Magnetically Induced Transparency in Media with Helical Dichroic Structure
Abstract
1. Introduction
2. Models and Methodology
3. Results and Discussion
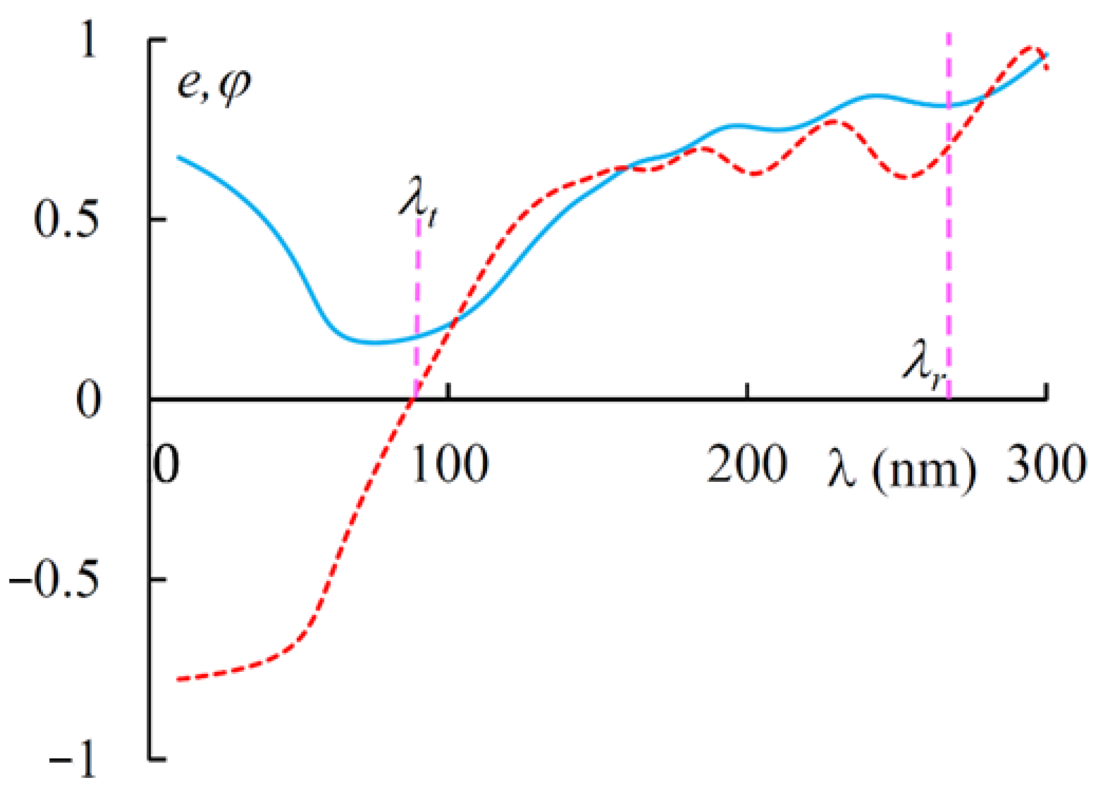
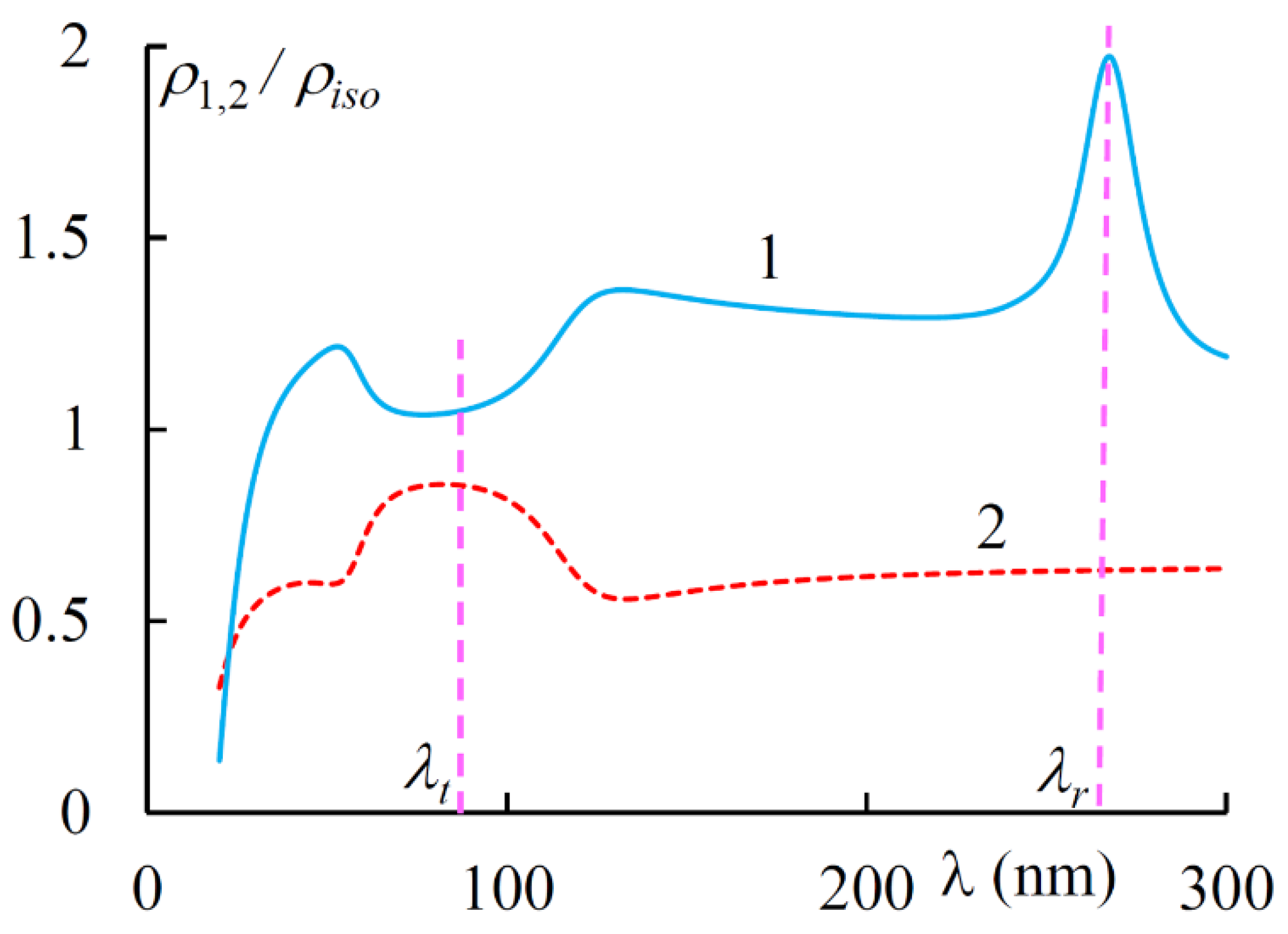
- the wavelength of the diffraction reflection in the absence of external magnetic field,
- the wavelength of the diffraction reflection in the presence of external magnetic field,
- the wavelength of the magnetically induced transparency,
- the wavelength much smaller than the wavelength ,
- the wavelength much longer than the wavelength .
4. Conclusions
Author Contributions
Funding
Institutional Review Board Statement
Informed Consent Statement
Data Availability Statement
Conflicts of Interest
References
- Belyakov, V. Diffraction Optics of Complex-Structured Periodic Media, 2nd ed.; Springer: New York, NY, USA, 2019; p. 251. [Google Scholar] [CrossRef]
- Vetrov, S.Y.; Timofeev, I.V.; Shabanov, V.F. Localized modes in chiral photonic structures. Phys. Uspekhi 2020, 63, 33–57. [Google Scholar] [CrossRef]
- De Gennes, P.G.; Prost, J. The Physics of Liquid Crystals, 2nd ed.; Clarendon Press: Oxford, UK, 1995; p. 561. [Google Scholar]
- Khoo, I.C. Liquid Crystals, 2nd ed.; J. Wiley & Sons: Hoboken, NJ, USA, 2007; p. 424. [Google Scholar]
- Blinov, L.M. Electro-Optical and Magneto-Optical Properties of Liquid Crystals; John Wiley & Sons Ltd.: Hoboken, NJ, USA, 1983; p. 341. [Google Scholar] [CrossRef]
- Blinov, L.M. Structure and Properties of Liquid Crystals; Springer: Dordrecht, The Netherlands, 2011; p. 243. [Google Scholar]
- Chigrinov, V.G.; Kozenkov, V.M.; Kwok, H.S. Photoalignment of Liquid Crystalline Materials: Physics and Applications; John Wiley & Sons: Chichester, UK, 2008; p. 231. [Google Scholar]
- Gevorgyan, A.H. Influence of a magnetic field on the optical properties of magnetoactive cholesteric liquid crystals. Proc. Yerevan State Univ. 1987, 2, 66–74. [Google Scholar]
- Gevorgyan, A.H. Optical diode based on a highly anisotropic layer of a helical periodic medium subjected to a magnetic field. Tech. Phys. 2002, 47, 1008–1013. [Google Scholar] [CrossRef]
- Gevorgyan, A.H. Magneto-optics of a thin film layer with helical structure and enormous anisotropy. Mol. Cryst. Liq. Cryst. 2002, 382, 1–19. [Google Scholar] [CrossRef]
- Pickett, M.D.; Lakhtakia, A.; Polo, J.A. Spectral responses of gyrotropic chiral sculptured thin films to obliquely incident plane waves. Jr. Optik 2004, 115, 393–398. [Google Scholar] [CrossRef]
- Bita, I.; Thomas, E.L. Photonic density of states of two-dimensional quasicrystalline photonic structures. J. Opt. Soc. Am. B 2005, 22, 1199–1207. [Google Scholar] [CrossRef]
- Gevorgyan, A.H. Broadband optical diode and giant nonreciprocal tunable light localization. Opt. Mater. 2021, 113, 110807. [Google Scholar] [CrossRef]
- Harris, S.E. Electromagnetically Induced Transparency. Phys. Today 1997, 50, 36–42. [Google Scholar] [CrossRef]
- Röhlsberger, R.; Wille, H.-C.; Sahoo, K.B. Electromagnetically induced transparency with resonant nuclei in a cavity. Nature 2008, 482, 199–203. [Google Scholar] [CrossRef]
- Mücke, M.; Figueroa, E.; Bochmann, J.; Hahn, C.; Murr, K.; Ritter, S.; Villas-Boas, C.J.; Rempe, G. Electromagnetically induced transparency with single atoms in a cavity. Nature 2010, 465, 755–758. [Google Scholar] [CrossRef]
- Papasimakis, N.; Fedotov, V.A.; Zheludev, N.I.; Prosvirnin, S.L. Metamaterial Analog of Electromagnetically Induced Transparency. Phys. Rev. Lett 2012, 101, 253903. [Google Scholar] [CrossRef]
- Tassin, P.; Zhang, L.; Zhao, R.; Jain, A.; Koschny, T.; Soukoulis, C.M. Electromagnetically Induced Transparency and Absorption in Metamaterials: The Radiating Two-Oscillator Model and Its Experimental Confirmation. Phys. Rev. Lett. 2012, 109, 187401. [Google Scholar] [CrossRef]
- Liu, N.; Langguth, L.; Weiss, T.; Kästel, J.; Fleischhauer, M.; Pfau, T.; Giessen, H. Plasmonic analogue of electromagnetically induced transparency at the Drude damping limit. Nat. Mater. 2009, 8, 758–762. [Google Scholar] [CrossRef] [PubMed]
- Zhang, S.; Genov, D.A.; Wang, Y.; Liu, M.; Zhang, X. Plasmon-Induced Transparency in Metamaterials. Phys. Rev. Lett. 2008, 101, 047401. [Google Scholar] [CrossRef] [PubMed]
- Verellen, N.; Sonnefraud, Y.; Sobhani, H.; Hao, F.; Moshchalkov, V.V.; Van Dorpe, P.; Nordlander, P.; Maier, S.A. Fano resonances in individual coherent plasmonic nanocavities. Nano Lett. 2009, 9, 1663–1667. [Google Scholar] [CrossRef] [PubMed]
- Taubert, R.; Hentschel, M.; Kästel, J.; Giessen, H. Classical Analog of Electromagnetically Induced Absorption in Plasmonics. Nano Lett. 2012, 12, 1367–1371. [Google Scholar] [CrossRef]
- Dyer, G.C.; Aizin, G.R.; Allen, S.J.; Grine, A.D.; Bethke, D.; Reno, J.L.; Shaner, E.A. Induced transparency by coupling of Tamm and defect states in tunable terahertz plasmonic crystals. Nat. Photon. 2013, 7, 925–930. [Google Scholar] [CrossRef]
- Hsu, C.W.; DeLacy, B.G.; Johnson, S.G.; Joannopoulos, J.D.; Soljacic, M. Theoretical Criteria for Scattering Dark States in Nanostructured Particles. Nano Lett. 2014, 14, 2783–2788. [Google Scholar] [CrossRef] [PubMed]
- Limonov, M.F.; Rybin, M.V.; Poddubny, A.N.; Kivshar, Y.S. Fano resonances in photonics. Nat. Photon. 2017, 11, 543–554. [Google Scholar] [CrossRef]
- Wang, C.; Jiang, X.; Zhao, G.; Zhang, M.; Hsu, C.W.; Peng, B.; Stone, A.D.; Jiang, L.; Yang, L. Electromagnetically induced transparency at a chiral exceptional point. Nat. Phys. 2020, 16, 334–340. [Google Scholar] [CrossRef]
- Safavi-Naeini, A.H.; Alegre, T.P.M.; Chan, J.; Eichenfield, M.; Winger, M.; Lin, Q.; Hill, J.T.; Chang, D.; Painter, O. Electromagnetically induced transparency and slow light with optomechanics. Nature 2011, 472, 69–73. [Google Scholar] [CrossRef]
- Lü, H.; Wang, C.; Yang, L.; Jing, H. Optomechanically Induced Transparency at Exceptional Points. Phys. Rev. Appl. 2018, 10, 14006. [Google Scholar] [CrossRef]
- Anisimov, P.M.; Dowling, J.P.; Sanders, B.C. Objectively Discerning Autler-Townes Splitting from Electromagnetically Induced Transparency. Phys. Rev. Lett. 2011, 107, 163604. [Google Scholar] [CrossRef]
- Abdumalikov, J.A.A.; Astafiev, O.; Zagoskin, A.M.; Pashkin, Y.A.; Nakamura, Y.; Tsai, J.S. Electromagnetically Induced Transparency on a Single Artificial Atom. Phys. Rev. Lett. 2010, 104, 193601. [Google Scholar] [CrossRef]
- Xu, Q.; Sandhu, S.; Povinelli, M.L.; Shakya, J.; Fan, S.; Lipson, M. Experimental Realization of an On-Chip All-Optical Analogue to Electromagnetically Induced Transparency. Phys. Rev. Lett. 2006, 96, 123901. [Google Scholar] [CrossRef] [PubMed]
- Yang, X.; Yu, M.; Kwong, D.; Wong, L. All-Optical Analog to Electromagnetically Induced Transparency in Multiple Coupled Photonic Crystal Cavities. Phys. Rev. Lett. 2009, 102, 173902. [Google Scholar] [CrossRef]
- Gevorgyan, A.H. Magnetically induced linear and nonreciprocal and tunable transparency. arXiv 2021, arXiv:2102.07105. [Google Scholar]
- Zvezdin, A.K.; Kotov, V.A. Modern Magnetooptics and Magnetooptical Materials; CRC Press: Cleveland, OH, USA, 1997; p. 404. [Google Scholar] [CrossRef]
- Shelton, J.W.; Shen, Y.R. Study of Phase-Matched Normal and Umklapp Third-Harmonic- Generation Processes in Cholesteric Liquid Crystals. Phys. Rev. A 1972, 5, 1867–1883. [Google Scholar] [CrossRef]
- Gevorgyan, A.H.; Matinyan, G.K. Zone structure and polarization properties of the stack of a metamaterial-based cholesteric liquid crystal and isotropic medium layers. J. Exp. Theor. Phys. 2014, 118, 771–784. [Google Scholar] [CrossRef]
- Gevorgyan, A.H.; Golik, S.S.; Gevorgyan, T.A. On Peculiarities in Localization of Light in Cholesteric Liquid Crystals. J. Exp. Theor. Phys. 2020, 131, 329–336. [Google Scholar] [CrossRef]
- Meyer, R.B. Effects of electric and magnetic fields on the structure of cholesteric liquid crystals. Appl. Phys. Lett. 1968, 12, 281–282. [Google Scholar] [CrossRef]
- Yan, J.H.; Liu, P.; Lin, Z.Y.; Wang, H.; Chen, H.J.; Wang, C.X.; Yang, G.W. Magnetically induced forward scattering at visible wavelengths in silicon nanosphere oligomers. Nat. Commun. 2015, 6, 7042–7051–7051. [Google Scholar] [CrossRef] [PubMed][Green Version]
- Barsukova, M.G.; Shorokhov, A.S.; Musorin, A.I.; Neshev, D.N.; Kivshar, Y.S.; Fedyanin, A.A. Magneto-Optical Response Enhanced by Mie Resonances in Nanoantennas. ACS Photonics 2017, 4, 2390–2396. [Google Scholar] [CrossRef]













Publisher’s Note: MDPI stays neutral with regard to jurisdictional claims in published maps and institutional affiliations. |
© 2021 by the authors. Licensee MDPI, Basel, Switzerland. This article is an open access article distributed under the terms and conditions of the Creative Commons Attribution (CC BY) license (https://creativecommons.org/licenses/by/4.0/).
Share and Cite
Gevorgyan, A.H.; Golik, S.S.; Vanyushkin, N.A.; Efimov, I.M.; Rafayelyan, M.S.; Gharagulyan, H.; Sarukhanyan, T.M.; Hautyunyan, M.Z.; Matinyan, G.K. Magnetically Induced Transparency in Media with Helical Dichroic Structure. Materials 2021, 14, 2172. https://doi.org/10.3390/ma14092172
Gevorgyan AH, Golik SS, Vanyushkin NA, Efimov IM, Rafayelyan MS, Gharagulyan H, Sarukhanyan TM, Hautyunyan MZ, Matinyan GK. Magnetically Induced Transparency in Media with Helical Dichroic Structure. Materials. 2021; 14(9):2172. https://doi.org/10.3390/ma14092172
Chicago/Turabian StyleGevorgyan, Ashot H., Sergey S. Golik, Nikolay A. Vanyushkin, Ilya M. Efimov, Mushegh S. Rafayelyan, Hermine Gharagulyan, Tatevik M. Sarukhanyan, Meruzhan Z. Hautyunyan, and Gvidon K. Matinyan. 2021. "Magnetically Induced Transparency in Media with Helical Dichroic Structure" Materials 14, no. 9: 2172. https://doi.org/10.3390/ma14092172
APA StyleGevorgyan, A. H., Golik, S. S., Vanyushkin, N. A., Efimov, I. M., Rafayelyan, M. S., Gharagulyan, H., Sarukhanyan, T. M., Hautyunyan, M. Z., & Matinyan, G. K. (2021). Magnetically Induced Transparency in Media with Helical Dichroic Structure. Materials, 14(9), 2172. https://doi.org/10.3390/ma14092172

