Influence of Polypropylene, Glass and Steel Fiber on the Thermal Properties of Concrete
Abstract
1. Introduction
2. Materials
2.1. Specimen Preparation
2.2. Polypropylene Fiber
2.3. Glass Fiber
2.4. Steel Fiber
2.5. Concrete Mixture Composition
2.6. Concrete Mixture Production
3. Methodology
3.1. Test on Concrete Mix
3.1.1. Initial and Final Setting Time
3.1.2. pH Value
3.1.3. Viscosity
3.2. Test on Final Concrete Samples
3.2.1. Porosity
3.2.2. Density
3.2.3. Thermal Properties
4. Results and Discussion
4.1. Initial and Final Setting Time
4.2. The pH Test
4.3. Viscosity
4.4. Porosity
4.5. Density
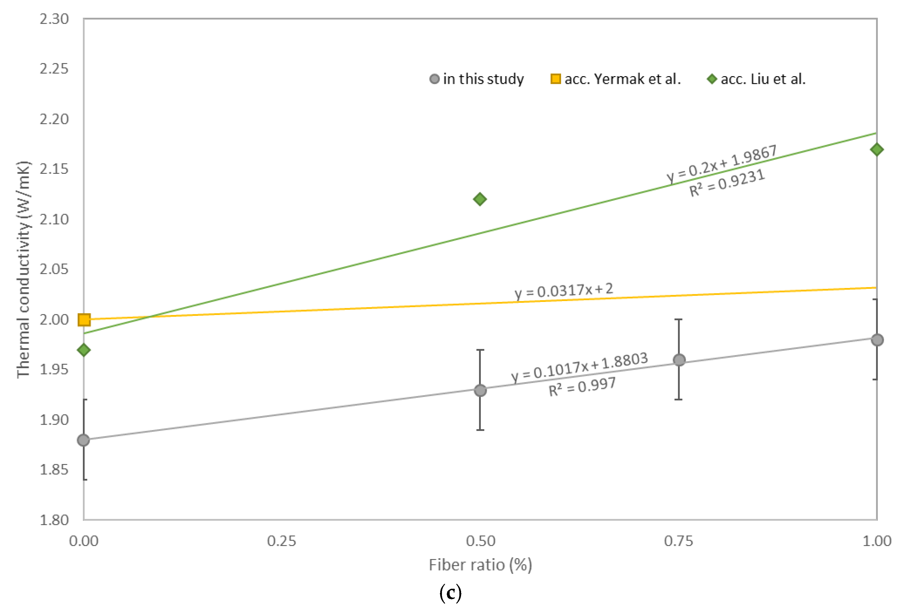
4.6. Thermal Properties
5. Conclusions
- No significant influence on the initial and final setting time, pH values and density of concretes was determined after the addition of polypropylene, glass and steel fibers;
- The workability of all concrete mixtures was not affected by fiber addition, which was confirmed by conducted viscosity tests;
- All tested samples showed increased values in porosity compared to the base mixture. The highest porosity was reported for glass fiber concretes: 5.9%, 6.7% and 7.2% for 0.50GF, 0.75GF and 1.00GF samples, respectively. For concrete with 1.00% glass fiber, the obtained porosity was over three times higher compared to the reference sample;
- Thermal conductivity tests yielded values from 1.65 to 1.98 W/mK. The lowest thermal conductivity was reported for 1.00GF, which showed a decrease in values by 12% compared to BM. The highest thermal conductivity was reported for 1.00SF samples, as their results were 5.3% higher than BM;
- A decreasing specific heat trend with increasing polypropylene and glass fiber dosage was reported. An opposite trend was defined for concretes reinforced with steel fibers. Specific heat values were in the range of 1.39–2.03 MJ/m3K;
- 1.00SF samples showed the lowest thermal diffusivity (0.89 µm2/s), and 1.00GF samples showed the highest thermal diffusivity (1.48 µm2/s). For polypropylene and glass fiber concrete, an increase in thermal diffusivity was observed with increasing fiber amount. Steel fiber concrete showed a contrary trend, as the values were much lower compared to BM.
Author Contributions
Funding
Institutional Review Board Statement
Informed Consent Statement
Data Availability Statement
Conflicts of Interest
References
- Korhonen, J.; Nuur, C.; Feldmann, A.; Birkie, S.E. Circular economy as an essentially contested concept. J. Clean. Prod. 2018, 175, 544–552. [Google Scholar] [CrossRef]
- Paul, A.; Lang, J.W.B.; Baumgartner, R.J. A multilevel approach for assessing business strategies on climate change. J. Clean. Prod. 2017, 160, 50–70. [Google Scholar] [CrossRef]
- Summerbell, D.L.; Barlow, C.Y.; Cullen, J.M. Potential reduction of carbon emissions by performance improvement: A cement industry case study. J. Clean. Prod. 2016, 135, 1327–1339. [Google Scholar] [CrossRef]
- Broman, G.I.; Robèrt, K.-H. A framework for strategic sustainable development. J. Clean. Prod. 2017, 140 Pt 1, 17–31. [Google Scholar] [CrossRef]
- Akanbi, L.A.; Oyedele, L.O.; Omoteso, K.; Bilal, M.; Akinade, O.O.; Ajayi, A.O.; Delgado, J.M.D.; Owolabi, H.A. Disassembly and deconstruction analytics system (D-DAS) for construction in a circular economy. J. Clean. Prod. 2019, 223, 386–396. [Google Scholar] [CrossRef]
- United Nations Environment Programme. 2019 Global Status Report for Buildings and Construction: Towards a Zero-Emissions, Efficient and Resilient Buildings and Construction Sector. 2019. Available online: https://www.unenvironment.org/resources/publication/2019-global-status-report-buildings-and-construction-sector (accessed on 3 March 2021).
- World Green Building Council. Starting a Renovation Wave: Putting Real Impact First. 2020. Available online: https://www.worldgbc.org/sites/default/files/1554%20WGBC%20BU%20Starting%20a%20Renovation%20Wave%20VISUAL%2024.06.20.pdf (accessed on 3 March 2021).
- Ali, M.B.; Saidur, R.; Hossain, M.S. A review on emission analysis in cement industries. Renew. Sustain. Energy Rev. 2011, 15, 2252–2261. [Google Scholar] [CrossRef]
- Maddalena, R.; Roberts, J.J.; Hamilton, A. Can Portland cement be replaced by low-carbon alternative materials? A study on the thermal properties and carbon emissions of innovative cements. J. Clean. Prod. 2018, 186, 933–942. [Google Scholar] [CrossRef]
- Schneider, M.; Romer, M.; Tschudin, M.; Bolio, H. Sustainable cement production—Present and future. Cem. Concr. Res. 2011, 41, 642–650. [Google Scholar] [CrossRef]
- Sorrentino, F. Chemistry and engineering of the production process: State of the art. Cem. Concr. Res. 2011, 41, 616–623. [Google Scholar] [CrossRef]
- Chatterjee, A.K. Chemistry and engineering of the clinkerization process—Incremental advances and lack of breakthroughs. Cem. Concr. Res. 2011, 41, 624–641. [Google Scholar] [CrossRef]
- Mikulcic, H.; Klemes, J.J.; Vujanovic, M.; Urbaniec, K.; Duic, N. Reducing greenhouse gasses emissions by fostering the deployment of alternative raw materials and energy sources in the cleaner cement manufacturing process. J. Clean. Prod. 2016, 136, 119–132. [Google Scholar] [CrossRef]
- Bouasria, M.; Khadraoui, F.; Benzaama, M.-H.; Touati, K.; Chateigner, D.; Gascoin, S.; Pralong, V.; Orberger, B.; Babouri, L.; El Mendili, Y. Partial substitution of cement by the association of Ferronickel slags and Crepidula fornicata shells. J. Build. Eng. 2021, 33, 101587. [Google Scholar] [CrossRef]
- Berenguer, R.A.; Capraro, A.P.B.; De Medeiros, M.H.F.; Carneiro, A.M.P.; De Oliveira, R.A. Sugar cane bagasse ash as a partial substitute of Portland cement: Effect on mechanical properties and emission of carbon dioxide. J. Environ. Chem. Eng. 2020, 8, 103655. [Google Scholar] [CrossRef]
- Pratiwi, W.D.; Triwulan; Ekaputri, J.J.; Fansuri, H. Combination of precipitated-calcium carbonate substitution and dilute-alkali fly ash treatment in a very high-volume fly ash cement paste. Constr. Build. Mater. 2020, 234, 117273. [Google Scholar] [CrossRef]
- Du, H.; Pang, S.D. High-performance concrete incorporating calcined kaolin clay and limestone as cement substitute. Constr. Build. Mater. 2020, 264, 120152. [Google Scholar] [CrossRef]
- Wu, H.; Cai, J.; Ren, Q.; Xu, J.; Chu, F.; Lyu, Q. An efficient and economic denitration technology based on fuel pretreatment for cement cleaner production. J. Clean. Prod. 2020, 272, 122669. [Google Scholar] [CrossRef]
- Hossain, M.U.; Poon, C.S.; Wong, M.Y.K.; Khine, A. Techno-environmental feasibility of wood waste derived fuel for cement production. J. Clean. Prod. 2019, 230, 663–671. [Google Scholar] [CrossRef]
- Huang, M.; Ying, X.; Shen, D.; Feng, H.; Li, N.; Zhou, Y.; Long, Y. Evaluation of oil sludge as an alternative fuel in the production of Portland cement clinker. Constr. Build. Mater. 2017, 152, 226–231. [Google Scholar] [CrossRef]
- (Thanos) Bourtsalas, A.C.; Zhang, J.; Castaldi, M.J.; Themelis, N.J. Use of non-recycled plastics and paper as alternative fuel in cement production. J. Clean. Prod. 2018, 181, 8–16. [Google Scholar] [CrossRef]
- Murray, P.; Marquant, J.; Niffeler, M.; Mavromatidis, G.; Orehounig, K. Optimal transformation strategies for buildings, neighbourhoods and districts to reach CO2 emission reduction targets. Energy Build. 2020, 207, 109569. [Google Scholar] [CrossRef]
- Pylsy, P.; Lylykangas, K.; Kurnitski, J. Buildings’ energy efficiency measures effect on CO2 emissions in combined heating, cooling and electricity production. Renew. Sustain. Energ. Rev. 2020, 134, 110299. [Google Scholar] [CrossRef]
- Schwede, D.; Sheng, M. Assessment of the annual energy demand for cooling of buildings in their urban context in 26 cities in China. Procedia Eng. 2017, 198, 305–312. [Google Scholar] [CrossRef]
- Al-Saggaf, A.; Taha, M.; Hegazy, T.; Ahmed, H. Towards Sustainable Building Design: The Impact of Architectural Design Features on Cooling Energy Consumption and Cost in Saudi Arabia. Procedia Manuf. 2020, 44, 140–147. [Google Scholar] [CrossRef]
- Zhou, N.; Khanna, N.; Feng, W.; Ke, J.; Levine, M. Scenarios of energy efficiency and CO2 emissions reduction potential in the buildings sector in China to year 2050. Nat. Energy 2018, 3, 978–984. [Google Scholar] [CrossRef]
- Marcalikova, Z.; Cajka, R.; Bilek, V.; Bujdos, D.; Sucharda, O. Determination of Mechanical Characteristics for Fiber-Reinforced Concrete with Straight and Hooked Fibers. Crystals 2020, 10, 545. [Google Scholar] [CrossRef]
- Brandt, A.M. Fibre reinforced cement-based (FRC) composites after over 40 years of development in building and civil engineering. Compos. Struct. 2008, 86, 3–9. [Google Scholar] [CrossRef]
- Małek, M.; Jackowski, M.; Łasica, W.; Kadela, M.; Wachowski, M. Mechanical and Materials Properties of Mortar Reinforced with Glass Fiber: An Experimental Study. Materials 2021, 14, 698. [Google Scholar] [CrossRef] [PubMed]
- Steau, E.; Mahendran, M.; Poologanathan, K. Elevated temperature thermal properties of carbon steels used in cold-formed light gauge steel frame systems. J. Build. Eng. 2020, 28, 101074. [Google Scholar] [CrossRef]
- Jiao, W.; Sha, A.; Liu, Z.; Li, W.; Jiang, W.; Qin, W.; Hu, Y. Study on thermal properties of steel slag asphalt concrete for snow-melting pavement. J. Clean. Prod. 2020, 277, 123574. [Google Scholar] [CrossRef]
- Algourdin, N.; Pliya, P.; Beaucour, A.-L.; Simon, A.; Noumowé, A. Influence of polypropylene and steel fibres on thermal spalling and physical-mechanical properties of concrete under different heating rates. Constr. Build. Mater. 2020, 259, 11960. [Google Scholar] [CrossRef]
- Phiri, M.J.; Phiri, M.M.; Mpitso, K.; Hlangothi, S.P. Curing, thermal and mechanical properties of waste tyre derived reclaimed rubber–wood flour composites. Mater. Today Commun. 2020, 25, 101204. [Google Scholar] [CrossRef]
- Pokorska-Silva, I.; Kadela, M.; Fedorowicz, L. A reliable numerical model for assessing the thermal behavior of a dome building. J. Build. Eng. 2020, 32, 101706. [Google Scholar] [CrossRef]
- Palacios, A.; Cong, L.; Navarro, M.E.; Ding, Y.; Barreneche, C. Thermal conductivity measurement techniques for characterizing thermal energy storage materials—A review. Renew. Sustain. Energ. Rev. 2019, 108, 32–52. [Google Scholar] [CrossRef]
- Naseem, H.; Murthy, H. A simple thermal diffusivity measurement technique for polymers and particulate composites. Int. J. Heat Mass Transf. 2019, 137, 968–978. [Google Scholar] [CrossRef]
- Wu, W.; Zhu, G.; Zhang, Q.; Zhou, X.; Ding, Y.; Qiao, H.; Cao, J. Thermal diffusivity and specific heat capacity of linear alkylbenzene. Phys. Scr. 2019, 94, 105701. [Google Scholar] [CrossRef]
- Mendes, J.C.; Barreto, R.R.; Castro, A.S.S.; Brigolini, G.J.; Peixoto, R.A.F. Factors affecting the specific heat of conventional and residue-based mortars. Constr. Build. Mater. 2020, 237, 117597. [Google Scholar] [CrossRef]
- Szcześniak, A.; Zychowicz, J.; Stolarski, A. Influence of Fly Ash Additive on the Properties of Concrete with Slag Cement. Materials 2020, 13, 3265. [Google Scholar] [CrossRef] [PubMed]
- Rudnicki, T.; Jurczak, R. Recycling of a Concrete Pavement after over 80 Years in Service. Materials 2020, 13, 2262. [Google Scholar] [CrossRef] [PubMed]
- Małek, M.; Łasica, W.; Jackowski, M.; Kadela, M. Effect of Waste Glass Addition as a Replacement for Fine Aggregate on Properties of Mortar. Materials 2020, 13, 3189. [Google Scholar] [CrossRef]
- Medina, N.F.; Medina, D.F.; Hernández-Olivares, F.; Navacerrada, M.A. Mechanical and thermal properties of concrete incorporating rubber and fibres from tyre recycling. Constr. Build. Mater. 2017, 144, 563–573. [Google Scholar] [CrossRef]
- Niaki, M.H.; Fereidoon, A.; Ahangari, M.G. Experimental study on the mechanical and thermal properties of basalt fiber and nanoclay reinforced polymer concrete. Compos. Struct. 2018, 191, 231–238. [Google Scholar] [CrossRef]
- Khaliq, W.; Kodur, V. Thermal and mechanical properties of fiber reinforced high performance self-consolidating concrete at elevated temperatures. Cem. Concr. Res. 2011, 41, 1112–1122. [Google Scholar] [CrossRef]
- Ali, B.; Qureshi, L.A. Influence of glass fibers on mechanical and durability performance of concrete with recycled aggregates. Constr. Build. Mater. 2019, 228, 116783. [Google Scholar] [CrossRef]
- Yermak, N.; Pliya, P.; Beaucour, A.-L.; Simon, A.; Noumowé, A. Influence of steel and/or polypropylene fibres on the behaviour of concrete at high temperature: Spalling, transfer and mechanical properties. Constr. Build. Mater. 2017, 132, 240–250. [Google Scholar] [CrossRef]
- Wang, Y.; Zheng, T.; Zheng, X.; Liu, Y.; Darkwa, J.; Zhou, G. Thermo-mechanical and moisture absorption properties of fly ash-based lightweight geopolymer concrete reinforced by polypropylene fibers. Constr. Build. Mater. 2020, 251, 118960. [Google Scholar] [CrossRef]
- Ozger, O.B.; Girardi, F.; Giannuzzi, G.M.; Salomoni, V.A.; Majorana, C.E.; Fambri, L.; Baldassino, N.; Di Maggio, R. Effect of nylon fibres on mechanical and thermal properties of hardened concrete for energy storage systems. Mater. Des. 2013, 51, 989–997. [Google Scholar] [CrossRef]
- Małek, M.; Jackowski, M.; Łasica, W.; Kadela, M. Characteristics of Recycled Polypropylene Fibers as an Addition to Concrete Fabrication Based on Portland Cement. Materials 2020, 13, 1827. [Google Scholar] [CrossRef] [PubMed]
- Zhang, T.; Zhang, Y.; Zhu, H.; Yan, Z. Experimental investigation and multi-level modeling of the effective thermal conductivity of hybrid micro-fiber reinforced cementitious composites at elevated temperatures. Compos. Struct. 2021, 256, 112988. [Google Scholar] [CrossRef]
- Mamun, M.; Batool, F.; Bindiganavile, V. Thermo-mechanical properties of fibre reinforced cement-based foam exposed to sulphate. Constr. Build. Mater. 2014, 61, 312–319. [Google Scholar] [CrossRef]
- Pehlivanlı, Z.O.; Uzun, I.; Yücel, Z.P.; Demir, I. The effect of different fiber reinforcement on the thermal and mechanical properties of autoclaved aerated concrete. Constr. Build. Mater. 2016, 112, 325–330. [Google Scholar] [CrossRef]
- Liu, K.; Lu, L.; Wang, F.; Liang, W. Theoretical and experimental study on multi-phase model of thermal conductivity for fiber reinforced concrete. Constr. Build. Mater. 2017, 148, 465–475. [Google Scholar] [CrossRef]
- Li, X.; Bao, Y.; Wu, L.; Yan, Q.; Ma, H.; Chen, G.; Zhang, H. Thermal and mechanical properties of high-performance fiber-reinforced cementitious composites after exposure to high temperatures. Constr. Build. Mater. 2017, 157, 829–838. [Google Scholar] [CrossRef]
- Stolz, J.; Boluk, Y.; Bindiganavile, V. Mechanical, thermal and acoustic properties of cellular alkali activated fly ash concrete. Cem. Concr. Compos. 2018, 94, 24–32. [Google Scholar] [CrossRef]
- European Committee for Standardization. EN 197-1:2012. Cement—Part 1: Composition, Specifications and Conformity Criteria for Common Cements; European Committee for Standardization: Brussels, Belgium, 2012. [Google Scholar]
- European Committee for Standardization. EN 196-6:2019-01. Methods of Testing Cement—Part 6: Determination of Fineness; European Committee for Standardization: Brussels, Belgium, 2019. [Google Scholar]
- European Committee for Standardization. EN 196-1:2016-07. Methods of Testing Cement—Part 1: Determination of Strength; European Committee for Standardization: Brussels, Belgium, 2016. [Google Scholar]
- Górażdże Group. Cement, Concrete, Aggregate. Technical Data Sheet CEM I 52.5 R. Available online: http://www.gorazdze.pl (accessed on 5 March 2021).
- European Committee for Standardization. EN 12620+A1:2010. Aggregates for Concrete; European Committee for Standardization: Brussels, Belgium, 2010. [Google Scholar]
- Rudnicki, T. The method of aggregate skeleton in self compacting concrete designing with segment regression. Zenodo 2016, 10–19. [Google Scholar] [CrossRef]
- European Committee for Standardization. EN 12390-2:2019-07. Testing Hardened Concrete—Part 2: Making and Curing Specimens for Strength Tests; European Committee for Standardization: Brussels, Belgium, 2019. [Google Scholar]
- Polish Committee for Standardization. PN-B-01810:1986. Protection Against Corrosion in Building—Protective Properties of Concrete Referring to Reinforcing Steel—Electrochemical Tests; Polish Committee for Standardization: Brussels, Belgium, 1986. [Google Scholar]
- European Committee for Standardization. EN 12390-7:2019-08. Testing Hardened Concrete—Part 7: Density of Hardened Concrete; European Committee for Standardization: Brussels, Belgium, 2008. [Google Scholar]
- Söylev, T.A.; Özturan, T. Durability, physical and mechanical properties of fiber-reinforced concretes at low-volume fraction. Constr. Build. Mater. 2014, 73, 67–75. [Google Scholar] [CrossRef]
- Liu, J.; Jia, Y.; Wang, J. Calculation of chloride ion diffusion in glass and polypropylene fiber-reinforced concrete. Constr. Build. Mater. 2019, 215, 875–885. [Google Scholar] [CrossRef]
- Madhkhan, M.; Katirai, R. Effect of pozzolanic materials on mechanical properties and aging of glass fiber reinforced concrete. Constr. Build. Mater. 2019, 225, 146–158. [Google Scholar] [CrossRef]
- Altalabani, D.; Bzeni, D.K.H.; Linsel, S. Mechanical properties and load deflection relationship of polypropylene fiber reinforced self-compacting lightweight concrete. Constr. Build. Mater. 2020, 252, 119084. [Google Scholar] [CrossRef]
- Nagy, B.; Nehme, S.G.; Szagri, D. Thermal Properties and Modeling of Fiber Reinforced Concretes. Energy Procedia 2015, 78, 2742–2747. [Google Scholar] [CrossRef]
- Fu, X.; Chung, D.D.L. Effect of Admixtures on Thermal and Thermomechanical Behavior of Cement Paste. ACI Mater. J. 1999, 96, 455–461. Available online: http://www.acsu.buffalo.edu/~ddlchung/Effect%20of%20admixtures%20on%20the%20thermal%20and%20thermomechanical%20behavior%20of%20cement%20paste.pdf (accessed on 5 March 2021).











| Compositions | SiO2 | Al2O3 | Fe2O3 | CaO | MgO | SO3 | Na2O | K2O | Cl |
|---|---|---|---|---|---|---|---|---|---|
| Unit (vol. %) | 19.5 | 4.9 | 2.9 | 63.3 | 1.3 | 2.8 | 0.1 | 0.9 | 0.05 |
| Specific Surface Area (m2/kg) | Initial Setting Time (min) | Compressive Strength After (MPa) | |
|---|---|---|---|
| 2 days | 28 days | ||
| 512.7 | 163 | 38.0 | 70.8 |
| Compositions | O | Na | Si | K |
|---|---|---|---|---|
| Unit (vol. %) | 77.7 | 14.9 | 4.8 | 2.6 |
| Type of Fiber | Average Thickness (μm) | Average Circumference (μm) | Length (mm) | Tensile Strength (MPa) |
|---|---|---|---|---|
| PF | 1155.0 ± 10.0 | 538.5 ± 0.5 | 30.4–32.0 | 520 |
| GF | 840.0 ± 10.0 | 412.1 ± 0.5 | 48.9–50.4 | 1700 |
| SF | 345.0 ± 10.0 | 155.6 ± 0.5 | 24.3–26.1 | 2850 |
| Mix Symbol | Cement (kg) | Aggregate (kg) | Water (kg) | Admixture (kg) | Type of Fiber | Fiber Content (kg) |
|---|---|---|---|---|---|---|
| BM | 450 | 1600 | 135 | 13.5 | – | 0.00 |
| 0.50PF | PF | 2.25 | ||||
| 0.75PF | 4.50 | |||||
| 1.00PF | 6.75 | |||||
| 0.50GF | GF | 2.25 | ||||
| 0.75GF | 4.50 | |||||
| 1.00GF | 6.75 | |||||
| 0.50SF | SF | 2.25 | ||||
| 0.75SF | 4.50 | |||||
| 1.00SF | 6.75 |
| Mix Symbol | Porosity (%) | pH | Density (kg/m3) | Thermal Conductivity (W/mK) | Thermal Diffusivity (µm2/s) | Specific Heat (MJ/m3K) |
|---|---|---|---|---|---|---|
| BM | 2.3 ± 0.1 | 12.81 ± 0.03 | 2210 ± 2 | 1.88 ± 0.06 | 0.94 ± 0.03 | 1.98 ± 0.01 |
| 0.50PF | 5.7 ± 0.1 | 12.85 ± 0.03 | 2214 ± 2 | 1.80 ± 0.05 | 1.04 ± 0.04 | 1.90 ± 0.01 |
| 0.75PF | 6.1 ± 0.1 | 12.87 ± 0.04 | 2216 ± 3 | 1.78 ± 0.06 | 1.11 ± 0.03 | 1.85 ± 0.01 |
| 1.00PF | 6.4 ± 0.1 | 12.89 ± 0.03 | 2217 ± 2 | 1.72 ± 0.05 | 1.16 ± 0.03 | 1.80 ± 0.01 |
| 0.50GF | 5.9 ± 0.1 | 12.83 ± 0.03 | 2215 ± 2 | 1.71 ± 0.05 | 1.21 ± 0.04 | 1.46 ± 0.01 |
| 0.75GF | 6.7 ± 0.1 | 12.89 ± 0.03 | 2217 ± 3 | 1.68 ± 0.06 | 1.34 ± 0.03 | 1.42 ± 0.01 |
| 1.00GF | 7.2 ± 0.1 | 12.97 ± 0.04 | 2219 ± 2 | 1.65 ± 0.05 | 1.48 ± 0.03 | 1.39 ± 0.01 |
| 0.50SF | 3.2 ± 0.1 | 12.86 ± 0.03 | 2226 ± 2 | 1.93 ± 0.05 | 0.92 ± 0.04 | 1.99 ± 0.01 |
| 0.75SF | 3.7 ± 0.1 | 12.90 ± 0.04 | 2227 ± 3 | 1.96 ± 0.06 | 0.91 ± 0.03 | 2.01 ± 0.01 |
| 1.00SF | 4.0 ± 0.1 | 12.92 ± 0.04 | 2230 ± 2 | 1.98 ± 0.05 | 0.89 ± 0.03 | 2.03 ± 0.01 |
Publisher’s Note: MDPI stays neutral with regard to jurisdictional claims in published maps and institutional affiliations. |
© 2021 by the authors. Licensee MDPI, Basel, Switzerland. This article is an open access article distributed under the terms and conditions of the Creative Commons Attribution (CC BY) license (https://creativecommons.org/licenses/by/4.0/).
Share and Cite
Małek, M.; Jackowski, M.; Łasica, W.; Kadela, M. Influence of Polypropylene, Glass and Steel Fiber on the Thermal Properties of Concrete. Materials 2021, 14, 1888. https://doi.org/10.3390/ma14081888
Małek M, Jackowski M, Łasica W, Kadela M. Influence of Polypropylene, Glass and Steel Fiber on the Thermal Properties of Concrete. Materials. 2021; 14(8):1888. https://doi.org/10.3390/ma14081888
Chicago/Turabian StyleMałek, Marcin, Mateusz Jackowski, Waldemar Łasica, and Marta Kadela. 2021. "Influence of Polypropylene, Glass and Steel Fiber on the Thermal Properties of Concrete" Materials 14, no. 8: 1888. https://doi.org/10.3390/ma14081888
APA StyleMałek, M., Jackowski, M., Łasica, W., & Kadela, M. (2021). Influence of Polypropylene, Glass and Steel Fiber on the Thermal Properties of Concrete. Materials, 14(8), 1888. https://doi.org/10.3390/ma14081888

