Energy Mater. 2019, 2, 5319–5349. [Google Scholar] [CrossRef]
- Majder-Lopatka, M.; Rogula-Kozlowska, W.; Wasik, W. The Application of Stand-Off Infrared Detection to Identify Air Pollutants. In Proceedings of the Application of Stand-Off Infrared Detection to Identify Air Pollutants, 2018, E3S Web of Conferences, Polanica Zdroj, Poland, 3 July 2018. [Google Scholar]
- Kok, M.V. Temperature-controlled combustion and kinetics of different rank coal samples. J. Therm. Anal. Calorim. 2005, 79, 175–180. [Google Scholar] [CrossRef]
- Schindler, A.; Doedt, M.; Gezgin, S.; Menzel, J.; Schmolzer, S. Identification of polymers by means of DSC, TG, STA and computer-assisted database search. J. Therm. Anal. Calorim. 2017, 129, 833–842. [Google Scholar] [CrossRef] [Green Version]
- Zhao, T.; Yang, S.; Hu, X.; Song, W.; Cai, J.; Xu, Q. Restraining effect of nitrogen on coal oxidation in different stages: Non-isothermal TG-DSC and EPR research. Int. J. Min. Sci. Technol. 2020, 30, 387–395. [Google Scholar] [CrossRef]
- Badia, J.D.; Martinez-Felipe, A.; Santonja-Blasco, L.; Ribes-Greus, A. Thermal and thermo-oxidative stability of reprocessed poly(ethylene terephthalate). J. Anal. Appl. Pyrolysis 2013, 99, 191–202. [Google Scholar] [CrossRef] [Green Version]
- Butler, C.H.; Whitmore, P.M. Measurement of peroxides in the volatile degradation products of polypropylene photooxidation. Polym. Degrad. Stab. 2013, 98, 471–473. [Google Scholar] [CrossRef]
- Saikrasun, S.; Saengsuwan, S. Thermal decomposition kinetics of in situ reinforcing composite based on polypropylene and liquid crystalline polymer. J. Mater. Process. Technol. 2009, 209, 3490–3500. [Google Scholar] [CrossRef]
- Faravelli, T.; Pinciroli, M.; Pisano, F.; Bozzano, G.; Dente, M.; Ranzi, E. Thermal degradation of polystyrene. J. Anal. Appl. Pyrolysis 2001, 60, 103–121. [Google Scholar] [CrossRef]
- Dzieciol, M.; Trzeszczynski, J. Volatile products of poly(ethylene terephthalate) thermal degradation in nitrogen atmosphere. J. Appl. Polym. Sci. 2000, 77, 1894–1901. [Google Scholar] [CrossRef]
- Yano, A.; Akai, N.; Ishii, H.; Satoh, C.; Hironiwa, T.; Millington, K.R.; Nakata, M. Thermal oxidative degradation of additive-free polypropylene pellets investigated by multichannel Fourier-transform chemiluminescence pectroscopy. Polym. Degrad. Stab. 2013, 98, 2680–2686. [Google Scholar] [CrossRef]
- Forsstrom, D.; Hamskog, M.; Eriksson, P.; Terselius, B. Oxidation of unstabilised polypropylene particles as studied by microcalorimetry and chemiluminescence techniques. Polym. Degrad. Stab. 2003, 81, 81–88. [Google Scholar] [CrossRef]
- Tahmasebi, A.; Yu, J.; Su, H.; Han, Y.; Lucas, J.; Zheng, H.; Wall, T. A differential scanning calorimetric (DSC) study on the characteristics and behavior of water in low-rank coals. Fuel 2014, 135, 243–252. [Google Scholar] [CrossRef]
- Wong, A.C.Y.; Lam, F. Study of selected thermal characteristics of polypropylene/polyethylene binary blends using DSC and TGA. Polym. Test. 2002, 21, 691–696. [Google Scholar] [CrossRef]
- Shapi, M.M. TG and DSC studies of some thermal properties and stability aspects of poly(acrylonitrile butadiene styrene), polystyrene and poly(acrylonitrile styrene) plastics. Thermochim. Acta 1991, 40, 273–276. [Google Scholar] [CrossRef]
- Zhang, H.; Gao, E.; Zhang, X. Comprehensive study on the rule of spontaneous combustion coal in oxidation process by TG-DTA-FTIR technology. J. Power Technol. 2015, 95, 167–174. [Google Scholar]
- Karimpour-Motlagh, N.; Ali Khonakdar, H.; Ali Jafari, S.M.; Mahjub, A.; Panahi-Sarmad, M.; Farahani Kasbi, S.; Shojaei, S.; Goodarzi, V.; Arjmand, M. Influence of polypropylene and nanoclay on thermal and thermo-oxidative degradation of poly(lactide acid): TG-FTIR, TG-DSC studies and kinetic analysis. Thermochim. Acta 2020, 691, 178709. [Google Scholar] [CrossRef]
- Spicker, C.; Rudolph, N.; Kuhner, I.; Aumnate, C. The use of rheological behavior to monitor the processing and service life properties of recycled polypropylene. Food Packag. Shelf Life 2019, 19, 174–183. [Google Scholar] [CrossRef]
- Brachet, P.; Hoydal, L.T.; Hinrichsen, E.L.; Melum, F. Modification of mechanical properties of recycled polypropylene from post-consumer containers. Waste Manag. 2008, 28, 2456–2464. [Google Scholar] [CrossRef] [PubMed]
- Navarro Vidal, R.; López Martínez, J.; Parres, F.; Ferrándiz Bou, S. Process behavior of compatible polymer blends. Appl. Polym. Sci. 2012, 124, 2485–2493. [Google Scholar] [CrossRef]
- Paik, P.; Kar, K. Kinetics of thermal degradation and estimation of lifetime for polypropylene particles: Effects of particle size. Polym. Degrad. Stab. 2008, 93, 24–35. [Google Scholar] [CrossRef]
- Wong, H.-W.; Broadbelt, L.J. Tertiary resource recovery from waste polymers via pyrolysis: Neat and binary mixture reactions of polypropylene and polystyrene. Ind. Eng. Chem. Res. 2001, 40, 4716–4723. [Google Scholar] [CrossRef]
- Luo, Y.R. Comprehensive Handbook of Chemical Bond Energies; Taylor & Francis: Milton, UK, 2007. [Google Scholar]
- Troitskii, B.B.; Troitskaya, L.S.; Dmitriev, A.; Yakhnov, A.S. Inhibition of thermo-oxidative degradation of poly(methylmethacrylate) and polystyrene by C60. Eur. Polym. J. 2000, 36, 1073–1084. [Google Scholar] [CrossRef]
- Gensler, R.; Plummer, C.J.G.; Kausch, H.H.; Kramer, E.; Pauquet, J.R.; Zweifel, H. Thermo-oxidative degradation of isotactic polypropylene at high temperatures: Phenolic antioxidants versus HAS. Polym. Degrad. Stab. 2000, 67, 195–208. [Google Scholar] [CrossRef]
- Pospisil, J. Chemical and photochemical behaviour of phenolic antioxidants in polymer stabilization—A state of the art report, Part I. Polym. Degrad. Stab. 1993, 40, 217–232. [Google Scholar] [CrossRef]
- Pospisil, J. Chemical and photochemical behaviour of phenolic antioxidants in polymer stabilization—A state of the art report, Part II. Polym. Degrad. Stab. 1993, 39, 103–115. [Google Scholar] [CrossRef]
- Pacákova, V.; Leclercq, P.A.; Holotik, S.; Beroun, I. A Study of Oxidative Degradation of Plastics by GC and GC-MS. Anal. Lett. 1985, 18, 1759–1775. [Google Scholar] [CrossRef] [Green Version]
- Zhu, X. Thermal and Thermo-Oxidative Degradation of Polystyrene with Ammonium Polyphosphate. J. Fire Sci. 1996, 14, 443–465. [Google Scholar]
- Huang, J.; Meng, H.; Cheng, X.; Pan, G.; Cai, X.; Liu, J. Density functional theory study on bond dissociation energy of polystyrene trimer model compound. In IOP Conference Series: Materials Science and Engineering; IOP Publishing: Bristol, UK, 2020; pp. 1–8. [Google Scholar]
- Brems, A.; Baeyens, J.; Vandecasteele, C.; Dewil, R. Polymeric Cracking of Waste Polyethylene Terephthalate to Chemicals and Energy. J. Air Waste Manag. Assoc. 2011, 61, 721–731. [Google Scholar] [CrossRef]
- Sang, T.; Wallis, C.J.; Hill, G. Polyethylene terephthalate degradation under natural and accelerated weathering conditions. Eur. Polym. J. 2020, 136, 109873. [Google Scholar] [CrossRef]
- Zhi-qiang, F.; Yu-qing, Z.; Jun-ting, X.; Hai-tao, W.; Lin-xian, F. Structure and properties of polypropylene/poly(ethylene-co-propylene) in-situ blends synthesized by spherical Ziegler ± Natta catalyst. Polymer 2001, 42, 5559–5566. [Google Scholar]
- Qi, D.; Xiaofeng, W.; Zhisheng, F.; Junting, X.; Zhiqiang, F. Regulation of morphology and mechanical properties of polypropylene/poly(ethylene-co-propylene) in-reactor alloys by multi-stage sequential polymerization. Polymer 2007, 48, 5905–5916. [Google Scholar]
- Yandi, F.; Chunyu, Z.; Yanhu, X.; Wei, N.; Xuequan, Z.; Xiangling, J.; Shuqin, B. Effect of Copolymerization Time on the Microstructure and Properties of Polypropylene/Poly(ethylene-co-propylene) In-Reactor Alloys. Polym. J. 2009, 41, 1098–1104. [Google Scholar]

















| Parameters of Thermal Decomposition | PP-0 | PP-1 | PP-2 | PP-3 |
|---|---|---|---|---|
| Initial decomposition temperature [°C] | 242.0 | 215.0 | 226.7 | 194.2 |
| End temperature of 1st step of decomposition [°C] | 346.1 | 376.6 | 369.5 | 381.2 |
| Loss of weight for 1st step of decomposition [%] | 96.4 | 90.7 | 94.7 | 95.9 |
| Temperature of loss of 50% of weigh [°C] | 293.1 | 322.0 | 330.7 | 339.6 |
| Maximum rate of weight loss [%/min] | 24.01 | 10.26 | 15.2 | 16.4 |
| Temperature of maximum rate of weight loss [°C] | 293.1 | 319.7 | 347.9 | 353.3 |
| Maximum rate of weight loss for 2nd stage [%/min] | 0.65 | 0.26 | 0.32 | |
| Temperature of maximum rate of weight loss for 2nd stage [°C] | 461.7 | 469.1 | 414.9 |
| Parameters of Calorimetric Analysis | PP-1 | PP-2 | PP-3 |
|---|---|---|---|
| 1st peak [°C] | 164.9 | 166.0 | 163.8 |
| 2nd peak [°C] | 288.7 | 306.9 | 295.1 |
| 3rd peak [°C] | 367.7 | 350.9 | 355.3 |
| Energy of the 1st transformation [J/g] | 83.65 | 114.5 | 27.56 |
| Energy of the 2nd transformation [J/g] | 4712 | 3982 | 3951 |
| Energy of the 3rd transformation [J/g] | 445.2 | 375.9 | 332.7 |
| Parameters of Thermal Decomposition | PS-0 | PS-1 |
|---|---|---|
| Initial decomposition temperature [°C] | 260.0 | 280.2 |
| End temperature of 1st stage of decomposition [°C] | 424.0 | 433.3 |
| Loss of weight for 1st stage of decomposition [%] | 98.0 | 92.1 |
| Temperature of loss of 50% of weight [°C] | - | 404.6 |
| Maximum rate of weight loss [%/min] | - | 18.2 |
| Temperature of maximum rate of weight loss [°C] | 392.0 | 412.1 |
| Maximum rate of weight loss for 2nd stage [%/min] | - | 0.7 |
| Temperature of maximum rate of weight loss for 2nd stage [°C] | - | 526.0 |
| Residual mass [%] | 2.0 | 1.4 |
| Parameters of Thermal Decomposition | PET-0 | PET-1 |
|---|---|---|
| Initial decomposition temperature [°C] | 390.0 | 329.8 |
| End temperature of 1st stage of decomposition [°C] | - | 484.8 |
| Loss of weight for 1st stage of decomposition [%] | 78.5 | 82.3 |
| Temperature of loss of 50% of weight [°C] | 430.7 | |
| End temperature of 2nd stage of decomposition [°C] | 575.0 | 573.7 |
| Loss of weight for 2nd stage of decomposition [%] | 21.1 | 16.4 |
| Maximum rate of weight loss [%/min] | - | 18.65 |
| Temperature of maximum rate of weight loss [°C] | - | 431.6 |
| Maximum rate of weight loss for 2nd stage [%/min] | - | 4.49 |
| Temperature of maximum rate of weight loss for 2nd stage [°C] | - | 546.1 |
| Residual mass [%] | 0.4 | 1.3 |
Publisher’s Note: MDPI stays neutral with regard to jurisdictional claims in published maps and institutional affiliations. |
© 2021 by the authors. Licensee MDPI, Basel, Switzerland. This article is an open access article distributed under the terms and conditions of the Creative Commons Attribution (CC BY) license (https://creativecommons.org/licenses/by/4.0/).
Share and Cite
Majder-Łopatka, M.; Węsierski, T.; Ankowski, A.; Ratajczak, K.; Duralski, D.; Piechota-Polanczyk, A.; Polanczyk, A. Thermal Analysis of Plastics Used in the Food Industry. Materials 2022, 15, 248. https://doi.org/10.3390/ma15010248
Majder-Łopatka M, Węsierski T, Ankowski A, Ratajczak K, Duralski D, Piechota-Polanczyk A, Polanczyk A. Thermal Analysis of Plastics Used in the Food Industry. Materials. 2022; 15(1):248. https://doi.org/10.3390/ma15010248
Chicago/Turabian StyleMajder-Łopatka, Małgorzata, Tomasz Węsierski, Artur Ankowski, Kamil Ratajczak, Dominik Duralski, Aleksandra Piechota-Polanczyk, and Andrzej Polanczyk. 2022. "Thermal Analysis of Plastics Used in the Food Industry" Materials 15, no. 1: 248. https://doi.org/10.3390/ma15010248
APA StyleMajder-Łopatka, M., Węsierski, T., Ankowski, A., Ratajczak, K., Duralski, D., Piechota-Polanczyk, A., & Polanczyk, A. (2022). Thermal Analysis of Plastics Used in the Food Industry. Materials, 15(1), 248. https://doi.org/10.3390/ma15010248

